经验交流
彭玉敬1,刘建1,郜彤2,廖凌松1,高晓峰1
(1.国家安全生产监督管理总局 通信信息中心,北京 100013;2.中国矿业大学(北京) 资源与安全工程学院,北京 100083)
摘要:为及时掌握煤矿风险信息并对风险进行有效预测预警,设计了一种基于GIS的煤矿企业风险预测预警系统。该系统利用GIS信息采集平台对危险源信息进行有效的采集处理;利用风险预警模型对采集的信息进行数据挖掘分析、算法运算分析等综合预测分析,并得出风险预警结论;利用GIS分析展现平台对预警结果进行综合可视化预警与展现, 为矿井安全生产调度提供辅助决策支持。该系统可实现煤矿企业风险治理的精准管控。
关键词:煤矿安全; 风险预测; 风险预警; 危险源辨识; 预警信息展现; 可视化; 数据挖掘; GIS
煤矿企业的安全生产既是煤炭工业稳定发展的保障,又是国民经济健康发展、国家和集体财产不受重大损失的保障。将信息化技术应用于煤矿安全管理和现代化生产中,是确保煤矿企业安全生产的有效途径之一,也是煤矿安全管理的发展方向之一。
在煤矿企业推行风险防控及预警系统,能够推动企业安全管理模式由事后分析型向事前预防型转变,能够打破单一的凭经验和个人主观判断的传统安全管理模式,依靠客观实际将准确的信息进行综合地、系统地分析,找出事故的真正原因,并做出合理的预测和安全评价[1-2]。同时,在风险防控系统中植入地理信息系统(Geographic Information System,GIS)模块,利用GIS广泛的地理空间数据和合理的地理模型分析方法,可为煤矿安全风险预测实时提供多种空间的和动态的地理信息[3],为煤矿安全生产提供辅助决策支持。鉴此,笔者设计了基于GIS的煤矿企业风险预测预警系统,实现了矿井生产风险信息的GIS动态展现和评估预警展现,使得企业安全管理人员能及时发现问题,避免事故的发生及扩大化。
GIS是一个获取、存储、编辑、处理、分析和显示地理数据的空间信息系统,其结合了地理学与地图学及遥感和计算机科学等学科,广泛应用于科学调查、资源管理、财产管理、发展规划、绘图和路线规划中[4-5]。GIS融合计算机图形和数据库于一体,将地理位置和相关属性有机结合,根据需要将空间信息及其属性信息准确真实、图文兼备地输出给用户,并借助其空间分析功能和可视化表达功能进行各种辅助决策[6]。
GIS在矿山领域的应用主要以矿图管理为主,在其他方面也有应用,如矿产资源的分析与评估、矿图的绘制、矿山数据信息的微机管理等[7]。其应用通常是把空间特征数据与表格化的属性数据联系起来,这种能力也是矿山数字化中应用GIS的主要动力[8]。李士军等[9-10]应用GIS技术将微观应力测量与宏观遥感图像分析相结合,建立了地应力场分析系统,设计了既符合中国矿业特色及需求,又跟踪国际GIS发展动态和技术水平的、具有自主版权的MGS基础软件平台TT-MGS2000。同时,许多学者专家也基于GIS设计了矿用系统软件,例如,丁雷[11]设计了煤矿水害预警系统,陈宁等[12]设计了煤矿通风预警信息系统,任大伟[13]设计了煤矿井下信息可视化系统等。随着GIS技术在煤炭领域越来越广泛和深入的应用,我国的矿山数字化建设也将会有长足的进步。
风险管理的概念最早来源于美国,是由美国管理协会保险部首先提出并应用于银行金融领域的。在风险管理工程中,风险识别是基础,风险评估是标准,风险控制是关键,风险规避是目的。其基本原理是通过探求风险发生、变化的规律,认识、估计和分析风险对企业安全生产所造成的危害,运用计划、组织、指导、管制等一系列过程,实现“一切意外均可避免”、“一切风险皆可控制”的风险管理目标[14]。
进入21世纪以来,我国煤矿企业陆续引进以风险预控管理为核心的现代安全管理方法,如杜邦安全管理模式、NOSA安全管理体系等,虽然取得了一些成效,但受多方面因素制约,始终无法广泛推广应用。随着管理模式的不断升级和煤矿信息化水平的不断提高,神华集团联合诸多高校成功实现了具有中国煤矿特色的风险预控管理模式,深化了管理理念、方法及体系元素,并将该风险预控管理模式顺利推广至多个煤矿企业。该管理模式运用系统的原理,以危险源辨识和风险评估为基础,以风险控制为核心,重点管控人的不安全行为,强化超前辨识风险和防控预警,最终实现“人、机、环、管”的最佳匹配[15]。其基本流程是在事故发生前,通过对导致事故发生的危险源辨识,判别危险源产生风险的大小,对危险源进行监测、监控和预警,最后削弱和消除危险源,杜绝煤矿事故发生[16],将煤矿安全管理方式由事后处理转为事前预防、事中控制的新模式。煤矿安全风险预控管理流程如图1所示。

图1 煤矿安全风险预控管理流程
Fig.1 Flow of safety risk pre-control and management of coal mine
基于GIS的煤矿企业风险预测预警系统基于B/S+C/S架构开发,并基于J2EE标准体系和面向服务的体系结构(Service Oriented Architecture, SOA)搭建,利用J2EE的高效、稳定及支持异构环境的特性,提高数据分析和汇总速度,利用SOA的松耦合特性,将风险预警信息模块化,提高了预测预警的效率。同时,系统以标准的Web Service方式提供GIS服务,并基于空间数据库技术实现数据汇总。
系统主要由GIS信息采集平台、煤矿风险预警模型、GIS分析展现平台3个部分构成,技术架构如图2所示。系统利用GIS信息采集平台对危险源信息进行有效的采集处理,利用根据风险预警指标体系构建的风险预警模型对采集的信息进行数据挖掘分析、算法运算分析等综合预测分析,并得出风险预警结论,最终利用GIS分析展现平台对预警结果进行综合的可视化预警展现,为矿井安全生产调度提供辅助决策支持。

图2 基于GIS的煤矿企业风险预测预警系统技术架构
Fig.2 Technical framework of risk prediction and early warning system of coal mine enterprise based on GIS
GIS信息采集平台的设计部署能够明确煤矿企业风险预测预警系统需要采集的数据范围和数据类型,实现煤矿企业数据汇集和管理操作。平台可将采集的数据信息进行自动实时统计处理,并构建出空间数据库和属性数据库,为预测预警提供数据支撑。平台采集的数据信息主要包括企业的基本信息、生产监测信息和安全管理信息。
(1) 基本信息主要包括煤矿基础信息、灾害防治信息、矿井图纸信息、从业人员信息、采煤工艺信息、设备安标信息等,该部分信息主要通过集成调用办公自动化系统进行采集。办公自动化系统高效快捷、资源配置合理的特性可保证信息采集平台的稳定高效性。
(2) 生产监测信息主要包括井下气体浓度、井下作业人员数据、生产过程控制数据、生产设备状态数据等,该部分信息主要通过集成调用生产监测监控系统、人员监控定位系统等矿井监控系统进行采集。
(3) 安全管理信息主要有安全质量标准化信息、隐患事故信息、三违信息、报警处理信息、安全评价信息等。该部分信息主要通过集成调用煤矿隐患排查系统的相关数据进行程序化、规范化采集。
煤矿安全风险评价指标体系主要由单项事故风险和综合事故风险组成。单项事故风险主要由矿井的煤尘爆炸事故、火灾事故、瓦斯爆炸事故、顶板事故和水害事故等构成;综合事故风险由单项事故风险、矿级管理人员素质风险、设备安全风险、环境安全风险、安全管理风险、应急救援风险及历史因素风险等构成。
煤矿风险预警模型利用层次分析法来确定风险评价指标的各层级权重,其过程主要是通过1—9标度法进行专家打分,进行两两指标间的重要性对比,进而确定各层级指标隶属于上层指标的权重及各指标的综合权重,充分反映指标体系中各指标的重要性程度,便于对各个指标进行分级重点监控。
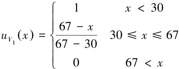
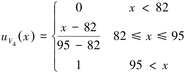
利用模糊数学相对隶属度理论建立隶属函数,得到判断矩阵,确定致灾因素对某一个数值区间的隶属度,其主要过程是将煤矿安全风险影响等级分为高、较高、一般、低4个等级,即V=(V1,V2,V3,V4),其中,V1表示风险高,V2表示风险较高,V3表示风险一般,V4表示风险低,并对4个区间进行相对应的百分制打分,依次为0~59分、60~74分、75~89分、90~100分,4个分数区间对应上述4个等级,取每个等级的中间值,将各项指标的分级标准点定为B1=30,B2=67,B3=82,B4=95,并结合隶属度梯形公式确定隶属函数(x表示专家对矿井的安全评价分值):

(1)

(2)

(3)

(4)
通过数值计算结果确定煤矿安全风险等级,分值越低,事故风险等级越高;分值越高,事故风险等级越低。
GIS分析展现平台以精细的三维模型为基础,以矿井GIS地图服务和GIS图形渲染为手段,建立与现实一致的三维矿山场景,将企业周边地形、地貌等地理信息等融合至三维空间模型,使得矿山真实场景与数字地球有效融为一体,形成矿山企业各类数字化信息管理的载体。平台支持所有信息从三维global球进行穿透式查询与聚合,支持各个层级专题图通过菜单或者地图交互操作切换到相应层级的系统页面,并通过热点图、关联图、柱状图、饼图、线形图、色阶图等多种方式呈现各级、各类、各区域的相关信息,对矿井综合信息、矿井事故评估信息、预测预警信息、应急资源信息等进行可视化分析与展现。
2.3.1 矿井综合信息可视化展现模块
矿井综合信息可视化展现模块主要用于对矿井基本信息、矿井生产状况信息、井下人员信息、安全监测监控信息等进行综合可视化展现。系统支持各种信息的组合查询与模糊检索,支持GIS图形向下钻取查看和向上聚合查看,也支持点选、框选等交互式查询。安全监管人员可通过鼠标放大、缩小或框选行政区域图形,定位到指定区域行政图,查看对应的矿井基本证照信息、人员信息、矿图信息及生产状况信息等,同时也可调用矿井安全监测监控系统,实时查看现阶段矿井的安全生产状况及人员履责情况,为矿井空间信息共享和生产指挥调度决策提供综合信息支撑。
2.3.2 矿井事故风险评估展现模块
矿井事故风险评估展现模块通过对GIS信息采集平台采集的数据进行清洗、整合、过滤,并结合煤矿风险预警模型构建出的风险评价分级表,采用数据挖掘的均值算法来实现聚类规律发现,捕捉到煤矿事故的综合信息,同时,也对煤矿事故历年数据及现阶段隐患信息进行关联性分析和多维度碰撞分析,找出事故背后的时间、地域、死亡人数等相关规律,并对现阶段的安全状况进行评估分析,以概率图表的方式进行综合展现。模块具备煤矿瓦斯事故、煤尘爆炸事故、火灾事故、水灾事故和顶板事故等煤矿基本事故的风险评估和展现能力,并支持以风险专题图表的形式按照时间粒度(年、月、周、日)展现指定区域内危险源总数和未整改风险数等一系列风险相关信息。
2.3.3 预警信息三维可视化展现模块
预警信息三维可视化展现模块可对煤矿风险预警结论进行GIS地图的三维可视化展现,可对矿井风险信息的级别、类别、状态细节、风险处置情况等相关信息通过多种专题图表的形式进行展现,例如区域风险热力图、风险专项指标统计图、风险指标等级图等。模块也支持按图形模式、路径选择模式、智能搜索模式进行风险信息的交互式查询定位,查询结果在GIS地图上高亮显示,并以列表方式详细显示该矿井风险分布情况和风险信息统计情况,能够使煤矿安全管理人员直观了解矿井区域安全风险预警评估情况。同时,系统在遇到预警或报警信息时,可实现风险信息的自动一键定位。
2.3.4 矿井应急救援资源展现模块
矿井应急救援资源展现模块主要用于对救援资源、救援预案、救援路线等救援策略进行GIS综合分析和地图可视化展现,具体可分为救援资源管理分析、救援预案分析、救援决策分析3个部分。
(1) 救援资源管理分析模块结合GIS的空间和属性特性,将救援人员、物质、装备、医疗、通信等信息综合展现在地图上,为应急救援资源的分布和现状提供完整的状态分析,便于决策人员精准把控和合理调度区域内的救援资源。
(2) 救援预案分析模块将不同地区、不同事故、不同级别风险信息进行分类汇总分析,可以在地图上标记显示各类风险应急预案信息,并可在事故发生时对预案进行智能化筛选对比,为救援指挥人员提供应急预案支持。
(3) 救援决策分析模块可依据事故类型、危险物质类型、事件严重程度、应急救援预案中的人员等相关信息进行决策筛选,列出安全救援专家、政府工作人员名单等,并可预测事故影响范围、救援疏散路径等相关信息,为指挥人员和救援人员提供信息参考,提高救援工作效率。
基于GIS的煤矿企业风险预测预警系统实现了矿井风险信息的“一张图”综合可视化展现,实现了风险预测预警信息和事故应急救援信息的综合可视化管理,并通过构建煤矿风险预警模型对煤矿风险进行分级评价,实现了风险治理的全员、全方位、全过程精准管控,为煤矿企业的安全生产提供了决策支持和有力保障。
参考文献(References):
[1] 汪莹,蒋高鹏. RS-SVM组合模型下煤矿安全风险预测[J].中国矿业大学学报,2017,46(2):423-429.
WANG Ying, JIANG Gaopeng. Coal mine safety risk prediction by RS-SVM combined model[J].Journal of China University of Mining & Technology, 2017,46(2):423-429.
[2] 何叶荣,李慧宗,王向前.煤矿企业安全管理风险预测模型研究——基于RS-SVM[J]. 华东经济管理,2014,28(10):159-163.
HE Yerong,LI Huizong,WANG Xiangqian.A study on risk prediction model of coal enterprise safety management—based on RS-SVM[J]. East China Economic Management,2014,28(10):159-163.
[3] 郭向坤.基于GIS的煤矿重大危险源信息管理系统研究与开发[D].邯郸:河北工程大学,2007.
[4] 李振星. GIS信息可视化关键技术研究及应用[D]. 青岛:青岛大学,2012.
[5] 何杰. GIS在神东煤炭信息化建设中的应用研究[D].呼和浩特:内蒙古大学,2011.
[6] 郑贤斌,周锡河,郭志红,等.基于风险分析和GIS的油气管道安全预警技术研究[J]. 石油规划设计,2007,18(1):6-9.
ZHENG Xianbin, ZHOU Xihe, GUO Zhihong,et al. Study on safety early-warning technology of oil and gas pipeline based on risk analysis and GIS[J]. Petroleum Planning & Engineering,2007,18(1):6-9.
[7] 邵辉,蔡林沁.基于B/S与C/S的煤矿安全管理信息系统开发研究[J].矿业安全与环保,2002,29(4):4-5.
SHAO Hui, CAI Linqin. Development of information system for coal mine safety management based on B/S and C/S[J]. Mining Safety & Environmental Protection,2002,29(4):4-5.
[8] 吕然. 我国煤矿安全监察体制存在的问题及对策探析[D]. 长春:东北师范大学, 2010.
[9] 李士军,王武平.隐患排查信息系统在安全管理中的应用[J].中国煤炭工业,2010(10):41.
LI Shijun, WANG Wuping. The application of hidden trouble check information system in safety management[J]. China Coal Industry,2010(10):41.
[10] 陈文学. 煤矿重大事故风险监控与应急救援方法体系研究[D].泰安:山东科技大学,2005.
[11] 丁雷. 基于GIS的煤矿水害预警系统[J]. 矿业安全与环保,2013,40(2):46-48.
DING Lei. Early warning system for coal mine water hazards based on GIS[J]. Mining Safety & Environmental Protection,2013,40(2):46-48.
[12] 陈宁,陆愈实. 基于GIS的矿井通风预警信息系统研究[J]. 中国矿业,2012,21(3):111-113.
CHEN Ning, LU Yushi. Study on mine ventilation and early-warning information system based on GIS[J]. China Mining Magazine,2012,21(3):111-113.
[13] 任大伟.基于GIS的井下信息可视化系统研究[D].泰安:山东科技大学,2004.
[14] 刘汝江.山东能源集团安全风险管理研究[D].济南:山东大学,2013.
[15] 马改焕,刘广君.安全风险预控管理体系在煤矿生产中的运用[J].中国公共安全(学术版),2014(4):27-31.
MA Gaihuan, LIU Guangjun. Application of coal mine safety risk pre-control management system in the actual production of coal mine[J]. China Public Security(Academy Edition),2014( 4):27-31.
[16] 周建明. 煤矿风险预警管理软件支持系统设计与开发[D].北京:中国地质大学(北京),2007.
PENG Yujing1,LIU Jian1,GAO Tong2,LIAO Lingsong1,GAO Xiaofeng1
(1.Communication and Information Center, State Administration of Work Safety, Beijing 100013, China;2.School of Resources and Safety Engineering, China University of Mining and Technology(Beijing), Beijing 100083, China)
Abstract:In order to master risk information of coal mine timely and predict and warn risks effectively, a risk prediction and early warning system of coal mine enterprises based on GIS was designed. The system uses GIS information collection platform to collect and process hazard information effectively; uses risk early warning model to do comprehensive prediction analysis, including data mining analysis and algorithm operation analysis for collected information, and draws conclusion of the risk early warning; and uses GIS analysis and presentation platform to comprehensively visualize early warning results, so as to provide aid decision support for mine safety production and scheduling. The system can realize accurate control for risk management of coal mine enterprises.
Key words:coal mine safety; risk prediction; risk early warning; hazard identification; early warning information display; visualization; data mining; GIS
文章编号:1671-251X(2018)06-0096-05
DOI:10.13272/j.issn.1671-251x.2017110031
收稿日期:2017-11-14;
修回日期:2018-03-07;
责任编辑:张强。
基金项目:十二五国家科技支撑计划项目(2015BAK38B01)。
作者简介:彭玉敬(1963-),男,安徽萧县人,教授级高级工程师,硕士,主要研究方向为国家安全生产监管监察信息化等,E-mail:cumtbgt@qq.com。
引用格式:彭玉敬,刘建,郜彤,等.基于GIS的煤矿企业风险预测预警系统设计[J].工矿自动化,2018,44(6):96-100.
PENG Yujing,LIU Jian,GAO Tong,et al. Design of risk prediction and early warning system of coal mine enterprises based on GIS[J].Industry and Mine Automation,2018,44(6):96-100.
中图分类号:TD76
文献标志码:A
网络出版地址:http://kns.cnki.net/kcms/detail/32.1627.TP.20180518.1616.001.html