康会峰
(北华航天工业学院 机电工程学院,河北 廊坊 065000)
摘要:根据两线圈磁耦合谐振式无线电能传输模型,推导了磁耦合谐振式无线电能传输效率与线圈偏移角度、传输距离之间的关系公式,研究了传输距离和偏移角度对传输效率的影响,得出了如下结论:随着传输距离的增大,偏移角度对无线电能传输效率的影响越来越小;偏移角度较小时,其对传输效率的影响不大;偏移角度大于75°时,随着偏移角度的增大,传输效率急剧下降;随着传输距离的增大,无线电能传输效率下降趋势越来越平缓。Matlab仿真和实验验证了理论分析的正确性。
关键词:磁耦合谐振式无线电能传输; 偏移角度; 传输距离; 传输效率
无线电能传输技术以电场、磁场等软介质为媒介实现能量传输,使电源和用电器之间完全隔离[1-3],避免了利用物理导线传输电能的弊端,是一种相对安全有效的电能传输方式。与传统的电磁感应式、微波式无线电能传输相比,磁耦合谐振式无线电能传输方式具有传输功率大、不受障碍物影响、传输距离远、电磁辐射小等优点,能够应用在多个领域[4-6],因此,成为了无线输电方向的研究热点。
磁耦合谐振式无线电能传输主要依靠具有相同谐振频率的线圈进行能量传输,为了提高传输功率、传输效率、传输距离等,国内外学者进行了大量的理论与实验研究。目前针对磁耦合谐振式无线电能传输技术的研究主要是针对平行线圈结构进行的,但是在煤矿井下等特殊应用环境中,偏移角度不可避免,因此有必要研究其对磁耦合谐振式无线电能传输特性的影响。文献[7]针对线圈偏移角度是否会对传输效率产生影响进行了研究,并提出过耦合、临界耦合以及欠耦合3种状态下的方向性问题。文献[8]针对不同的偏移情况,提出一种计算互感值的明确方法,但没有讨论偏移对传输特性的影响。文献[9]针对磁耦合谐振式无线电能传输的应用现状和发展动态进行了分析,介绍了该领域亟待解决的问题,对理论模型、电磁环境、技术标准及应用瓶颈等问题进行了阐述。文献[10]根据任意空间位置的空心线圈的耦合因数与方向之间的关系就方向对耦合因数的影响进行了分析,提出了系统在临界耦合、欠耦合以及过耦合3种耦合状态的方向特性。文献[11]提出了一种新的耦合谐振式无线电能传输的分析模型,使得在利用有限元法分析输出电压和传输效率的时候包括横向偏移。
本文推导了磁耦合谐振式无线电能传输效率与线圈偏移角度、传输距离之间的关系公式,就偏移角度对磁耦合谐振式无线电能传输特性的影响进行Matlab仿真分析,得到了传输效率随着偏移角度、传输距离变化的规律。
磁耦合谐振式无线电能传输的原理:通过发射线圈将高频电源的能量发射出去,通过磁场谐振的方式传输至接收线圈,最后从接收线圈传递至负载。两线圈磁耦合谐振式无线电能传输模型如图1所示。

图1 两线圈磁耦合谐振式无线电能传输模型
Fig.1 Magnetic coupling resonant wireless power transmission model with two coils
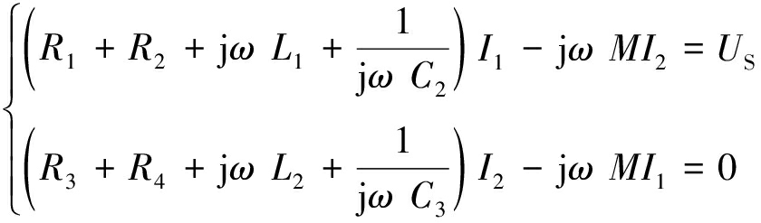
图1中,AC为高频交流电源,US为交流电源电压;R1为电源内阻;R2,R3分别为发射线圈和接收线圈的辐射电阻与欧姆损耗电阻之和;L1,C1分别为发射线圈的电感值和补偿电容;L2,C2分别为接收线圈的电感值和补偿电容;R4为系统负载;M为发射线圈和接收线圈的互感。I1,I2分别为发射线圈和接收线圈中的电流。根据KVL定律可得

(1)
式中ω为角频率。
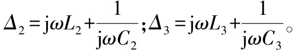
求解式(1)可得到I1,I2:

(2)
式中:![]()
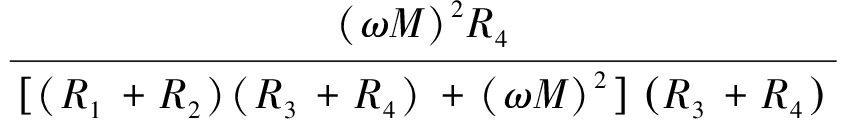
在两线圈谐振时传输效率最高,此时Δ2=Δ3=0,则传输效率η计算公式为
η=![]()
×100%
(3)
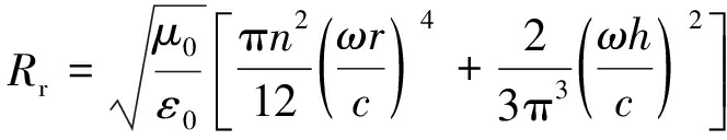
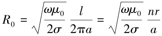
文献[1]中分析了高频情况下线圈欧姆损耗电阻R0和辐射损耗电阻Rr的计算公式:
(4)
(5)
式中:μ0为真空磁导率;σ为电导率;a为线径;l为线圈长度;n为线圈匝数;r为线圈半径;ε0为介电常数;c为光速;h为线圈宽度。
在高频情况下,R0>>Rr,因此,分析时只考虑欧姆损耗电阻R0。
磁耦合谐振式无线电能传输主要靠线圈间的互感进行能量传递,因此,互感对其特性具有直接影响。通过研究线圈偏移角度对线圈间互感的影响,可得出其对磁耦合谐振式无线电能传输特性的影响。存在偏移角度的线圈模型如图2所示,其中d为两线圈中心的距离。

图2 存在偏移角度的线圈模型
Fig.2 Coils Model with offset angle
文献[12]中推导了任意状态时线圈之间的互感公式:
(6)
式中:n1,n2分别为发射线圈与接收线圈的匝数;l1,l2分别为每匝发射线圈与每匝接收线圈的长度,dl1,dl2分别为发射线圈与接收线圈的无穷小分割单元;DQN为dl1与dl2的距离。
dl1=(-r1sinθ+r1cosθ)dθ
(7)
dl2=(-r2sinφcosα+r2cosφ+sinφsinα)dφ
(8)
式中:r1,r2分别为发射线圈与接收线圈的半径;α为线圈偏移角度;θ,φ分别为dl1,dl2偏离x轴、x′轴的角度,取值范围为0~2π。
将式(7)、式(8)代入式(6)可得
(9)
DQN=[(r1cosθ-r2cosφ)2+(r1sinθ-
r2sinφ)2+(-r1sinθsinα+h2)]1/2
(10)
为方便仿真研究,假设线圈采用线径为2 mm的铜线绕制而成,半径为0.1 m,匝数为10。为了使系统处于完全谐振状态,设发射线圈与接收线圈的参数完全相同,负载为50 Ω电阻,系统工作频率为10 MHz。结合式(3)、式(9)可得到传输距离、偏移角度与传输效率的关系。
在径向距离为0时,利用Matlab仿真得到偏移角度和传输距离对传输效率的影响曲线,如图3所示。

图3 偏移角度和传输距离对传输效率的影响曲线
Fig.3 Effect curve of offset angle and transmission distance on transmission efficiency
分析图3可知,随着传输距离的增大,磁耦合谐振式无线电能传输效率逐渐降低,传输距离达到0.2 m后,传输效率下降速度开始增大。随着偏移角度的增大,传输效率逐渐降低。偏移角度小于75°时,其对传输效率的影响比较小;偏移角度大于75°时,随着偏移角度的增大,传输效率急剧减小;偏移角度达到90°时,传输距离为0,这是因为两线圈垂直时,线圈间的磁通为0,互感为0。从图3可以发现,随着传输距离的增大,偏移角度对传输效率的影响逐渐减小,即传输距离越远,偏移角度对传输效率的影响越小。
设传输距离为0.05,0.1,0.2,0.3,0.4 m,利用Matlab仿真得到偏移角度对传输效率的影响曲线,如图4所示。

图4 不同传输距离时偏移角度对传输效率的影响曲线
Fig.4 Effect curve of offset angle on transmission efficiency at different transmission distances
从图4中可以看出,在d=0.05 m和d=0.1 m的条件下,偏移角度小于75°时,偏移角度的大小对电能传输效率的影响非常小;偏移角度大于75°时,随着偏移角度的增大,传输效率急剧减小,几乎成直线下降。在d=0.2 m的条件下,偏移角度小于60°时,随着偏移角度的增大,传输效率几乎不受影响;偏移角度大于60°时,随着偏移角度的增大,传输效率开始下降,但是与d=0.05 m,d=0.1 m时相比,下降趋势较缓。在d=0.3 m的条件下,从偏移角度为40°左右开始,传输效率下降速度开始加快,但与d=0.2 m时相比,下降趋势更加平缓。以上分析说明,传输距离越大,偏移角度对磁耦合谐振式无线电能传输的影响越小,传输效率下降趋势越来越平缓。
为了验证理论分析的正确性,设计了磁耦合谐振式无线电能传输系统的实验装置,包括直流电源、信号发生器、功率放大器、负载、发射线圈、接收线圈等。实验前,利用LCR测试仪测量线圈的电感值与分布电容值,计算得到补偿电容值,使两线圈具有相同的谐振频率。在实验中,设系统工作频率为8 MHz,负载为50 Ω,线圈半径为0.1 m,由线径为2 mm的铜线绕制而成。利用通过式功率表测负载消耗的功率。在径向距离为0,传输距离为0.05,0.1,0.2 m时,针对偏移角度和轴向距离对传输效率的影响进行实验,结果如图5所示。

图5 不同传输距离时偏移角度对传输效率的影响曲线
Fig.5 Effect curve of offset angle on transmission efficiency at different transmission distances
分析图5可知,偏移角度大于75°时,其对磁耦合谐振式无线电能传输效率的影响较大;传输距离越远,偏移角度对传输效率的影响越小。实验结果与理论分析结果存在的差异与自制功率放大器的效率有关,若忽略功率放大器的效率,则实验结果与理论分析结果一致。
(1) 随着传输距离的增大,偏移角度对传输效率的影响越来越小;偏移角度较小时,其对传输效率的影响不大;偏移角度大于75°时,随着偏移角度的增大,传输效率急剧下降。
(2) 随着传输距离的增大,无线电能传输效率开始下降的临界偏移角度越来越小,但是下降趋势越来越平缓。
参考文献(References):
[1] KURS A,KARALIS A,MOFFATT R,et al.Wireless power transfer via strongly coupled magnetic resonances[J].Science,2007,317(5834):83-86.
[2] 田子建,林越,陈健,等.无线输电技术及其在矿井安全监控系统中的应用[J].工矿自动化,2014,40(7):32-36.
TIAN Zijian,LIN Yue,CHEN Jian,et al. Wireless power transmission technology and its application in mine safety monitoring system[J].Industry and Mine Automation,2014,40(7):32-36.
[3] 苗可彬.无线充电技术在矿用甲烷便携仪中的应用研究[J].工矿自动化,2015,41(5):26-28.
MIAO Kebin.Research of application of wireless charging technology in mine-used portable methane detector[J].Industry and Mine Automation,2015,41(5):26-28.
[4] 卢闻州,沈锦飞,方楚良.磁耦合谐振式无线电能传输电动汽车充电系统研究[J].电机与控制学报,2016,20(9):46-53.
LU Wenzhou,SHEN Jinfei,FANG Chuliang.Study of magnetically-coupled resonant wireless power transfer electric car charging system[J].Electric Machines and Control,2016,20(9):46-53.
[5] 张剑韬,朱春波,陈清泉.应用于无尾家电的非接触式无线能量传输技术[J].电工技术学报,2014,29(9):33-37.
ZHANG Jiantao,ZHU Chunbo,CHEN Qingquan.Contactless wireless energy transfer technology applied to tail-free household appliances[J].Transactions of China Electrotechnical Society,2014,29(9):33-37.
[6] SEGURAQUIJANO F,GARCIACANTON J,SACRISTAN J,et al.Wireless powering of single-chip systems with integrated coil and external wire-loop resonator[J].Applied Physics Letters,2008,92(7):83-259.
[7] 李阳,杨庆新,闫卓,等.磁耦合谐振式无线电能传输方向性分析与验证[J].电工技术学报,2014,29(2):197-203.
LI Yang,YANG Qingxin,YAN Zhuo,et al.Analysis and validation on characteristic of orientation in wireless power transfer system via coupled magnetic resonances[J].Transactions of China Electrotechnical Society,2014,29(2):197-203.
[8] BABIC S,AKYEL C.Calculating mutual inductance between circular coils with inclined axes in air[J].IEEE Transactions on Magnetics,2008,44(7):1743-1750.
[9] 黄学良,王维,谭林林.磁耦合谐振式无线电能传输技术研究动态与应用展望[J].电力系统自动化,2017,41(2):2-14.
HUANG Xueliang,WANG Wei,TAN Linlin.Technical progress and application development of magnetic coupling resonant wireless power transfer[J].Automation of Electric Power Systems,2017,41(2):2-14.
[10] 罗垚.平行轴圆柱线圈互感计算的新方法[J].电工技术学报,2016,31(2):31-37.
LUO Yao.New approach for the mutual inductance calculations of the circular coils with parallel axes[J].Transactions of China Electrotechnical Society,2016,31(2):31-37.
[11] WANG Junhua,LI Jiangui,HO S L,et al.Lateral and angular misalignments analysis of a new PCB circular spiral resonant wireless charger[J].IEEE Transactions on Magnetics,2012,48(11): 4522-4525.
[12] 刘修泉,曾昭瑞,黄平.空心线圈电感的计算与实验分析[J].工程设计学报,2008,15(2):149-153.
LIU Xiuquan,ZENG Zhaorui,HUANG Ping.Numerical and experimental analysis on performances of coreless coil inductance[J].Journal of Engineering Design,2008,15(2):149-153.
KANG Huifeng
(School of Mechanical and Electrical Engineering, North China Institute of Aerospace Engineering, Langfang 065000, China)
Abstract:Formulas of relation between magnetic coupling resonant wireless power transmission efficiency and offset angle of coil and transmission distance were derived according to magnetic coupled resonant wireless power transmission model with two coils. Effect of transmission distance and offset angle on transmission efficiency were studied, and conclusions were obtained as follows: as transmission distance increases, impact of offset angle on wireless transmission efficiency becomes smaller and smaller; When offset angle is small, its effect on transmission efficiency is not significant; when offset angle is greater than 75°, the transmission efficiency decreases sharply with increase of offset angle; as the transmission distance increases, decreasing trend of wireless power transmission efficiency is more and more gentle.Correctness of theoretical analysis was verified by Matlab simulation and experiment.
Key words:magnetic coupled resonant wireless power transmission; offset angle; transmission distance; transmission efficiency
文章编号:1671-251X(2018)06-0031-05
DOI:10.13272/j.issn.1671-251x.2018030093
收稿日期:2018-03-30;
修回日期:2018-04-16;
责任编辑:胡娴。
基金项目:河北省科技计划项目(17247673D);河北省教育厅重点项目(ZD2016115);北华航天工业学院重点项目(DZ201701)。
作者简介:康会峰(1980-),男,河北行唐人,副教授,硕士研究生导师,研究方向为机械电子、检测技术等,E-mail:3121514042@qq.com。
引用格式:康会峰.线圈偏移角度对无线电能传输特性的影响[J].工矿自动化,2018,44(6):31-35.
KANG Huifeng. Influence of offset angle of coil on wireless power transmission characteristics[J].Industry and Mine Automation,2018,44(6):31-35.
中图分类号:TD60
文献标志码:A
网络出版地址:http://kns.cnki.net/kcms/detail/32.1627.TP.20180517.1648.002.html