胡韶华1,谷振宇2,金迪文2
(1.重庆工程职业技术学院 电气工程学院,重庆 402260;2.重庆大学 自动化学院,重庆 400030)
摘要:针对现有基于谱分析的轴流通风机故障诊断方法只将故障类型和频谱特征值进行简单关联而导致诊断效果较差的问题,提出了一种基于矢椭谱和隐Markov模型的轴流通风机故障诊断方法。该方法首先将轴流通风机同一截面内互相垂直的2个振动信号在时域上直接融合为复信号,并对该复信号进行快速Fourier变换,获得多个特征频率下振动信号的全谱幅值;然后用不同故障状态下振动信号的全谱幅值训练隐Markov模型;最后以实时振动信号的全谱幅值作为隐Markov模型输入量,采用Viterbi算法计算隐Markov模型输出的似然概率,根据最大似然概率对数判断故障类型,避免了将振动幅值和故障类型进行简单关联。试验结果表明,该方法的故障诊断正确率达90%以上。
关键词:轴流通风机;故障诊断;故障识别;振动信号;特征频率;矢椭谱;隐Markov模型
轴流通风机广泛用于矿井通风、排尘、冷却等[1-2],其出现故障时可能会引发连锁反应,严重时将导致矿井生产系统无法正常运行,造成巨大经济损失[3-4]。因此,对轴流通风机进行故障诊断对矿井安全生产具有重要意义。现有的机械故障诊断方法通常采用谱分析技术,将时域信号通过Fourier变换得到频谱特征值(幅值、相位),然后将频谱特征值与故障类型进行关联和映射[5]。早期基于Fourier变换的故障诊断方法只针对单个传感器数据进行分析,即采用单个方向的振动信号进行故障分析,无法全面展示同一截面内互相垂直的振动信号[6-7]。为了获得更全面的振动信息,D. E. Bently等[8]、孟宗等[9]、韩捷等[10]对互相垂直的振动信号进行合成,形成了全谱、全息谱、矢量谱等故障诊断方法,但这些方法都是分别对竖直和水平方向的振动信号进行快速Fourier变换(Fast Fourier Transform,FFT),然后在频域内合成全谱、全息谱,矢量谱等,计算量较大。杨彦利等[11]提出了矢椭谱技术,在时域内对1对互相垂直的振动信号直接合成复信号,对其进行1次FFT即可得到全谱、全息谱、矢量谱等,并从理论上证明了矢椭谱与全谱、全息谱、矢量谱等技术完全等价。虽然矢椭谱在较大程度上解决了计算量大的问题,但仍采用故障类型和频谱特征值直接关联的方法进行故障诊断[11]。由于轴流通风机结构较复杂,振动信号频谱特征值受机械结构的影响较大,难以量化,且故障类型和频谱特征值无法简单地一一对应,所以矢椭谱诊断效果也不理想。隐Markov模型(Hidden Markov Model,HMM)作为一种具有自我学习和推理功能的方法,已广泛应用于语音识别领域,具有较高的识别率。机械振动信号与语音信号十分相似,因此HMM逐步应用于机械设备故障诊断中,并取得了良好的效果[12-13]。本文综合利用矢椭谱计算量小及HMM推理能力强的优点,提出一种基于矢椭谱和HMM的轴流通风机故障诊断方法,并通过试验验证了该方法的有效性。
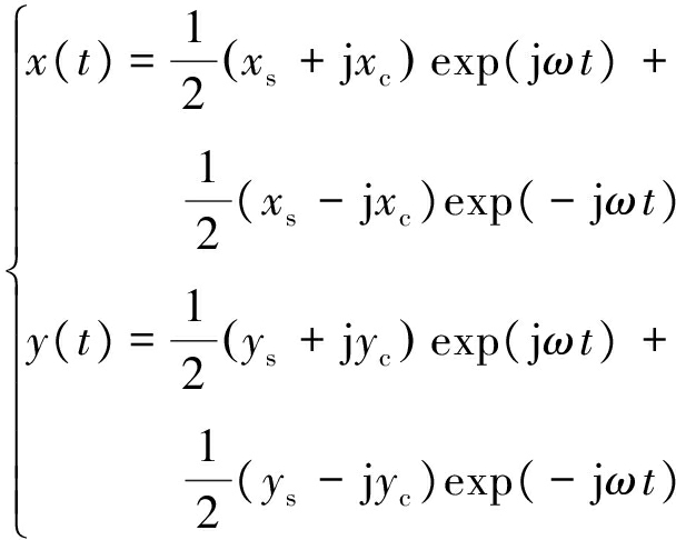
矢椭谱故障诊断方法将t时刻轴流通风机转子水平方向振动信号x(t)和竖直方向振动信号y(t),在时域内合成为复信号z(t)=x(t)+jy(t),然后对复信号z(t)进行Fourier变换,得到不对称双边谱或轴心轨迹等特征量,进而对轴流通风机进行故障诊断[11]。为便于阐述原理且不失一般性,将轴流通风机转子水平方向和竖直方向的振动视为简谐振动,即
(1)
式中:a,b分别为转子中心在水平、竖直方向的振动信号幅值;ω为振动角频率;α,β分别为水平、竖直方向上的振动信号相位。
将式(1)展开为三角函数形式:
(2)
式中:xs=acosα;xc=asinα;ys=bcosα;yc=bsinα。
将
代入式(2),可得

(3)
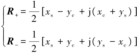
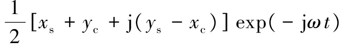
根据式(3)合成复信号z(t)=x(t)+jy(t),展开可得
z(t)=
[xs-yc+j(xc+ys)]exp(jωt)+
(4)
对式(4)进行1次Fourier变换,可得旋转矢量[11]:

(5)
式中R+,R-分别为正向、反向旋转矢量。
设r+,r-分别为R+,R-的模,即双边谱的谱线长度,根据r+,r-画出双边谱、二维全息谱、轴心轨迹等,用于机械故障诊断[11]。
在实际进行机械故障诊断时,通常对实时振动信号序列进行FFT,基本步骤:① 获取转子同一截面内互相垂直的振动信号x(t),y(t),分别构成长度为L的离散序列{xl},{yl}(l=0,1,…,L-1),由这2个信号构成长度为L的复信号序列{zl}={xl}+j{yl};② 对{zl}进行1次FFT,得到其离散Fourier变换形式:
Zl=FFT({xl}+j{yl})
(6)
根据式(6)得到各频率下的幅值:

(7)
式中:R+k,R-k分别为第
条谱线的正向、反向旋转矢量;r+k,r-k分别为R+k,R-k的模;|Zk|为第k条谱线的幅值。
通过式(7)可以绘制正负频率上的所有谱线,从而得到全谱图。比较某些特征频率下的幅值,可以快速、直观地对相应特征频率的典型故障进行分析。
HMM[14]可以由下列参数进行描述:
N:模型中Markov链的状态数。设N个Markov链状态为θ1,θ2,…,θN,t时刻Markov链所处状态为qt,qt∈(θ1,θ2,…,θN)。这些状态在任意时刻都是无法直接观察的,与实际物理状态或状态集合有关。
M:每个状态对应的可能的观测值数量。设M个观测值为v1,v2,…,vM,t时刻观测值为ot,ot∈(v1,v2,…,vM)。
π:初始概率分布矢量,π=[π1 π2…πN],πi(i=1,2,…,N)为Markov链从某一状态θi开始的概率,即初始概率,πi=P(qt=θi),P(·)为概率函数。
A:状态转移概率矩阵,即Markov链从一个状态转移到另一个状态的概率,A=(cij)N×N,cij=P(qt+1=θj|qt=θi),j=1,2,…,N。
B:观测值概率矩阵,B=(djm)N×M,djm=P(ot=vm|qt=θj),m=1,2,…,M。
根据上述参数,可将HMM记为λ=(N,M,π,A,B),简写为λ=(π,A,B)。HMM分为2个部分:Markov链,由π,A来描述,产生的输出为状态序列q1,q2,…,qT,T为输出状态个数,T=1,2,…,N;随机过程,由B来描述,产生的输出为观测值序列o1,o2,…,oT。
矢椭谱具有信号处理简单、计算量小的优点,但需要将故障类型和故障信号频谱特征值关联。在实际故障诊断中,很多故障类型和频谱特征值并不是简单的一一对应关系,如不平衡和热弯曲故障状态下的振动幅值在1×(×表示倍频)处有异常,不对中故障状态下的振动幅值在2×处有异常,基础松动故障状态下的振动幅值在1×,2×等处有异常,油膜涡动、内腔积液、转子内阻故障状态下的振动幅值在0.5×处有异常。因此,将频谱特征值与故障类型进行简单关联的矢椭谱故障诊断方法效果不理想。本文提出一种基于矢椭谱和HMM的故障诊断方法。首先将1对正交振动信号直接合成为复信号,用矢椭谱方法获取全谱(正负特征频率的幅值谱),并用幅值谱归一化值组成特征矩阵,作为HMM输入变量;通过故障试验样本数据训练获得HMM;采用Viterbi算法求取各种故障的似然概率[15],用其确定振动信号和故障类型间的对应关系,实现故障诊断。该方法可分为HMM训练和决策分类2个部分,如图1所示。

图1 基于矢椭谱和HMM的故障诊断流程
Fig.1 Fault diagnosis process based on vector ellipsoid spectrum and HMM
(1) HMM训练。首先采用振动信号有效值对是否有故障进行定性判断。如果有故障发生,则对振动信号进行处理,包括合成复信号、进行FFT、提取故障特征值。其中故障特征值采用矢椭谱方法求解全谱。轴流通风机常见故障主要有不平衡、不对中、轴承座及基础松动(以下简称松动)、碰磨这4种,其故障特征频率主要有±0.5×,±1×,±2×,±3×。因此,采用±0.5×,±1×,±2×,±3×频率处的振动信号幅值作为HMM输入量。为便于比较,对所有特征值进行归一化处理。HMM输出不平衡、不对中、松动、碰磨这4种故障类型。
(2) 决策分类。对HMM状态进行评估,即确认异常振动是由哪种故障引起的概率最大(确定隐态)。决策分类的核心是对隐态进行估计并得到最优状态,可用Viterbi算法求解最优状态序列[15]。采用HMM输出的似然概率对数判断故障类型,即最大似然概率对数对应的故障类型最可能发生。
轴流通风机故障诊断试验装置主要包括矿用/隧道轴流式对(双)旋通风机、加速度传感器和振动信号采集装置,如图2所示。选用SDF-4型轴流式对旋通风机,其额定电压为380 V,双电动机功率为2×2.2 kW、转速为2 900 r/min,风量为72~136 m3/min,风压为251~2 156 Pa;选用NICDAQ9174型振动信号采集箱、NI9234型振动信号采集卡(采样率达51.2 kSamples/s);选用NI780985-01型加速度传感器。

(a) 轴流通风机

(b) 振动信号采集装置
图2 试验装置
Fig.2 Experimental device
将加速度传感器安装在通风机外壳的顶部和水平侧面,同步采集互相垂直的加速度振动信号。试验过程如下。
(1) 通风机日常工作状态下采集振动信号。启动通风机,待其稳定运行(转速保持在2 900 r/min左右)时,以1 kHz的频率对振动信号进行连续采样。以采集1 024个点作为1个采样周期,每8个周期数据构成1个采样样本。为保证数据采集的可靠性,从试验开始到结束,至少连续采集100组样本。该过程至少重复3次,从采集的全部数据中随机抽取100组,作为通风机日常工作状态下的采样数据。判断该数据有效值是否超标,没有超标则不进行故障诊断,若超标则采用本文方法判断故障类型。因本文采集的日常工作数据均不超标,所以不进行处理。
(2) 通风机模拟故障状态下采集振动信号。模拟通风机不平衡、不对中、松动、碰磨这4类故障,在每种故障状态下采集振动信号,采集过程和方法与日常工作状态下相同。每次试验至少采集100组样本,每种故障状态下的振动信号采集3次。从采集的全部数据中随机抽取100组,作为通风机模拟故障状态下的采样数据。
由于在试验过程中存在干扰或其他噪声,所以每组采样数据并不一致。为了提高HMM的泛化能力,从100组故障数据中随机挑选出90组,用其全谱的幅值谱构成HMM输入矩阵,另外10组数据作为验证样本,不参与训练。分别将4种故障振动信号在±0.5×,±1×,±2×,±3×这8个频率处的幅值进行归一化,得到360组数据,见表1。其中1~90号为不平衡故障数据,91~180号为不对中故障数据,181~270号为松动故障数据,271~360号为碰磨故障数据。
表1 故障振动信号在特征频率处的归一化幅值
Table 1 Normalized amplitudes of fault vibration signals at characteristic frequency points

根据表1得到HMM输入矩阵:

(8)
概率分布采用4状态左右型Markov链进行初始化。HMM初始概率分布为π=[1 0 0 0],观测值概率矩阵为

(9)
将设置的初始条件及Q作为HMM输入量,由Viterbi算法自动计算输出似然概率(最大迭代步数为30,收敛误差为0.001)。试验得到的不平衡、不对中、松动、碰磨故障及日常工作状态的HMM训练曲线如图3所示。可看出HMM输出的各状态下似然概率对数在大约20步后趋于平稳,表明模型是收敛的,说明训练HMM成功。
采用4种通风机故障数据试验样本的全谱幅值作为HMM输入量,对基于矢椭谱和HMM的轴流通风机故障诊断方法进行验证。不同故障状态下HMM输出似然概率对数曲线如图4所示,故障诊断结果见表2。可看出不平衡故障诊断正确率为90%,其中1次被诊断为不对中;不对中故障诊断正确率为100%;松动故障诊断正确率为90%,有1次被诊断为不平衡;碰磨故障诊断正确率为90%,有1次被诊断为不对中。试验结果验证了该方法具有较高的故障识别率。

图3 不同状态下HMM训练曲线
Fig.3 HMM training curves under different states

(a) 不平衡故障下HMM输出似然概率对数

(b) 不对中故障下HMM输出似然概率对数

(c) 松动故障下HMM输出似然概率对数

(d) 碰磨故障下HMM输出似然概率对数
图4 不同故障状态下HMM输出似然概率对数曲线
Fig.4 Logarithm curve of likelihood probability outputted by HMM under different fault conditions
表2 故障诊断结果
Table 2 Fault diagnosis results

基于矢椭谱和HMM的轴流通风机故障诊断方法采用矢椭谱技术快速处理互相垂直的2个振动信号,得到表征故障的振动信号全谱幅值,计算量小,同时利用HMM自我学习和推理的能力,通过计算最大似然概率对数判断故障类型,避免了将振动幅值和故障类型进行简单关联。试验结果表明,该方法可实现轴流通风机常见故障的快速诊断,故障诊断正确率达90%以上。为进一步提高故障诊断正确率,需要采集更多故障数据用于HMM学习或扩展矢椭谱的特征频率数量。
参考文献(References):
[1] 汪义鹏,张树江,阚哲.矿井主要通风机远程安全监测方案[J].煤矿安全,2016,47(8):101-102.
WANG Yipeng,ZHANG Shujiang,KAN Zhe.Remote safety monitoring for mine main fan[J].Safety in Coal Mines,2016,47(8):101-102.
[2] 王颖.基于振动信号地铁轴流风机的故障诊断分析[J].风机技术,2017,59(增刊1):49-53.
WANG Ying.Fault diagnosis of subway axial fan based on vibration signal[J].Chinese Journal of Turbomachinery,2017,59(S1):49-53.
[3] 王浩宇,陈颖,缪燕子,等.一种矿井主要通风机故障诊断系统[J].工矿自动化,2017,43(6):69-71.
WANG Haoyu,CHEN Ying,MIAO Yaozi,et al.A fault diagnosis system of mine main ventilator[J].Industry and Mine Automation,2017,43(6):69-71.
[4] 刘朴,付胜.嵌入式矿井通风机在线监测与故障诊断系统设计[J].工矿自动化,2013,39(12):103-106.
LIU Pu,FU Sheng.Design of embedded online monitoring and fault diagnosis system of mine ventilator[J].Industry and Mine Automation,2013,39(12):103-106.
[5] 雷亚国,贾峰,孔德同,等.大数据下机械智能故障诊断的机遇与挑战[J].机械工程学报,2018,54(5):94-104.
LEI Yaguo,JIA Feng,KONG Detong,et al.Opportunities and challenges of machinery intelligent fault diagnosis in big data[J].Journal of Mechanical Engineering,2018,54(5):94-104.
[6] 屈梁生,史东锋.全息谱十年:回顾与展望[J].振动、测试与诊断,1998,18(4):235-242.
QU Liangsheng,SHI Dongfeng.Holospectrum during the past decade: review & prospect[J].Journal of Vibration,Measurement & Diagnosis,1998,18(4):235-242.
[7] 汪华平,汤宝平,韩延,等.FT细化校正阶次全息谱分析方法[J].振动与冲击,2014,33(10):68-72.
WANG Huaping,TANG Baoping,HAN Yan,et al.Order holospectrum analysis based on FT zoom correction[J].Journal of Vibration and Shock,2014,33(10):68-72.
[8] BENTLY D E,HARCH C T.Fundamentals of rotating machinery diagnostics[M].Minden:Bently Pressurized Bearing Co.,2002.
[9] 孟宗,闫晓丽,王亚超.基于LMD和HMM的旋转机械故障诊断[J].中国机械工程,2014,25(21):2942-2946.
MENG Zong,YAN Xiaoli,WANG Yachao.Fault diagnosis of rotating machinery based on LMD and HMM[J].China Mechanical Engineering,2014,25(21):2942-2946.
[10] 韩捷,张瑞林.旋转机械故障机理及诊断技术[M].北京:机械工业出版社,1997.
[11] 杨彦利,苗长云,伉大俪.基于椭圆Fourier描述子的旋转机械振动信号分析[J].机械工程学报,2012,48(13):102-107.
YANG Yanli,MIAO Changyun,KANG Dali.Analysis on vibration signals of rotating machinery based on elliptic Fourier descriptors[J].Journal of Mechanical Engineering,2012,48(13):102-107.
[12] 周云龙,李洪伟,孙斌,等.基于现代信号处理技术的泵与风机故障诊断原理及其应用[M].北京:科学出版社,2014.
[13] 李志农,柳宝,侯娟.基于无限隐Markov模型的旋转机械故障诊断方法研究[J].仪器仪表学报,2016,37(10):2185-2192.
LI Zhinong,LIU Bao,HOU Juan.Research on rotating machinery fault diagnosis method based on infinite hidden Markov model[J].Chinese Journal of Scientific Instrument,2016,37(10):2185-2192.
[14] RABINER L R. A tutorial on hidden Markov models and selected application in speech recognition[J].Proceedings of IEEE,1989,77(2):257-286.
[15] 徐宏武.基于隐马尔科夫模型的轴承故障诊断方法研究[D].昆明:昆明理工大学,2016.
HU Shaohua1, GU Zhenyu2, JIN Diwen2
(1.School of Electrical Engineering,Chongqing Vocational Institute of Engineering,Chongqing 402260,China; 2.School of Automation,Chongqing University,Chongqing 400030,China)
Abstract:For poor diagnosis effect of existing fault diagnosis methods for axial flow fan based on spectrum analysis which correlated fault type with spectrum characteristic value simply,a fault diagnosis method for axial flow fan based on vector ellipsoid spectrum and hidden Markov model (HMM) was proposed. Firstly,two orthogonal vibration signals of axial flow fan in the same section are fused into a complex signal in time domain,and full-spectrum amplitudes of the vibration signals under multi characteristic frequencies are obtained by fast Fourier transform of the complex signal. Secondly,the full-spectrum amplitudes under different fault conditions are used to train HMM. Finally,full-spectrum amplitudes of real-time vibration signals are as input of HMM,and Viterbi algorithm is used to calculate likelihood probability outputted by HMM. Fault type is judged according to the maximum logarithm value of the likelihood probability,which avoids simple association between the vibration amplitude and fault type. The experimental result shows that correct rate of fault diagnosis of the method is above 90%.
Key words:axial flow fan; fault diagnosis; fault identification; vibration signal; characteristic frequency; vector ellipsoid spectrum; hidden Markov model
文章编号:1671-251X(2018)05-0058-06
DOI:10.13272/j.issn.1671-251x.2017100023
中图分类号:TD635
文献标志码:A
网络出版地址:http://kns.cnki.net/kcms/detail/32.1627.TP.20180428.0859.001.html
收稿日期:2017-10-16;
修回日期:2018-04-20;
责任编辑:李明。
基金项目:重庆市教委科研项目(KJ1603205);重庆工程职业技术学院科研重点项目(KJA2015-01)。
作者简介:胡韶华(1979-),男,四川达州人,副教授,高级工程师,博士,研究方向为机械故障诊断,E-mail:285465656@qq.com。
引用格式:胡韶华,谷振宇,金迪文.一种轴流通风机故障诊断方法[J].工矿自动化,2018,44(5):58-63.
HU Shaohua,GU Zhenyu,JIN Diwen.A fault diagnosis method for axial flow fan[J].Industry and Mine Automation,2018,44(5):58-63.