童兴, 原帅琪, 方伟鹏, 马晋钰
(中国矿业大学(北京) 资源与安全工程学院, 北京 100083)
摘要:为使矿井避灾路线有更好的适用性,探讨了矿井面临不同类型灾害危险时最佳避灾路线分类求取方法。根据不同灾变的特点,将矿井灾害分为突水灾害,煤与瓦斯突出、瓦斯或煤尘爆炸、矿井火灾,冒顶事故三大类;绘制三类灾害的可行避灾路线拓扑图,并计算各条巷道的当量长度;将巷道当量长度作为可行路线各边的权值代入拓扑图中,用最短路径算法Dijkstra算法求解各拓扑图对应的最佳避灾路线。分析结果表明,基于Dijkstra算法的矿井最佳避灾路线分类求取方法扩大了避灾路线的选取范围,在避灾人员较多时,可使巷道系统的通行能力得以充分发挥。
关键词:煤矿紧急避险; 最佳避灾路线; 分类求取; 最短路径算法; Dijkstra算法
煤矿紧急避险系统对矿井灾害的应急救援具有重要作用,高效、快速确定避难人员到紧急避险设施内的最佳避灾路线有利于充分发挥紧急避险系统的作用,因而最佳避灾路线的求取对矿井灾害的应急救援格外重要[1-3]。目前,避灾路线大多利用各种最短路径算法求解,为使避灾路线有更好的适用性,本文研究了当矿井面临多种灾害危险时,如何运用最短路径算法求取最佳避灾路线,从而有效缩短避难人员的逃生时间,减少生命财产损失。
最短路径算法有A*算法、Dijkstra算法、Floyd算法等,其中最经典的算法是Dijkstra算法。通常情况下,使用Dijkstra算法可求出图中一个顶点到其他各顶点的最短路径长度,而并不能求出从一个顶点到其他各顶点的最短路径[4]。本文对Dijkstra算法进行改进后,可求得起始点到其他各顶点的最短路径及其长度。
利用Dijkstra算法求解最短路径的原理:设G=(V,E)表示一个无向图,其中V表示无向图中所有顶点的集合,E表示所有边的集合,E[i]表示第i条边的距离。将V分为2组:第1组为已求解的最短路径顶点集合,用S表示,初始时只包含起始点V0;第2组为待求解的最短路径顶点集合,用T表示。对T中的顶点按最短路径长度递增排序,将距起始点最近的顶点加入S中;对剩下的顶点重新排序,再次选择出路线最短的顶点。重复上述步骤,直至T中所有顶点都加入S中[5]。需要说明的是,在向S中加入顶点时,必须符合以下原则:V0到S中各顶点的最短路径长度不大于V0到T中任一顶点的最短路径长度。
以V0为起始点的无向图如图1所示。无向图最短路径求解过程见表1。

图1 以V0为起始点的无向图
Fig.1 Undirected graph starting fromV0
当矿井突发事故时,可能会遇到避灾路线被灾变或次生灾变所阻断的情况,使原处于安全状态的区域变为危险区域。从灾害发生区到安全区的路线可能有多条,从众多路线中选择几条作为可行避灾路线是十分必要的[6]。为了扩大避灾路线的选择范围,除可在进风巷道内选择避灾路线外,在某些矿井灾害发生时,在保证安全的条件下,也可在回风巷道内选择避灾路线,以增大避难人员逃生概率[7]。
矿井避灾路线的选择受灾变影响范围、灾变扩散情况、有毒有害气体及巷道特性等影响,因此,要结合路线的安全性和通行效率等多因素进行综合判断求解。本文首先根据不同灾变的特点,选择避灾终点,判断能否在回风大巷内选择可行避灾路线,绘制可行避灾路线拓扑图;然后计算巷道当量长度,并用Dijkstra算法选出最优避灾路线。
表1 无向图最短路径求解过程
Table 1 The shortest route solving process of undirected graph

某矿井第2水平某综采工作面的巷道布置情况如图2所示,假设工作面中点为事故发生点,即避灾源点(点0)。避灾路径的终点为避难硐室所在位置(点11)或通向上一水平的暗斜井入口(点10)。分别求取发生矿井突水灾害、煤与瓦斯突出、瓦斯煤尘爆炸、矿井火灾及冒顶灾害时的可行避灾路线和最优避灾路线。

图2 工作面巷道布置
Fig.2 Layout of working face roadway
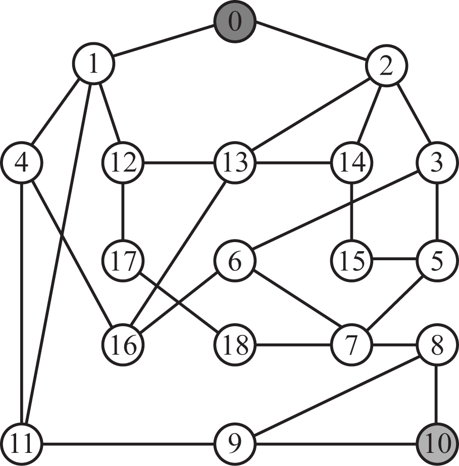
(1) 发生矿井突水灾害时,将产生静压水的持续作用,其作用强度超过了瓦斯爆炸和煤与瓦斯突出的冲击波的作用强度,超出了避难硐室的承受范围。因而,避难硐室暂不具备矿井水灾的防护功能[8],水灾发生时,避难终点为通向上一水平的暗斜井入口(点10)。为缩短逃生需要的时间,可在回风大巷内选择可行避灾路线,由此得到可行避灾路线拓扑,如图3所示。

图3 突水灾害时的可行避灾路线拓扑
Fig.3 Feasible route topology during water inrush disaster
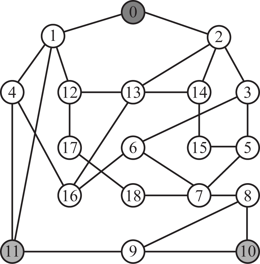
(2) 煤与瓦斯突出事故危害严重,会造成巷道坍塌和有害气体含量升高等现象。灾害发生后,避难人员需要及时进入通风条件良好的巷道,因此,可行避灾路线不可选择回风大巷。避难硐室可以有效抵御有毒有害气体侵入,且硐室内部配有过滤制氧装置和必要的救护器材,因而在煤与瓦斯突出事故发生时可作为避难终点[8]。发生煤与瓦斯突出事故时,避难终点为避难硐室(点11)和通向第1水平的暗斜井入口(点10)。
(3) 瓦斯和煤尘爆炸是瞬时发生的灾害,在短时间内产生大量的热和有毒有害气体,严重威胁井下人员的生命安全。为了保障避难人员安全,避免事故进一步扩大,此时可行避灾路线将不选择回风大巷。我国井下避难硐室设置有防火防爆密闭系统、气幕隔绝系统、供氧系统等。当发生瓦斯或煤尘爆炸事故时,避难硐室可以有效发挥避难作用。此时的避难终点为避难硐室(点11)和通向第1水平的暗斜井入口(点10)。
(4) 矿井外因火灾具有突发性、破坏性、继发性、灾难性等特点,危害大且难以预防[9]。巷道内一旦发生火灾,将会产生大量烟雾和有害粉尘,此时人员的避灾将变得非常困难[10]。矿井火灾发生时,火区附近烟流温度可达 70 ℃,我国的避难硐室系统在设计时考虑到了高温防护,防护温度达100 ℃,可满足火灾避难的需求,因此,避难硐室适用于矿井火灾的避难[8]。火灾时避难终点为避难硐室(点11)和通向第1水平的暗斜井入口(点10)。由于矿井回风大巷内瓦斯浓度较高,为避免火灾引起回风大巷内瓦斯爆炸,选取可行避灾路线时不考虑回风大巷。
综合以上3种灾害类型可行避灾路线选取的结果,可行避灾路线拓扑如图4所示。

图4 煤与瓦斯突出、瓦斯或煤尘爆炸、矿井火灾时的可行避灾路线拓扑
Fig.4 Feasible route topology during coal and gas outburst, gas or coal dust explosion and mine fire
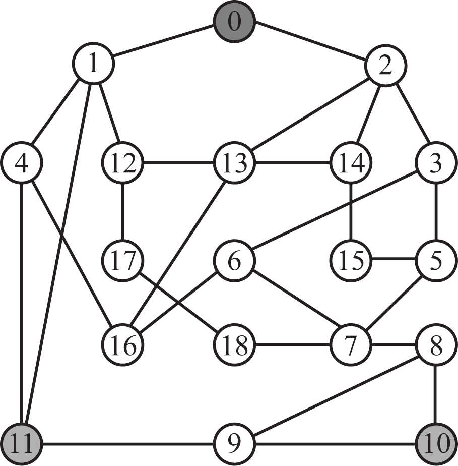
(5) 一般冒顶事故发生前会有一定征兆,如果事故造成巷道堵塞,避难人员可以进入避难硐室进行暂时躲避,补充食物和水,等待救援。发生冒顶灾害时,避难硐室可以作为避难终点,此时避难终点为避难硐室(点11)和通向第1水平的暗斜井入口(点10)。紧急情况下,可选取回风大巷作为可行避灾路线,此时的可行避灾路线拓扑如图5所示。

图5 冒顶灾害时的可行避灾路线拓扑
Fig.5 Feasible route topology during roof fall disaster
由于各类巷道通行的难易程度不同,避灾路径的长度最短并不意味着通过路径所用时间最短,为此需要引入当量长度来进行比较。当量长度是反映井下巷道长度、形状、风速、坡度、障碍物(带式输送机、矿车、风窗、风门等设施)数量等因素影响两点之间距离的一个相对长度[9]。
煤矿井下巷道的当量长度可通过式(1)计算:
(1)
式中:li为第i条巷道的当量长度,m;x1为巷道类型决定的通行难易系数;x2为风速决定的通行难易系数;x3为坡度决定的通行难易系数;
为第i条巷道的实际长度,m;n为第i条巷道中的局部障碍物数目;lj为第j个局部障碍物的当量长度,m。
根据文献[11-12],巷道通行难易系数x1,x2,x3的取值及局部障碍物的当量长度lj的取值见表2—表5。
表2 巷道类型决定的通行难易系数
Table 2 Passage difficulty coefficient determined by roadway type

表3 风速决定的通行难易系数
Table 3 Passage difficulty coefficient determined by wind speed

表4 坡度决定的通行难易系数
Table 4 Passage difficulty coefficient determined by slope

表5 局部障碍物决定的通行难易系数
Table 5 Passage difficulty coefficient determined by slope local obstacles

计算出各条巷道的当量长度后,代入可行避灾路线拓扑图中,将当量长度作为相应边的权值来求解最佳避灾路线。
将各条巷道的当量长度作为可行路线各边的权值代入拓扑图中,得到3个拓扑图对应的邻接矩阵,然后使用Dijkstra算法求解各拓扑图对应的最佳避灾路线。用C语言编程实现算法的求解,程序设定在数据输入时用3个数字分别代表一条边的起点、终点和权值。拓扑图数据输入完成后再输入-1,-1,-1,代表输入过程完毕,程序开始运行。
由3个可行避灾路线拓扑图计算出的最佳避灾路线结果如图6所示。运行结果的第2列为从起始点至其余各点的最短路径,第1列为相应路线所对应的总权值,即最佳避灾路线的当量长度。突水灾害发生后,最佳避灾路线为0→1→4→11→9→10,相应的当量长度为1 733 m。

图6 突水灾害时的最佳避灾路线
Fig.6 The best route during water inrush disaster
发生煤与瓦斯突出、瓦斯或煤尘爆炸和矿井火灾时避灾路线求取结果如图7所示。该条件下的最佳避灾路径为0→1→4→11→9→10或0→1→4→11。 最佳避灾路线1的当量长度为1 584 m,最佳避灾路线2的当量长度为1 733 m。

图7 发生煤与瓦斯突出、瓦斯或煤尘爆炸和矿井火灾时的最佳避灾路线
Fig.7 The best route during coal and gas outburst, gas or coal dust explosion and mine fire
冒顶灾害时避灾路线求取结果如图8所示。冒顶灾害发生时的最佳避灾路线为0→1→4→11→9→10或0→1→4→11。 最佳避灾路线1的当量长度为1 584 m,最佳避灾路线2的当量长度为1 733 m。

图8 冒顶灾害时的最佳避灾路线
Fig.8 The best route during roof fall disaster
在矿井避灾路线的实际求解当中,若采用通常的避灾路线选取方法,将会限制避灾路线选取的灵活性,使得巷道系统的通行能力不能有效发挥。在上述计算应用实例中,采用避灾路线分类求取方法后,矿井发生突水灾害时,避灾可行路线由原来的12条变为38条,发生冒顶灾害时,避灾可行路线由原来的18条变为58条,扩大了避灾路线的选取范围,在避灾人员较多时,可使巷道的通行能力得以充分发挥。
根据不同灾变的特点,分析避灾终点的选择,判断回风大巷能否作为可行避灾路线。根据分析结果,将矿井灾害分为突水灾害,煤与瓦斯突出、瓦斯或煤尘爆炸、矿井火灾,冒顶事故三大类,绘制与可行避灾路线相对应的拓扑图。通过Dijkstra算法求解出到达避灾终点当量长度最短的路线,即为相应灾害发生时的最佳避灾路线。
参考文献(References):
[1] 王振平,李伟,郝迎格,等.煤矿井下紧急避险系统建设模式探讨[J].煤炭科学技术,2012,40(5):66-69.
WANG Zhenping,LI Wei, HAO Yingge, et al.Discussion on establishing mode of emergency refuge system in underground mine[J].Coal Science and Technology,2012,40(5):66-69.
[2] WANG L, WANG Y, CAO Q, et al. A framework for human error risk analysis of coal mine emergency evacuation in China[J].Journal of Loss Prevention in the Process Industries, 2014,30(1):113-123.
[3] 马晋钰, 吴建松, 原帅琪. 基于Multi-Agent的矿井人员疏散数值模拟[J]. 科学技术与工程, 2017,17(36):152-157.
MA Jinyu, WU Jiansong, YUAN Shuaiqi. Simulation of evacuation in underground coal mines based on Multi-Agents[J]. Science Technology and Engineering, 2017,17(36):152-157.
[4] 孙殿阁,蒋仲安.改进的Dijkstra算法在矿井应急救援最佳避灾路线求取中的应用[J].矿业安全与环保,2005,32(5):38-40.
SUN Diange, JIANG Zhong'an. Application of improved Dijkstra algorithm in choice of best escaping route in mine emergency response[J].Mining Safety & Environmental Protection,2005,32(5):38-40.
[5] 王桂平, 王衍, 任嘉辰. 图论算法理论、实现及应用[M]. 北京:北京大学出版社, 2011.
[6] 孙研博.最优路径选择在煤矿避灾路线中的应用研究[D].徐州:中国矿业大学,2014.
[7] 詹子娜,金龙哲,白楠,等.基于避险设施的火灾救援及避灾路线算法[J].北京科技大学学报,2014,36(7):966-971.
ZHAN Zina,JIN Longzhe,BAI Nan,et al.Fire rescue and optimal escape route algorithm based on refuge chambers[J].Journal of University of Science and Technology Beijing,2014,36(7):966-971.
[8] 李隆庭.基于井下避难硐室系统的煤矿应急模型研究[D].北京:首都经济贸易大学,2012.
[9] 戚宜欣,王德明.巷道分类新方法在矿井火灾救灾专家系统设计中的应用[J].煤矿安全,1994(8):2-6.
[10] 刘军,方源敏,苗芳芳.矿井火灾避灾决策支持系统的研究与设计[J].科学技术与工程,2011,11(2):429-434.
LIU Jun,FANG Yuanmin,MIAO Fangfang.Research and design of the mine fire disaster decision support system[J].Science Technology and Engineering,2011,11(2):429-434.
[11] 匡开宇,韩学海,宋伟,等.煤矿井下最优救灾、避灾路线的研究[J]. 科技成果管理与研究,2010(7): 89-90.
KUANG Kaiyu,HAN Xuehai,SONG Wei,et al. On optimal rescue route in coal mine[J]. Management and Research on Scientific & Technological Achievements,2010(7): 89-90.
[12] 赵作鹏,宋国娟,宗元元,等.基于D-K算法的煤矿水灾多最优路径研究[J].煤炭学报,2015,40(2):397-402.
ZHAO Zuopeng,SONG Guojuan,ZONG Yuanyuan,et al.Research on the multi-optimal paths of coal mine floods based on the D-K algorithm[J].Journal of China Coal Society,2015,40(2):397-402.
TONG Xing, YUAN Shuaiqi, FANG Weipeng, MA Jinyu
(School of Resource and Safety Engineering, China University of Mining and Technology(Beijing), Beijing 100083, China)
Abstract:In order to make mine escape route have better applicability, the method of classification and calculation of the best escape route when the mine is facing different types of disaster risk was discussed. According to characteristics of different disasters, mine disasters are classified into three categories: water inrush disaster, roof fall accident, and a category including coal and gas outburst, gas or coal dust explosion, mine fires. Feasible topological maps for the three types of disasters are plotted, and equivalent length of each roadway is calculated. The equivalent length of the roadway is taken into the topological map as weight of each side of the feasible route, and the shortest path algorithm Dijkstra algorithm is used to solve the best escape route of each topology. Analysis result shows that the method expands selection of escape routes and make capacity of roadway system be fully developed with more refugees.
Key words:coal mine emergency avoidance; best escape route; classification and calculation; shortest path algorithm; Dijkstra algorithm
收稿日期:2018-02-01;
修回日期:2018-02-15;
责任编辑:胡娴。
基金项目:国家自然科学基金资助项目(11502283)。
作者简介:童兴(1986-),女,江苏淮安人,博士研究生,研究方向为矿山安全,E-mail:tongxing163email@163.com。
引用格式:童兴,原帅琪,方伟鹏,等.基于Dijkstra算法的矿井最佳避灾路线分类求取[J].工矿自动化,2018,44(4):94-99.
TONG Xing, YUAN Shuaiqi, FANG Weipeng,et al. Classification and calculation of the best escape route of coal mine based on Dijkstra algorithm[J].Industry and Mine Automation,2018,44(4):94-99.
文章编号:1671-251X(2018)04-0094-06
DOI:10.13272/j.issn.1671-251x.17314
中图分类号:TD77
文献标志码:A
网络出版时间:2018-03-26 16:17
网络出版地址:http://kns.cnki.net/kcms/detail/32.1627.TP.20180326.1132.001.html