程富起1,2,李忠辉1,2,3,魏洋1,2,殷山1,2,刘帅杰1,2,孔艳慧1,2
(1.中国矿业大学 煤矿瓦斯与火灾防治教育部重点实验室,江苏 徐州 221116;2.中国矿业大学 安全工程学院,江苏 徐州 221116;3.中国矿业大学 煤炭资源与安全开采国家重点实验室,江苏 徐州 221116)
摘要:为定量分析煤岩受载过程中红外辐射温度特征参数与煤岩损伤演化规律,采集并分析了煤岩单轴压缩条件下的红外辐射温度数据,根据损伤力学理论构建了煤岩损伤模型,得到了最高红外辐射温度积累量和煤岩损伤之间的关系。结果表明:① 煤岩受载最高红外辐射温度-时间曲线与载荷-时间曲线有很好的对应关系,最高红外辐射温度能够反映煤岩受载破坏情况;② 基于最高红外辐射温度积累量的煤岩损伤演化模型能够很好地反映煤岩在单轴压缩条件下裂隙缺陷产生、发展和破坏的演化过程;③ 基于最高红外辐射温度积累量的计算应力和实测应力的整体相关性系数达到0.8以上,呈高度相关,且计算应力-应变曲线峰值超前于实测应力-应变曲线峰值。
关键词:煤岩动力灾害;煤岩监测预警;煤岩受载破坏;煤岩变形;煤岩损伤演化;单轴压缩;红外辐射;最高红外辐射温度
随着煤矿采掘深度逐渐增加,冲击地压等煤岩动力灾害日趋频发,严重影响了煤矿安全生产[1-2]。煤岩在应力作用下会产生红外辐射效应,其红外辐射参数蕴含煤岩损伤破坏的前兆信息[3-5]。通过红外辐射参数变化来研究煤岩损伤演化过程及失稳破坏的前兆特征,对于研究煤岩破坏机制、预防煤岩动力灾害具有重要指导意义。
红外辐射作为煤岩受载变形破坏过程中的一种能量耗散形式,能够很好地反映煤岩受载破坏情况。Chen S Y等[6]根据热力学原理、弹性理论和力学实验,对应力、应变与温度响应之间的物理规律进行了研究。Tan Z H等[7]研究了单轴压缩条件下煤岩微破裂强度与热效应的关系。Liu P X等[8]揭示了岩石不同位置温度变化情况能够反映不同位置的应力分布不同。李忠辉等[9]研究了顶板岩石变形破坏过程中电位和红外辐射的变化规律及特征,发现岩石破坏的红外辐射曲线极值点与电位异常信号存在一定的对应关系。徐子杰等[10]研究了不同冲击倾向性煤体的红外前兆信息,发现随着煤体冲击倾向性的增强,煤样出现红外高温区域与低温区域的前兆更明显。杨桢等[11]通过复合煤岩体受载破坏实验,发现复合煤岩体内部红外辐射温度与应力、应变有较强的正相关关系。马立强等[12]通过试样内部的温度变化特征,分析了试样在受压过程中,其内部红外辐射温度的时空演化特征。
煤岩的破坏在微观上符合统计损伤理论[13]。殷山等[14]通过分析煤岩破坏过程中的电位响应特征,建立了基于电位积累量的煤岩损伤破坏模型。钮月等[15]基于声发射计数和能量积累量,建立了含瓦斯煤受载损伤演化模型。杨永杰等[16]通过建立基于声发射累计振铃计数的岩石三轴压缩损伤演化模型,解释了岩石的损伤演化过程。王云飞等[17]通过分析煤岩破坏过程的声发射和应变能变化规律,以及煤岩损伤萌生、成核、扩展和贯通的过程,研究了煤岩损伤演化机制。刘保县等[18]通过分析单轴压缩煤岩的声发射特性,提出了基于声发射累计振铃计数的单轴压缩煤岩损伤模型。魏明尧等[19]通过建立基于体应变增量的煤体损伤本构模型,发现损伤单元累积和贯通是引起煤体失稳破坏的主要因素。
上述研究大多为利用煤岩受载破坏过程中声发射参数来表达煤岩损伤演化特征,对于煤岩受载过程中红外辐射温度特征参数与煤岩损伤演化规律的定量分析研究较少。本文搭建了实验系统,采集并分析了煤岩单轴压缩条件下的红外辐射温度数据,并根据力学理论构建了煤岩损伤模型,得到了最高红外辐射温度积累量与煤岩损伤的关系。
实验系统包括加载系统、红外辐射数据采集系统、电磁屏蔽室系统,如图1所示。加载系统采用YAW4306微机控制电液伺服压力试验机。红外辐射数据采集系统采用Optris PI450高分辨率红外热像仪,其光学分辨率为382×288像素,测温范围为-20~100 ℃,光谱范围为7.5~13 μm,帧频为80 Hz,视场角为30°×23°,热灵敏度为0.04 K。电磁屏蔽室系统采用GP6电磁屏蔽室,其屏蔽效果在85 dB以上,可有效减少外界环境中的红外辐射对实验信号的干扰。
实验所需煤样取自山西柳林寨崖底煤业有限公司。将大块煤块加工成50 mm×50 mm×100 mm的长方体试样,试样端面用砂纸磨平,其平整度误差小于0.02 mm。将试样放置于试样罐中密封保存。
试样提前24 h放在电磁屏蔽室内,以保证试样温度与电磁屏蔽室内环境温度一致。实验前,在压力试验机周围围上湿布,布置红外热像仪的一侧敞开。红外热像仪布置在距试样50 cm处,红外图像采集速率设置为10 Hz。红外热像仪提前30 min打开进行预热,然后检测煤样表面红外辐射变化,待煤样表面红外辐射温度曲线稳定后开始实验。实验采用位移控加载方式,加载速率为0.2 mm/min。实验期间,关闭电磁屏蔽室门窗及灯光,严禁人员走动。

图1 实验系统
Fig.1 Experimental system
红外辐射温度的表征参数主要有最高红外辐射温度和平均红外辐射温度。最高红外辐射温度指红外热像仪测量的温度场内温度最大值,其反映物体红外辐射的最大强度;平均红外辐射温度指测量的温度场内平均温度,其反映岩石表面红外辐射的整体强度。平均红外辐射温度不能有效表达物体表面红外辐射温度场的空间分布及差异特征。因此,本文选择最高红外辐射温度曲线来研究煤岩损伤演化特征。
对8组煤样进行单轴压缩实验,选取其中具有代表性的2组实验结果进行分析,如图2所示。可看出煤岩受载破坏过程中最高红外辐射温度会发生变化,且最高红外辐射温度曲线能够很好地反映煤岩受载损伤情况。试样在单轴压缩条件下变形破坏过程可分为压密、弹性、塑性、破裂及其发展4个阶段。在压密阶段,试样内部的原生裂纹和空隙闭合,使得煤岩内部气体被排出,带走部分热量,而该过程试样的显性破坏尚未开始,没有热量产生,最高红外辐射温度曲线呈下降趋势。在弹性阶段,试样载荷-时间曲线呈线性,试样受压变形产生热弹效应,最高红外辐射温度出现波动并逐渐升高。在塑性阶段,试样变形加剧,试样内部产生大量微破裂,在载荷的作用下开始扩展、连接、丛集,并逐渐向主破裂方向汇集,不同类型的微破裂会产生不同类型的热效应,剪切裂纹面发生错动摩擦,产生热量,导致试样红外辐射温度上升,张拉裂纹使试样体积增大,试样膨胀吸热,从而使试样红外辐射温度下降,在这一阶段最高红外辐射温度曲线呈现剧烈波动。在破裂及其发展阶段,试样达到承载极限,微破裂贯通成宏观裂缝,裂缝之间的岩桥快速破坏,试样失稳破坏,破裂面之间产生剧烈的错动摩擦,产生大量高温点,最高红外辐射温度曲线发生突增并达到最大值。主破裂后,最高红外辐射温度大幅下降,并存留一定残余温度。

(a) 第1组试样

(b) 第2组试样
图2 煤岩红外辐射温度实验结果
Fig.2 Experimental results of coal-rock infrared radiation temperature
在外界载荷的作用下,煤岩内部的裂纹、孔隙会出现闭合、错动、贯通等现象,同时有新生裂纹缺陷产生并发展,最终形成宏观裂纹,导致煤岩体失稳破坏。因此,煤岩裂纹发展过程就是煤岩损伤过程[13]。同时,煤岩在受载破坏过程中,原生裂纹和新生裂纹会释放出不同程度的红外辐射:剪切裂纹会发生错动摩擦,产生热量,使煤岩红外辐射温度上升;张拉裂纹使煤岩体积增大,吸收热量,从而使煤岩红外辐射温度下降[20]。因此,煤岩红外辐射与煤岩内部缺陷的演化与发展直接相关,并能够反映煤岩损伤程度。
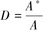
L. M. Kachanov[21]定义了损伤变量:
(1)
式中:A*为材料受损后损伤面积;A为材料初始无损横截面积。
根据应变等价原理[13],可得
σ=E0(1-D)ε
(2)
式中:σ为应力;E0为材料的弹性模量;ε为应变。
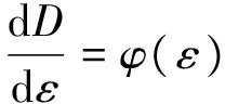
根据损伤力学理论,煤岩试样的强度服从Weibull分布[22],其概率密度函数为
(3)
式中:φ(ε)为试样在加载过程中微元损伤率的度量;m,α为与试样形状、尺度和内部缺陷分布状况相关的常数。
损伤变量D与微元损伤的概率密度函数φ(ε)之间的关系为[23]
(4)
对式(4)积分可得
D=
φ(ε)dε
(5)
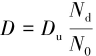
煤岩受载变形过程中发生微破裂产生损伤和红外辐射温度积累量具有一致的统计分布规律。试样应变为ε时的红外辐射温度积累量为
Nd=N0
φ(ε)dε
(6)
式中N0为试样全破坏时的红外辐射温度积累量。
结合式(5)和式(6)可得
D=Nd/N0
(7)
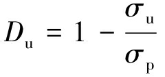
在实验过程中,试样还存在残余应力时,试验机即停止加载,试样未完全破坏,因此需对损伤变量D进行修正:
(8)
式中Du为损伤临界值。
为便于计算,将损伤临界值进行归一化处理[18],得
(9)
式中:σu为残余应力;σp为峰值应力。
结合式(2)、式(8)和式(9)可得基于红外辐射温度积累量的煤岩损伤模型:
(10)
利用式(8)、式(9)对图2中最高红外辐射温度积累量进行归一化处理,得到基于最高红外辐射温度积累量的损伤-应变曲线,如图3所示。

(a) 第1组试样

(b) 第2组试样
图3 煤岩损伤-应变曲线
Fig.3 Damage-strain curve of coal-rock
由图3可看出,在单轴压缩条件下,煤岩受载损伤演化过程可分为3个阶段。
(1) 第1阶段:损伤萌生发展阶段。该阶段损伤变量平稳上升,处于压密阶段及弹性阶段前期。该阶段试样内部微裂隙、微孔隙逐渐破裂闭合,试样发生轻微变形,裂隙、孔隙的破裂面发生轻微错动摩擦,产生少量热量,同时试样内部气体因微裂隙、微孔隙闭合而被挤出,带走部分热量,最高红外辐射温度出现缓慢下降趋势且红外辐射温度变化量很小,所以该阶段损伤变量增量较小,损伤-应变曲线表现为平稳上升。
(2) 第2阶段:损伤加速阶段。该阶段损伤变量加速上升,处于弹性阶段中后期及塑性阶段。该阶段试样出现热弹效应,最高红外辐射温度开始升高;试样变形加速,试样内部产生大量微破裂,在载荷的作用下开始扩展、连接,从而形成裂纹,剪切裂纹产生热量,张拉裂纹吸收热量,最高红外辐射温度曲线出现上升-下降-上升的波动现象,红外辐射温度变化量逐渐增大,所以该阶段损伤变量增量逐渐变大,损伤-应变曲线表现为加速上升。
(3) 第3阶段:损伤破坏阶段。该阶段损伤变量急剧上升,达到损伤临界值,处于破裂及其发展阶段。该阶段试样达到承载极限,原生裂纹进一步发展,新生裂纹大量产生,并迅速丛集于主破裂,导致试样失稳破坏,破裂面之间产生剧烈的错动摩擦,产生大量高温点,最高红外辐射温度曲线发生突增并达到最大值,所以该阶段损伤变量增量急剧增大,损伤-应变曲线表现为急剧上升。
由煤岩的红外辐射温度损伤演化过程可知,煤岩的损伤演化过程就是裂隙缺陷产生、发展、破坏的过程。以最高红外辐射温度为表征参数对煤岩损伤演化进行分析,能够很好地得出煤岩在单轴压缩条件下裂隙缺陷产生、发展和破坏的演化过程。
利用式(10)可得基于最高红外辐射温度积累量的计算应力和实测应力对应关系,如图4所示。计算应力与实测应力的相关性见表1。由表1可看出,试样计算应力和实测应力在各个阶段的相关性系数达0.65以上,呈显著相关,整体相关性系数达0.8以上,呈高度相关,所以基于最高红外辐射温度积累量的计算应力和实测应力达到显著相关水平,计算应力能够很好地反映煤岩破坏过程中的实测应力。由图4可看出,计算应力-应变曲线峰值超前于实测应力-应变曲线峰值,为煤岩动力灾害的监测预警提供了一种新思路和方法。

(a) 第1组试样

(b) 第2组试样
图4 煤岩计算应力和实测应力对应关系
Fig.4 Relationship between calculated stress and measured stress of coal-rock
表1 煤岩计算应力与实测应力的相关性
Table1 Correlation between calculated stress and measured stress of coal-rock

为研究基于红外辐射的煤岩损伤演化特征,对煤岩进行了单轴压缩实验,分析了煤岩破坏过程中红外辐射特征,并根据损伤力学及最高红外辐射温度和变形之间的关系建立了煤岩损伤模型。研究结果表明:
(1) 煤岩受载最高红外辐射温度-时间曲线与载荷-时间曲线有很好的对应关系,在煤岩不同变形破坏阶段表现出了不同的红外辐射特征,最高红外辐射温度能够反映煤岩受载破坏情况。
(2) 基于最高红外辐射温度积累量的煤岩损伤演化过程一般可分为3个阶段:损伤萌生发展阶段、损伤加速阶段和损伤破坏阶段。以最高红外辐射温度为表征参数的煤岩损伤演化模型能够很好地反映煤岩在单轴压缩条件下裂隙缺陷产生、发展和破坏的演化过程。
(3) 基于最高红外辐射温度积累量的计算应力和实测应力的整体相关性系数达0.8以上,呈高度相关,计算应力能够很好地反映煤岩破坏过程中的实测应力;基于最高红外辐射温度积累量的计算应力-应变曲线峰值超前于实测应力-应变曲线峰值,为煤岩动力灾害的监测预警提供了一种新思路和方法。
参考文献(References):
[1] 钱鸣高,石平五.矿山压力与岩层控制[M].徐州:中国矿业大学出版社,2004.
[2] 姜耀东,潘一山,姜福兴,等.我国煤炭开采中的冲击地压机理和防治[J].煤炭学报,2014,39(2):205-213.
JIANG Yaodong,PAN Yishan,JIANG Fuxing,et al.State of the art review on mechanism and prevention of coal bumps in China[J].Journal of China Coal Society,2014,39(2):205-213.
[3] 吴立新,王金庄.煤岩受压红外热象与辐射温度特征实验[J].中国科学(D辑),1998(1):41-46.
[4] ENOMOTO Y,SHIMAMOTO T,TSUTUMI A,et al.Rapid electric charge fluctuation prior to rock fracturing:its potential use for an immediate earthquake precursor[C]// Proceedings of International Workshop on Electromagnetic Phenomena Related to Earthquake Prediction,Tokyo,1993:64-65.
[5] 娄全,李忠辉,李爱国,等.混凝土变形破坏的红外辐射特征研究[J].工矿自动化,2015,41(7):44-48.
LOU Quan,LI Zhonghui,LI Aiguo,et al.Research of infrared radiation characteristics of concrete deformation and failure[J].Industry and Mine Automation,2015,41(7):44-48.
[6] CHEN S Y,LIU L Q,LIU P X,et al.Theoretical and experimental study on relationship between stress-strain and temperature variation[J].Science in China Series D:Earth Sciences,2009,52(11):1825-1834.
[7] TAN Z H,TANG C A,ZHU W C.Infrared thermal image study on failure of granite with hole[J].Key Engineering Materials,2007,353:2313-2316.
[8] LIU P X,MA J,LIU L Q,et al.An experimental study on variation of thermal fields during the deformation of a compressive en echelon fault set[J].Progress in Natural Science,2007,17(3):298-304.
[9] 李忠辉,娄全,王恩元,等.顶板岩石受压破坏过程中声电热效应研究[J].中国矿业大学学报,2016,45(6):1098-1103.
LI Zhonghui,LOU Quan,WANG Enyuan,et al.Experimental study of acoustic-electric and thermal infrared characteristics of roof rock failure[J].Journal of China University of Mining & Technology,2016,45(6):1098-1103.
[10] 徐子杰,齐庆新,李宏艳,等.冲击倾向性煤体加载破坏的红外辐射特征研究[J].中国安全科学学报,2013,23(10):121-125.
XU Zijie,QI Qingxin,LI Hongyan,et al.Research on infrared radiation characteristics of outburst proneness coal's failure by loading[J].China Safety Science Journal,2013,23(10):121-125.
[11] 杨桢,齐庆杰,叶丹丹,等.复合煤岩受载破裂内部红外辐射温度变化规律[J].煤炭学报,2016,41(3):618-624.
YANG Zhen,QI Qingjie,YE Dandan,et al.Variation of internal infrared radiation temperature of composite coal-rock fractured under load[J].Journal of China Coal Society,2016,41(3):618-624.
[12] 马立强,李奇奇,曹新奇,等.煤岩受压过程中内部红外辐射温度变化特征研究[J].中国矿业大学学报,2013,42(3):331-336.
MA Liqiang,LI Qiqi,CAO Xinqi,et al.Variation characteristics of internal infrared radiation temperature of coal-rock mass in compression process[J].Journal of China University of Mining & Technology,2013,42(3):331-336.
[13] 唐春安.岩石破裂过程中的灾变[M].北京:煤炭工业出版社,1993.
[14] 殷山,李忠辉,钮月,等.煤岩受载损伤演化电位特征实验研究[J].煤炭学报,2017,42(增刊1):97-103.
YIN Shan,LI Zhonghui,NIU Yue,et al.Experimental study on the characteristics of potential for coal rock evolution under loading[J].Journal of China Coal Society,2017,42(S1):97-103.
[15] 钮月,李忠辉,王红浩,等.含瓦斯煤受载损伤演化声发射特性实验研究[J].工矿自动化,2016,42(6):37-41.
NIU Yue,LI Zhonghui,WANG Honghao,et al.Experimental study on characteristics of acoustic emission for coal containing gas damaged evolution under loading[J].Industry and Mine Automation,2016,42(6):37-41.
[16] 杨永杰,王德超,郭明福,等.基于三轴压缩声发射试验的岩石损伤特征研究[J].岩石力学与工程学报,2014,33(1):98-104.
YANG Yongjie,WANG Dechao,GUO Mingfu,et al.Study of rock damage characteristics based on acoustic emission tests under triaxial compression[J].Chinese Journal of Rock Mechanics and Engineering,2014,33(1):98-104.
[17] 王云飞,黄正均,崔芳,等.煤岩破坏过程的细观力学损伤演化机制[J].煤炭学报,2014,39(12):2390-2396.
WANG Yunfei,HUANG Zhengjun,CUI Fang,et al.Damage evolution mechanism in the failure process of coal rock based on mesomechanics[J].Journal of China Coal Society,2014,39(12):2390-2396.
[18] 刘保县,黄敬林,王泽云,等.单轴压缩煤岩损伤演化及声发射特性研究[J].岩石力学与工程学报,2009,28(增刊1):3234-3238.
LIU Baoxian,HUANG Jinglin,WANG Zeyun,et al.Study on damage evolution and acoustic emission character of coal-rock under uniaxial compression[J].Chinese Journal of Rock Mechanics and Engineering,2009,28(S1):3234-3238.
[19] 魏明尧,王春光,崔光磊,等.损伤和剪胀效应对裂隙煤体渗透率演化规律的影响研究[J].岩土力学,2016,37(2):574-582.
WEI Mingyao,WANG Chunguang,CUI Guanglei,et al.Influences of damage and shear dilation on permeability evolution of fractured coal[J].Rock and Soil Mechanics,2016,37(2):574-582.
[20] 张艳博,刘善军.含孔岩石加载过程的热辐射温度场变化特征[J].岩土力学,2011,32(4):1013-1017.
ZHANG Yanbo,LIU Shanjun.Thermal radiation temperature field variation of hole rock in loading process[J].Rock and Soil Mechanics,2011,32(4):1013-1017.
[21] KACHANOV L M.Time of the rupture process under creep conditions[J].Izv Akad Nauk S S R Otd Tech Nauk,1958,8:26-31.
[22] 曹文贵,赵明华,刘成学.基于Weibull分布的岩石损伤软化模型及其修正方法研究[J].岩石力学与工程学报,2004,23(19):3226-3231.
CAO Wengui,ZHAO Minghua,LIU Chengxue.Study on the model and its modifying method for rock softening and damage based on Weibull random distribution[J].Chinese Journal of Rock Mechanics and Engineering,2004,23(19):3226-3231.
[23] OHTSU M.Acoustic emission characteristics in concrete and diagnostic application [J].Acoustic Emission,1987,6(2):99-108.
CHENG Fuqi1,2, LI Zhonghui1,2,3, WEI Yang1,2, YIN Shan1,2, LIU Shuaijie1,2, KONG Yanhui1,2
(1.Key Laboratory of Gas and Fire Control for Coal Mines,China University of Mining and Technology,Xuzhou 221116,China; 2.School of Safety Engineering,China University of Mining and Technology,Xuzhou 221116,China; 3.State Key Laboratory of Coal Resources and Safe Mining,China University of Mining and Technology,Xuzhou 221116,China)
Abstract:In order to quantitatively study evolution law between temperater parameter of infrared radiation and coal-rock damage law under uniaxial compression,temperature data of infrared radiation during coal-rock failure process was collected and analyzed. A coal-rock damage model was established according to damage mechanics theory,so as to obtain relationship between the maximum infrared radiation temperature (MIRT) and coal-rock damage. The results show that: ① The MIRT-time curve has a good correspondence with load-time curve of the coal-rock under loading,and the MIRT can reflect the damage of coal-rock under loading. ② The coal-rock damage model based on infrared radiation temperature accumulation can well reflect evolution,development and failure of cracks in the coal-rock under uniaxial compression. ③ The correlation coefficient between calculated stress based on MIRT accumulation and measured stress is more than 0.8,which is highly correlated,and peak of the calculated stress-strain curve is ahead of the one of the measured stress-strain curve.
Key words:coal-rock dynamic disaster; coal-rock monitoring and pre-alarming; coal-rock failure under loading; coal-rock deformation; coal-rock damage evolution; uniaxial compression; infrared radiation; the maximum infrared radiation temperature
文章编号:1671-251X(2018)05-0064-07
DOI:10.13272/j.issn.1671-251x.2017110064
中图分类号:TD713
文献标志码:A
网络出版地址:http://kns.cnki.net/kcms/detail/32.1627.TP.20180403.1712.005.html
收稿日期:2017-11-29;
修回日期:2018-03-23;
责任编辑:李明。
基金项目:国家重点研发计划资助项目(2016YFC0801404);国家自然科学基金资助项目(51674254);中国矿业大学煤炭资源与安全开采国家重点实验室自主研究课题资助项目(SKLCRSM15X03)。
作者简介:程富起(1992-),男,山东菏泽人,硕士研究生,研究方向为煤岩动力灾害监测预警技术,E-mail:499263267@qq.com。
引用格式:程富起,李忠辉,魏洋,等.基于单轴压缩红外辐射的煤岩损伤演化特征[J].工矿自动化,2018,44(5):64-70.
CHENG Fuqi,LI Zhonghui,WEI Yang,et al.Coal-rock damage evolution characteristics based on infrared radiation under uniaxial compression[J].Industry and Mine Automation,2018,44(5):64-70.