耿越,段迎娟,任家敏
(中国矿业大学(北京) 机电与信息工程学院,北京 100083)
摘要:对用于煤巷顶板稳定性评价的经典方法中常用的单指标法和复合指标法,以及机器学习方法中常用的有监督学习方法和无监督学习方法进行了总结、分析,指出经典方法采用单一指标或仅针对某一类煤岩体进行顶板稳定性评价,评价结果不全面、不可靠,而机器学习方法需要人工标注大量顶板监测数据,工作量大,实际应用效果较差。基于深度学习方法可从顶板监测数据中自动提取特征的优势,提出了采用深度学习中的生成对抗网络对煤巷顶板进行稳定性评价的新模式,从而减少人工工作量。
关键词:煤巷; 围岩; 顶板稳定性评价; 机器学习; 深度学习; 生成对抗网络
煤巷围岩条件复杂多变,顶板稳定性直接影响工作面与巷道的安全情况。在所有煤矿事故中,由顶板失稳造成的事故发生最频繁,伤亡人数最多[1]。因此对煤巷顶板稳定性的准确分类与评价具有重要意义。
现有煤巷顶板稳定性评价方法主要包括经典方法和机器学习方法,如图1所示。近年来,深度学习在许多领域取得了令人瞩目的成就,但目前还未有应用于顶板稳定性评价研究领域的报道。本文在总结现有顶板稳定性评价方法的基础上,对深度学习用于煤巷顶板稳定性评价进行了探索。

图1 煤巷顶板稳定性评价方法
Fig.1 Roof stability assessment methods of coal roadway
煤巷顶板稳定性评价经典方法主要包括单指标法和复合指标法。
用于煤巷顶板稳定性评价的单指标法中,具有代表性的包括普氏分类法和岩石质量指标法。普氏分类法以岩石抗压强度为基础,通过力学模型计算得到坚固性系数,并以此作为分类与评价标准[2]。D. U. Deere[3]在20世纪60年代提出了以岩石质量指标(Rock Quality Designation,RQD,即从钻孔中直接获取的扣除破碎与软弱部分的岩芯长度与总进尺的比值)为标准的顶板稳定性分类与评价方法。
单指标法已成功应用于实际工程,但该类方法仅从某一方面或某一指标对煤巷顶板稳定性进行分析,难以反映顶板围岩的整体稳定性情况。
N. Barton等[4]提出以顶板节理组数、节理粗糙度、节理变质程度、RQD、涌水量与围岩应力条件作为岩体稳定性评价指标的Q系统分类法。Z. T. Bieniawski[5]提出以单轴抗压强度、RQD、节理间距、机理状态与涌水量作为评价指标的岩体权值系统能量代谢率(Relative Metabolic Rate,RMR)分类法。GB 50218—1994《工程岩体分级标准》采用定性与定量相结合的方法[6],在RMR分类法基础上进一步细分了顶板等级。稳定性指标分类法以有效强度、容重、埋深、应力集中系数、围岩暴露系数及岩石破坏系数来计算分级指数。移近率分类法通过巷道埋深、煤层采高、巷道填充系数、巷道底板强度系数计算移近率[6]。董方庭等[7]提出了巷道围岩松动圈分类法,其通过巷道围岩强度、巷道应力条件及断面大小、形状计算松动圈大小。
复合指标法一般在对岩体进行稳定性评价过程中综合了定性描述和定量指标,考虑的因素更加全面,评价结果更可靠、客观。但是许多基于机理假说和岩体力学模型的复合指标法只针对某一类岩体或地下工程展开分析。采矿工程不同于一般永久性地下隧道工程,煤矿巷道与采场随工程进行而动态变化。采用同一力学指标体系去评价不同煤矿或同一煤矿不同位置的顶板稳定性可能会得到不可靠的评价结果。
用于煤巷顶板稳定性评价的机器学习方法主要包括有监督学习方法和无监督学习方法。
有监督学习是机器学习的核心内容。用于煤巷顶板稳定性评价的有监督学习方法包括支持向量机(Support Vector Machine,SVM)、人工神经网络、判别分析法等。
SVM基本思想是将原始样本空间借助一个非线性映射转换到特征空间,然后在特征空间中构建一个最优超平面,利用线性判别方法对顶板稳定性进行判定。Zhou Jian等[8]以埋藏深度、最大切应力等8个静态地质参数作为评价指标,通过粒子群算法训练确定SVM最优超平面参数,对顶板冲击地压进行长期预测。文献[9-11]以启发式算法(如遗传算法、网格搜索、果蝇算法)与SVM结合的方法对顶板稳定性进行评价。
人工神经网络从顶板围岩的非线性特点入手,以数据为驱动,广泛应用于巷道顶板围岩稳定性类型识别、预测、评价等方面。朱永建等[12]以经典的围岩稳定性分类指标为顶板稳定性的特征样本,搭建BP神经网络,对神东矿区超长煤巷顶板稳定性进行分类预测。李一鸣等[13]以分形盒维数和小波包能量矩构造特征向量,作为BP神经网络模型的输入来识别顶板煤岩垮落的类别。
判别分析法常用模型有基于马氏距离的线性判别分析(Linear Discriminant Analysis,LDA)模型和贝叶斯判别分析模型。Zhou Jian等[14]以顶板厚度、倾角、埋深等作为判别因子,建立LDA模型,对顶板冲击地压危险性进行分级预测。文畅平[15]综合煤巷顶板冲击地压发生的自然、地质和开采技术等因素,选取10个特征指标作为贝叶斯判别分析模型的判别因子,对冲击地压危险性进行等级分类预测评价。
其他用于煤巷顶板稳定性评价的有监督学习方法还有随机森林模型、随机梯度提升模型等。Zhou Jian等[16]将随机森林分类器和随机梯度下降模型应用于顶板冲击地压危险性等级识别,并对常用的有监督学习方法在煤巷顶板锚杆支护稳定性和顶板冲击地压危险性分级评价中的应用进行了对比[17]。
无监督学习方法的目标是通过对无标记训练样本的学习来揭示数据的内在性质及规律。无监督学习方法主要是聚类,包括模糊聚类、未知测度聚类、灰色聚类等。杨仁树等[18]将层次分析法与聚类模型结合,采用基于模糊等价关系的动态分析法,将煤巷围岩稳定性分为5个等级,并以此为基础,对每个等级巷道进行支护参数选择。杨涛等[19]选取单轴抗压强度、抗拉强度等10项指标进行分析,采用Q型聚类分析方法,将科尔克煤矿的围岩质量分为4个等级。田苗[20]采用模糊C均值聚类法对煤层顶板安全性进行了预测分析。史秀志等[21]提出建立隧道围岩分级的未确知均值聚类分析模型。胡小勇等[22]提出将改进后的灰色聚类分析理论与优势关系粗糙集结合,用于采场稳定性评价体系分析,所建模型更接近决策问题的自然推理。
传统的机器学习方法用于煤巷顶板稳定性评价时,需要人工标注顶板监测数据,有监督学习方法需要大量带标签数据,无监督学习方法实际应用效果参差不齐。作为人工智能的最前沿技术与理论,深度学习能够利用其深层抽象与自动提取特征的能力解决上述问题,非常适用于煤巷顶板稳定性分类与评价研究。
在过去几年里,深度学习已经在图像处理与识别、语音识别、自然语言处理等领域[23]取得了一系列研究成果,但在煤矿安全领域尚未有相关研究出现。具有代表性的深度学习模型有卷积神经网络、递归神经网络及生成对抗网络(Generative Adversarial Network, GAN)。GAN是由I. Goodfellow等[24]提出的一种生成式模型,由1个生成器和1个判别器构成。生成器捕捉真实数据的潜在分布并生成新的样本数据;判别器判别输入是真实数据还是生成的样本数据。生成器与判别器对抗训练,GAN优化属于极小极大博弈问题,优化目标是达到纳什均衡,使生成器学习到样本数据的真实分布。判别器和生成器均可采用各种深度学习模型。
GAN是一种基于对抗博弈的机器学习框架,学习过程中不依赖数据标签,对抗训练机制又能避免在小数据集上训练时的过拟合问题。本文将GAN作为煤巷顶板稳定性评价模型,提出一种顶板稳定性评价新模式,如图2所示。
将顶板动态监测数据与静态地质指标融合作为评价模型的训练样本集,GAN可隐式地从顶板融合数据中学习到模型参数的分布情况。生成器和判别器均采用深度卷积神经网络。模型具体架构参考文献[25]中的深度卷积GAN。

图2 基于GAN的煤巷顶板稳定性评价模型
Fig.2 Roof stability assessment model of coal roadway based on GAN
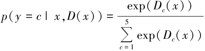
生成器目的是学习顶板融合数据x的分布。设生成器输入为服从某种分布(如高斯分布、伯努利分布等)的噪声z。GAN标准判别器[24]进行二分类学习,本文借鉴CatGAN[26]利用判别器对煤巷顶板稳定性进行五分类(5个等级)。判别器D(x)为5类判别模型,x属于5个互相独立的类别,即

(1)
式中:p为训练样本x属于5个等级的概率;y为输出等级;c为顶板等级类别,Dc(x)为输出等级为c时的判别器。
生成器G(z)将噪声z映射到数据空间并生成新的fake样本:
(2)
式中P(z)为某种噪声分布(如高斯分布或伯努利分布)。
判别器与生成器的优化目标函数分别为

式中:H为互信息;E为期望。
判别器通过最大化输入样本与输出等级的互信息来完成训练。生成器通过最小化生成样本与输出等级的互信息来完成训练。2个网络均为卷积神经网络,通过梯度下降依次进行权重更新。当判别模型无法提升时,对抗训练完成。可用训练好的GAN对煤巷顶板稳定性进行评价,同时生成一些新的样本作为数据补充。
煤巷顶板稳定性评价研究已取得了一定成果,但仍存在以下问题:① 由于目前对顶板变形与破坏机理的理解尚未清楚,所以基于物理建模和理论假说的经典方法很难对顶板灾害进行精准建模,可信度较低,仅适用于少数场景。② 经典方法多以静态地质参数作为评价指标,具有局限性;基于动态监测变量的方法缺少深入挖掘与研究。③ 传统机器学习方法在处理未加工的顶板监测数据时,需要进行繁琐的数据处理与特征提取,效率较低。④ 有监督学习方法需要对监测数据进行人工标记,无形中提高了煤矿生产成本;无监督学习方法在实际应用中很难达到预期目标。
深度学习方法中的GAN可直接从煤巷顶板原始数据中自动提取特征,摆脱对样本标签和大量数据的依赖,减少人工标注煤巷顶板监测数据的工作量,从而节省人力,降低煤矿企业生产成本。因此,在煤矿企业现有顶板监测数据基础上,以GAN为评价模型对顶板稳定性进行更全面的分类与评价研究,将是笔者下一步的研究重点。
参考文献(References):
[1] 孙继平,钱晓红.2004—2015年全国煤矿事故分析[J].工矿自动化,2016,42(11):1-5.
SUN Jiping,QIAN Xiaohong.Analysis of coal mine accidents in China during 2004-2015[J].Industry and Mine Automation,2016,42(11):1-5.
[2] 关宝树.普氏岩石坚固性系数[J].铁路标准设计通讯,1964(4):22-26.
[3] DEERE D U. Technical description of rock cores for engineering purpose[J].Rock Mechanics and Engineering Geology,1963,1(1):16-22.
[4] BARTON N, GRIMSTAD E. Rock mass conditions dictate choice between NMT and NATM[J].Tunnels & Tunnelling International,1994,26(10):39-42.
[5] BIENIAWSKI Z T. Engineering rock mass classifications: a complete manual for engineers and geologists in mining, civil, and petroleum engineering[M].New Jersey: John Wiley & Sons,1989:52-68.
[6] 钱鸣高,石平五,许家林.矿山压力与岩层控制[M].徐州:中国矿业大学出版社,2010:33-39.
[7] 董方庭,宋宏伟,郭志宏,等.巷道围岩松动圈支护理论[J].煤炭学报,1994,19(1):21-32.
DONG Fangting,SONG Hongwei,GUO Zhihong,et al. Roadway support theory based on broken rock zone[J].Journal of China Coal Society,1994,19(1):21-32.
[8] ZHOU Jian, LI Xibing, SHI Xiuzhi. Long-term prediction model of rockburst in underground openings using heuristic algorithms and support vector machines[J]. Safety Science, 2012, 50(4): 629-644.
[9] PENG Yahui, PENG Kang, ZHOU Jian, et al. Prediction of classification of rock burst risk based on genetic algorithms with SVM[J].Applied Mechanics & Materials,2014,628:383-389.
[10] 李启月,许杰,王卫华,等.基于数学形态学多尺度分析的顶板下沉量预测[J].岩土力学,2013,34(2):433-438.
LI Qiyue,XU Jie,WANG Weihua,et al. Roof settlement predicting based on multi-scale mathematical morphological analysis[J].Rock and Soil Mechanics,2013,34(2):433-438.
[11] CHOU J S, THEDJA J P P. Metaheuristic optimization within machine learning-based classification system for early warnings related to geotechnical problems[J]. Automation in Construction,2016,68:65-80.
[12] 朱永建,冯涛.锚杆支护超长煤巷顶板稳定性动态分类研究[J].煤炭学报,2012,37(4):565-570.
ZHU Yongjian,FENG Tao. Research on dynamic stability classification of bolt support for super-long coal roadway roof[J].Journal of China Coal Society,2012,37(4):565-570.
[13] 李一鸣,符世琛,焦亚博,等.基于分形盒维数和小波包能量矩的垮落煤岩性状识别[J].煤炭学报,2017,42(3):803-808.
LI Yiming,FU Shichen,JIAO Yabo,et al. Collapsing coal-rock identification based on fractal box dimension and wavelet packet energy moment[J]. Journal of China Coal Society,2017,42(3):803-808.
[14] ZHOU Jian, SHI Xiuzhi, DONG Lei, et al. Fisher discriminant analysis model and its application for prediction of classification of rockburst in deep-buried long tunnel[J]. Journal of Coal Science and Engineering (China),2010,16(2):144-149.
[15] 文畅平.基于Bayes判别分析法的冲击地压预测与危险性分级[J].自然灾害学报,2015,24(5):229-236.
WEN Changping.Prediction and hazard classification of bumping geopressure based on bayes discriminant analysis method[J]. Journal of Natural Disasters,2015,24(5):229-236.
[16] ZHOU Jian, SHI Xiuzhi, HUANG Rendong, et al. Feasibility of stochastic gradient boosting approach for predicting rockburst damage in burst-prone mines[J]. Transactions of Nonferrous Metals Society of China,2016,26(7):1938-1945.
[17] ZHOU Jian, LI Xibing, MITRI H. Classification of rockburst in underground projects: comparison of ten supervised learning methods[J]. Journal of Computing in Civil Engineering, 2016, 30(5): 04016003.
[18] 杨仁树,王茂源,马鑫民,等.煤巷围岩稳定性分类研究[J].煤炭科学技术,2015,43(10):40-45.
YANG Renshu,WANG Maoyuan,MA Xinmin,et al.Research on surrounding rock stability classification of coal drift[J]. Coal Science and Technology,2015,43(10):40-45.
[19] 杨涛,张紫昭,胡磊,等.聚类分析在煤矿井巷围岩岩体质量分类中的应用[J].西安科技大学学报,2015,35(1):43-49.
YANG Tao,ZHANG Zizhao,HU Lei,et al. Application of clustering analysis in surrounding rock classification of coal mine-lane[J]. Journal of Xi'an University of Science and Technology,2015,35(1):43-49.
[20] 田苗.模糊聚类分析在煤矿顶板事故分类中的应用[J].中国科技信息,2015(1):119-120.
[21] 史秀志,周健.隧道围岩分级判别的未确知均值聚类模型[J].土木建筑与环境工程,2009,31(2):62-67.
SHI Xiuzhi,ZHOU Jian. Application of uncertainty average clustering measurement model to classification of tunnel surrounding rock[J]. Journal of Civil, Architectural & Environmental Engineering,2009,31(2):62-67.
[22] 胡小勇,陈建宏,王革民.改进后的灰色聚类分析与优势关系粗糙集的采场稳定性评价体系[J].中南大学学报(自然科学版),2015,46(1):223-230.
HU Xiaoyong,CHEN Jianhong,WANG Gemin. Stope stability evaluation system based on improved grey clustering analysis and dominance-based rough set[J]. Journal of Central South University(Science and Technology),2015,46(1):223-230.
[23] LECUN Y, BENGIO Y, HINTON G. Deep learning[J].Nature,2015,521:436-444.
[24] GOODFELLOW I, POUGET-ABADIE J, MIRZA M, et al. Generative adversarial nets[C]// Proceedings of the 27th International Conference on Neural Information Processing Systems, Montreal, 2014:2672-2680.
[25] RADFORD A, METZ L, CHINTALA S. Unsupervised representation learning with deep convolutional generative adversarial networks[C]// Proceedings of International Conference on Learning Representations,San Juan,2016,ArXiv:1511.06434.
[26] SPRINGENBERG J T. Unsupervised and semi-supervised learning with categorical generative adversarial networks[C]// Proceedings of International Conference on Learning Representations,San Juan,2016,ArXiv:1511.06390.
GENG Yue, DUAN Yingjuan, REN Jiamin
(School of Mechanical Electronic and Information Engineering, China University of Mining and Technology(Beijing), Beijing 100083, China)
Abstract:Existing roof stability assessment methods of coal roadway were summarized and analyzed, which included single index method and compound index method in classic methods and supervised learning method and unsupervised learning method in machine learning methods. It was pointed out that the classic methods assessed roof by single index or for a certain type of coal rock so that assessment result is incomplete or unreliable, and the machine learning method needed a large number of hand-crafted labeling of roof monitoring data with large workload and poor actual application effect. A new roof stability assessment mode of coal roadway based on generative adversarial network in deep learning was proposed according to advantage of extracting features from roof monitoring data automatically of the deep learningmethod, so as to decrease labor workload.
Key words:coal roadway; surrounding rock; roof stability assessment; machine learning; deep learning; generative adversarial network
收稿日期:2017-11-29;
修回日期:2018-05-08;
责任编辑:李明。
作者简介:耿越(1989-),男,河北邯郸人,博士研究生,研究方向为机器学习及其在煤矿安全领域的应用,E-mail:13011197054@163.com。
引用格式:耿越,段迎娟,任家敏.煤巷顶板稳定性评价方法研究[J].工矿自动化,2018,44(6):35-39.
GENG Yue, DUAN Yingjuan, REN Jiamin.Research on rof stability assessment method of coal roadway[J].Industry and Mine Automation,2018,44(6):35-39.
文章编号:1671-251X(2018)06-0035-05
DOI:10.13272/j.issn.1671-251x.2017110060
中图分类号:TD322.4
文献标志码:A
网络出版地址:http://kns.cnki.net/kcms/detail/32.1627.TP.20180515.0913.003.html