万志强1,曹鹏刚1,宋建成2,3,雷志鹏2,3
(1.中国能源建设集团 山西省电力勘测设计院有限公司,山西 太原 030001;2.太原理工大学 矿用智能电器技术国家地方联合工程实验室,山西 太原 030024;3.太原理工大学 煤矿电气设备与智能控制山西省重点实验室,山西 太原 030024)
摘要:为了分析矿用隔爆型干式变压器绕组绝缘层中的气隙或杂质等缺陷对绕组温升的影响,以一台连续式绕组1 000 kVA/10 kV矿用干式变压器作为研究对象,介绍了矿用干式变压器绕组匝间及层间绝缘结构;借助红外摄像仪对不同放电类型和不同老化温度下试样的温升特性曲线进行类比分析,得出以Nomex绝缘纸为绝缘层的干式变压器匝间放电及层间放电与温度之间的关系;运用传热学原理并结合绝缘材料特性进行数值计算及分析,得出矿用干式变压器匝间放电对绕组发热过程的影响,为变压器内部热点温度的定位及局部放电点的准确定位提供了理论依据。
关键词:隔爆型干式变压器;绕组绝缘;局部放电;匝间放电;层间放电;温升特性
矿用隔爆型干式变压器(以下简称干式变压器)在运行中要经受电、热、机械、环境等应力影响,其中热应力是引起变压器绕组绝缘老化的主要因素。因此,相关标准中对干式变压器绝缘系统的额定允许温升限值作了明确规定[1]。GB 8286—2005 《矿用隔爆型移动变电站》规定,对于耐热等级为F(155 ℃)和H(180 ℃)的绕组匝间绝缘(Nomex绝缘纸)和层间绝缘(聚酰亚胺薄膜),其允许温升限值分别为100 ℃和125 ℃。如果温升超过限值将会造成绝缘老化加速,原始故障缺陷凸显。随着变压器使用年限的增加,其热点部位老化加剧,加之绕组生产过程中工艺等原因,在绝缘层或者绝缘漆中可能存在气隙或杂质,在电、热和机械力的综合作用下,势必会产生局部放电现象,造成绝缘劣化。气隙内气体的局部放电属于流注状高气压辉光放电,大量带电粒子高速撞击绝缘层,从而破坏绝缘结构,造成Nomex绝缘纸再次劣化,最终造成绝缘层贯穿,形成短路[2-3]。
国内外研究者在变压器温度场热点温升计算、修正热路模型使用、有限元模型改进、外界因素对温度场的影响等方面进行了深入分析,得出大型油浸式变压器及非包封式干式变压器稳定运行时的温度场分布,并提出了很多可行思路[3-4]。但这些研究均是针对地面用电力变压器稳定运行时的温度分布,地面用变压器与干式变压器的绝缘型式有很大程度的不同,且运行环境有所区别。对密闭环境中干式变压器绕组温升原因的研究很少,尤其是整个温度场对绝缘老化加深等深层次影响,以及匝间和层间局部放电对干式变压器绕组温升的影响等。
本文以一台连续式绕组、以Nomex绝缘纸及聚酰亚胺薄膜为主要绝缘材料的1 000 kVA/10 kV干式变压器为原型,深入研究了变压器运行过程中发生匝间及层间放电时的发热量;模拟干式变压器绕组匝间和层间绝缘,借助红外摄像仪对含有模拟缺陷的匝间及层间绝缘模型进行实验分析[6-7],研究局部放电造成的升温积聚对整个温度场的影响;对不同放电类型和不同老化温度下试样的温升曲线进行对比分析,总结出变压器匝间及层间放电与温度的关系,得出局部放电对绕组发热过程的影响。
据统计,因绝缘故障引起的事故约占变压器全部事故的85%以上。因此,绝缘结构的寿命对干式变压器的寿命长短起决定性作用。
干式变压器的绝缘主要有树脂浇注型绝缘和浸渍式非包封绝缘两种。本文主要研究的是10 kV浸渍式非包封绝缘干式变压器,即任何线圈均没有用固体绝缘包封的干式变压器,如图1所示。这种干式变压器的绕组采用无氧铜导线作导体,外部缠绕3层T410型耐热等级为H级的Nomex绝缘纸作为匝间绝缘,层间绕双层聚酰亚胺薄膜作为层间绝缘,然后将绕制好的绕组在VPI真空压力设备中使用无溶剂H级绝缘漆进行真空浸渍和高温固化[8]。

图1 浸渍式非包封绝缘干式变压器
Fig.1 Impregnated non-encapsulated insulation dry-type transformer
干式变压器绕组截面如图2所示,由高低压绕组之间撑条形成气道,撑条内外均由有机漆薄板构成。从图2可以看出,与低压绕组相邻的层之间有电木撑条支撑,其间形成的气道可以起到良好的散热作用[9]。但是高压绕组层间没有气道,热量只能通过绕组由内向外逐层传递。另外,干式变压器处于密闭的防爆外壳中,散热方式为辐射散热,又降低了高压绕组的散热速度[10]。除正常运行过程中铁耗、铜耗产热之外,绕组中的局部放电也会引起绕组发热,从而加大了绕组散热的难度。本文主要模拟运行中干式变压器高压绕组绝缘结构,研究由绕组局部放电引起的高压绕组温升现象。干式变压器高压绕组结构如图3所示。

图2 10 kV干式变压器绕组截面
Fig.2 Cross-section of winding of 10 kV dry-type transformer

图3 干式变压器高压绕组结构
Fig.3 Structure of high voltage winding of dry-type transformer
严格按照变压器绕组制作方法制作干式变压器高压绕组试样,如图4所示。试样使用8 mm×3 mm×350 mm无氧铜导线作为导体绕制,其表层是采用螺旋法绕制的3层0.08 mm×19 mm Nomex绝缘纸。试样内层采用连续式绕法将导体绕制在直径为500 mm的环氧玻璃布管上,并缠绕3层聚酰亚胺薄膜,然后使用相同方法连续绕制外层导体,最后按照产品制作标准对试样进行真空浸漆和干燥处理。按照上述步骤,制备试样若干。
高压绕组温度自下而上逐渐升高,因此,处于不同高度的绕组受温度影响产生的老化程度不同。为模拟真实运行环境,分别取3种具有代表性的温度点:上层75%横向1/3处的最热区域温度120 ℃,绕组的平均温度80 ℃,绕组中较低的温度40 ℃。

(a) 试样剖面结构

(b) 试样实物
图4 干式变压器高压绕组试样剖面结构及实物
Fig.4 Cross-sectional structure and picture of sample of high-voltage windings of dry-type transformer
按照恒温老化方式对试样进行40,80,120 ℃老化,在每个温度条件下,都可能存在气隙和毛刺故障。根据加压试验测得的各试样的放电量及放电类型进行测试,选取18个较理想的试样,按照表1分组分别进行热老化。老化过程参考文献[11]。
表1 试样分组情况
Table 1 Sample grouping

整个绝缘老化试验系统由恒温恒湿老化装置及测试平台组成,恒温恒湿老化装置用于模拟干式变压器运行时的温度及湿度环境,以便对相应试样进行老化;测试平台由控制室、屏蔽室等相关设备组成,如图5所示。
根据GB 1094.3—2016规定,测试平台电源选择无局放实验变压器,其最高输出电压为100 kV(自身放电量小于5 pC);保护电阻为水电阻,其作用为限流和减少试样复合绝缘层被击穿时对变压器纵绝缘的损坏。测试平台可模拟变压器内部温度和湿度环境,具体功能如下:

图5 测试平台结构
Fig.5 Structure of test platform
(1) 设置试样测试环境温度范围(20~200 ℃),模拟绕组在变压器内部正常工作时的温度。
(2) 设置试样测试环境相对湿度(5%~80%),模拟绕组在变压器内部正常工作时的环境湿度。
(3) 实时调节加载电压,精确度为0.05 kV。
对热老化后的试样分别进行电老化,使用Haefely局部放电测试仪测量各试样放电二维谱图的偏斜度、陡峭度、相关系数等,观察其不同阶段的老化放电情况;将FLIR红外摄像仪通过USB数据接口连接工控机,用于实时采集红外影像。
以匝间绝缘且老化温度为80 ℃的试样为例进行电老化试验,对绝缘良好、存在毛刺和气隙的试样试验得到的试样热像图及局部放电二维图如图6所示。

(a) 绝缘正常试样热像图

(b) 存在气隙试样热像图

(c) 存在毛刺试样热像图

(d) 存在气隙试样局部放电二维图

(e) 存在毛刺试样局部放电二维图
图6 80℃老化后绝缘中气隙局部放电引起的温升
Fig.6 Temperature rise caused by partial discharge of air gap in insulation aged at 80°C
对比不同故障缺陷,通过放电二维图和热像图可以看出:
(1) 绝缘存在气隙的试样发热分布均匀,如图6(d)所示,没有突出的温度升高点,但整体发热明显。局部放电二维散点图在正半周和负半周的局部放电基本对称,正负半周的最大局部放电分别发生在放电相位为15~60°和195~225°范围内,有明显的尖锋,且正负半周散点图的左侧比右侧分布更陡。
(2) 绕组存在毛刺的试样发热点更为明显,图6(c)中A点为放电点,发热量尤为突出,该类型的放电二维散点图正半周和负半周的局部放电出现不对称现象,负半周放电量明显大于正半周。不同发展时期,正负半周的最大局部放电分别发生在放电相位为60~90°和240~270°。
间隔5 min进行一次红外谱图采集,在室温为10 ℃、相对湿度为50%的条件下,选取在不同温度下老化的放电样品,用恒压1.5倍额定电压继续老化。对比绝缘缺陷产生的局部放电所引起的试样温升,可以看出,在绝缘老化击穿之前,相对于气隙放电而言,尖端放电在整个过程中的温升速度较快,温度更早趋于稳定值,如图7所示。

图7 不同温度条件下老化的绝缘温升曲线
Fig.7 Temperature rise curve of insulation aged at different temperature
通过对比可以看出,40 ℃下老化的Nomex绝缘纸进行老化时产热量较小,而且在整个温升过程中升温速度变化较平缓;在80 ℃下电老化的试样温升速度明显更快,然而在升温至25 ℃时,温升速度下降,在最高温度28.7 ℃趋于平稳;在120 ℃下老化的试样,由于在该温度下长期工作的干式变压器绝缘劣化,温升速度明显较快,并且产热量剧增;绝缘存在气隙时温度上升速度相对于绕组存在毛刺时较为平稳。
在绕组绝缘局部放电过程中会产生热量,如果外界温度较高,不能形成良好的热交换,热量积聚,必然会使绕组温度升高,加剧绕组绝缘老化。由图7可以看出,局部点的温度上升较快,和外界形成稳定的热交换后,整体温度变化趋于平稳。
在温升过程中,为了对局部放电产热进行量化,要对绕组自身导条的发热、局部放电的产热、介质损耗、电阻产热及与外部环境的热交换等进行研究。由于通过绝缘材料的电流较小,导条的电阻小,产热量较少,此处不再赘述。
对于绝缘良好的绕组,其自身存在介质损耗、电阻产热等热量。多层复合绝缘属于极性介质,根据试验,在温度较低时,极化和电导损耗较小,随着温度升高,损耗值达到最大值;之后由于温度升高,分子热运动阻碍极化,总体损耗逐渐减小;后期介质损耗主要由电导损耗产生。记电阻产热为Q1,介质损耗为Q2,则单匝绕组局部放电产热量为
Q=Qz-Q1-Q2
(1)
式中Qz为总发热量,可根据初始温度变化计算,其公式为
Qz=hΔt
(2)
式中:h为Nomex绝缘纸表面和空气的传热系数;Δt为温度变化量。
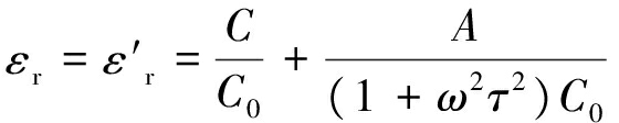
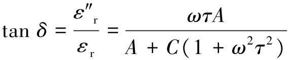
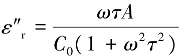
根据不同温度下的不同材料损耗因数tanδ分布曲线[12-13],可得Q2的计算公式,如式(3)—式(6)所示。
Q2=ωCU2tanδ
(3)
(4)
(5)
(6)
式中:ω为电源角频率;C为实际电容;U为电极两端电压;δ为介质损耗角;A为电极面积;τ为电极间距;εr为相对介电常数;C0为几何电容。
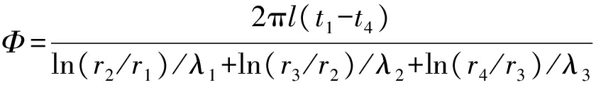
在外界环境温度较低、绕组和外界温度热交换良好时,绕组温度仍然能够较快升高,最后达到稳定状态。根据传热学原理,结合绕组模型的形状,可得出单匝绕组的导热类似于圆筒壁的导热[14],而整个变压器为多匝线圈模型,因此,可以单匝绕组为研究对象,研究热量通过各个绕组层散热的过程。单匝绕组和整体绕组模型结构如图8所示。其中r1—r4为多层筒壁各层的半径,t1—t4为各层温度,λ1—λ3为各层绝缘的平均热导率。

图8 变压器绕组模型结构
Fig.8 Structure of transformer winding model
对于单匝绕组,绝缘层及绕组线圈产生的热量通过绝缘层不断向外散射,位于某处的单点温度t和单点热量q的计算公式分别为
(7)
(8)
式中:λ为绝缘的平均热导率;r为该点与线圈中轴线的距离。
单个整匝绝缘层为圆筒式结构,根据传热学原理可知,整匝线圈的热流量φ为
(9)
式中l为筒壁高度。
应用串联热阻叠加原则,设不同材料构成的绕组之间接触良好,则变压器整体绕组的热流量Φ可由单匝绕组热流量推导得出:
(10)
(1) 介绍了矿用干式变压器绕组匝间及层间绝缘结构,并制作试样,通过试验系统分析试样老化过程中匝间绝缘的放电参数,采集不同类型试样的红外谱图。
(2) 根据试验结果分析绕组局部放电对其温度的影响,得出以下结论:尖端放电过程中的升温速度较绝缘层中存在气隙时快;绝缘劣化严重的绕组升温较快,产热量较多。
(3) 剖析了局部放电点形成过程,结合传热学原理,分析了整体绕组的发热量。这对于运行中变压器温度场的研究有重要的参考价值,为连续绕组变压器内部发热点的定位及局部放电点的准确定位提供了理论依据。同时,对变压器绕组故障诊断尤其是热点温度的研究有重要意义。
参考文献(References):
[1] C57.12.80-2002 - IEEE Standard Terminology for Power and Distribution Transformers[S].
[2] CAO L,GRZYBOWSKI S,PRADHAN B. Accelerated electrical aging of medium voltage EPR cables energized by elevated AC voltage with switching impulses superimposed[J]. IEEE Electric Ship Technologies Symposium,2013,20 (3):347-352.
[3] STONE G C,BOGGS S A. Propagation of partial discharge pulses in shielded power cable[C]//Conference on Electrical Insulation & Dielectric Phenomena,Amherst,1982.
[4] 雷志鹏,宋建成.综采工作面输送设备工况实时监测及故障诊断系统的设计[J].工矿自动化,2010,36(7):1-5.
LEI Zhipeng,SONG Jiancheng.Design of real-time system of working condition monitoring and fault diagnosis of conveyors of fully-mechanized face[J].Industry and Mine Automation,2010,36(7):1-5.
[5] JING Chongyou,WANG Jianmin,CUI Wei,et al. Numerical analysis of winding temperature field for dry type transformer[C]//Sixth International Conference on Electromagnetic Field Problems and Applications,Dalian,2012.
[6] 罗真海,陆国俊,王晓兵,等.高压电缆瓷套式终端发热原因[J].高电压技术,2007,33(11):240-241.
[7] 程养春,李成榕,陈勉,等. 高压输电线路复合绝缘子发热机理的研究[J]. 电网技术,2005(5):57-60.
CHENG Yangchun,LI Chengrong,CHEN Mian,et al. Research on heating mechanism of composite insulator of high voltage transmission line[J]. Power System Technology,2005(5): 57-60.
[8] 朱德恒,严璋. 电气设备状态监测与故障诊断技术[M] 北京:中国电力出版社,2009.
[9] 顺特电气有限公司. 树脂浇注干式变压器和电抗器[M]. 北京:中国电力出版社,2005.
[10] 杨世铭,陶文铨. 传热学[M]. 3版. 北京:高等教育出版社,2006.
[11] 邱昌荣. 电气绝缘测试技术[M]. 3版.北京:机械工业出版社,2010.
[12] 由建,王文娣,陈少伟,等.电流互感器介质损耗因数与温度的关系[J].变压器,2006(11):35-38.
YOU Jian,WANG Wendi,CHEN Shaowei,et al.Relation between dielectric power factor and temperature incurrent transformer[J].Transformer,2006(11):35-38.
[13] 魏建林,王世强,吴凤娇,等.变压器绝缘老化引起预试电气绝缘参数变化的仿真研究[J].高电压技术,2009(7):1618-1623.
WEI Jianlin,WANG Shiqiang,WU Fengjiao,et al.Simulation on variation of electrical insulation parameters in predictive test caused by insulation aging of power transformer[J].High Voltage Engineering,2009(7):1618-1623.
[14] 王兰,李传信.一种干式变压器监控系统的设计[J].变压器,2006(6):28-30.
WANG Lan,LI Chuanxin.Design of monitoring system for dry-type transformer[J].Transformer,2006(6):28-30.
WAN Zhiqiang1,CAO Penggang1,SONG Jiancheng2,3,LEI Zhipeng2,3
(1.Shanxi Electric Power Engineering Co.,Ltd.,China Energy Engineering Group,Taiyuan 030001,China;2.National and Provincial Joint Engineering Laboratory of Mining Intelligent Electrical Apparatus Technology,Taiyuan University of Technology,Taiyuan 030024,China;3.Shanxi Key Laboratory of Mining Electrical Equipment and Intelligent Control,Taiyuan University of Technology,Taiyuan 030024,China)
Abstract:In order to analyze influence of air gaps or impurities in insulation layer on temperature rise of windings of mine-used flameproof dry-type transformer,a mine-used 1 000 kVA/10 kV dry-type transformer with continuous winding was selected as research object,inter-turn and inter-layer insulation structures of windings of dry-type transformer were introduced. Infrared thermal imaging camera was used for analogy analysis of temperature rise characteristics of the samples under different discharge types and different aging temperatures,and relationship between temperature and inter-turn discharge and inter-layer discharge of dry-type transformer using Nomex insulation paper as insulating layer was obtained. Using theory of heat transfer and combining with insulation material characteristics to calculate and analyze the influence of inter-turn discharge dry-type transformer on heating process of windings. The paper provides theoretical basis for accurately locating hot spot temperature inside transformer and partial discharge point.
Key words:flameproof dry-type transformer; winding insulation; partial discharge; inter-turn discharge; inter-layer discharge; temperature rise characteristic
文章编号:1671-251X(2018)05-0036-06
DOI:10.13272/j.issn.1671-251x.2017100006
中图分类号:TD60
文献标志码:A
网络出版地址:http://kns.cnki.net/kcms/detail/32.1627.TP.20180503.1435.003.html
收稿日期:2017-10-10;
修回日期:2018-03-10;
责任编辑:胡娴。
基金项目:山西省科技创新团队建设项目(2012011001)。
作者简介:万志强(1987-),男,河南驻马店人,工程师,硕士,研究方向为高电压及绝缘技术,E-mail:wanzhiqiang@sepec.com.cn。
引用格式:万志强,曹鹏刚,宋建成,等.矿用隔爆型干式变压器绕组局部放电对温升的影响[J].工矿自动化,2018,44(5):36-41.
WAN Zhiqiang,CAO Penggang,SONG Jiancheng,et al. Influence of partial discharge on temperature rise of windings of mine-used flameproof dry-type transformer[J].Industry and Mine Automation,2018,44(5):36-41.