科研成果
李现国1,2, 张灿1, 张磊3, 申立芳1, 姜航旗1
(1.天津工业大学 电子与信息工程学院, 天津 300387; 2.天津市光电检测技术与系统重点实验室, 天津 300387; 3.山东新巨龙能源有限责任公司, 山东 菏泽 274918)
摘要:针对钢丝绳芯输送带接头伸长判断方式单一、伸长量计算复杂度较高的问题,提出了基于X光图像的钢丝绳芯输送带接头伸长量计算方法。通过直方图均衡化和均值滤波对图像进行预处理,提高了图像对比度,有效解决了钢丝绳芯输送带图像灰度不均匀问题;利用Sobel算子进行接头边缘检测和动态阈值处理,提取上下接头;通过上下接头拟合直线斜率判断待检图接头和参考图接头是否一致,从而判断接头是否伸长;根据上下接头的端点和拟合直线计算接头左右端最外侧长度和接头平均长度。测试结果表明,该方法计算速度快、效率高,可以方便、准确地计算出接头伸长量。
关键词:钢丝绳芯输送带; 接头伸长量; X光图像; 接头提取; 接头长度; 边缘检测
钢丝绳芯输送带具有运量大、抗冲击力强、抗拉强度大、能耗小等优点,已广泛应用于矿山、电力、冶金等领域[1-3]。接头是整条钢丝绳芯输送带中抗拉强度最低、最为薄弱的环节,经常发生接头抽动故障,如果不及时检测和处理,将会导致重大断带事故,造成不必要的损失。接头抽动一般表现为接头长度增加[4-6]。因此,在钢丝绳芯输送带运行过程中检测接头伸长量可以预防断带事故[7-9]。文献[10]提出用基于统计平均的方法检测接头搭接空档区域的长度是否伸长,将空档区域变化值的平均值作为接头伸长量,但该方法要求接头搭接得比较理想和规范,而实际上接头很难达到这种要求。文献[11-12]提出利用条件Y差分方法计算每根钢丝绳芯搭接空档伸长量,通过计算上下接头组成的线对长度来检测接头空档变化量,但对于现场采集的图像,有可能部分接头点没有与之匹配的线对,往往需要人工剔除一些数据,计算复杂度较高,影响了其实用性。文献[13]提出一种基于X光图像的钢丝绳芯输送带接头抽动检测方法,采用Retinex方法增强图像,利用每层接头点与其拟合直线的距离作为接头抽动的判断依据,但该方法接头伸长判断方式比较单一。 本文提出一种基于X光图像的钢丝绳芯输送带接头伸长量计算及接头抽动综合判断方法,利用接头上边缘端点和下边缘端点,通过计算上下接头拟合直线斜率、接头左右端最外侧长度及基于上下接头边缘端点的平均长度,实现对接头伸长量的计算和接头抽动故障的综合判断。
基于X光图像的钢丝绳芯输送带接头伸长量计算流程如图1所示。
由于X光强度分布、探测器自身的稳定性或其他因素,采集到的钢丝绳芯输送带X光图像会有噪声干扰及亮度不一致等现象[14-15],给接头伸长量计算带来一定的困难,需要对采集到的原始图像进行预处理,提高图像质量,突出接头边缘。本文通过直方图均衡化的方法进行图像增强,提高了钢丝绳芯输送带X光图像的对比度,使图像边缘更加清晰;使用均值滤波对钢丝绳芯输送带X光图像进行降噪处理,降低噪声带来的干扰。

图1 基于X光图像的钢丝绳芯输送带接头伸长量计算流程
Fig.1 Calculation flow of joint elongation of steel cord conveyor belt based on X-ray image
使用Sobel算子进行边缘检测和动态阈值处理,结果如图2所示。

图2 边缘检测结果
Fig.2 Edge detection result
图2中的黑色端点和白色端点分属于该接头处的2段钢丝绳芯输送带。对这2种端点分别处理,提取出钢丝绳芯输送带的上接头和下接头。对白色端点,首先进行形态学膨胀,使相邻白色端点连接成一个矩形区域;然后通过区域连通及宽度特征量去除干扰区域;对中心横坐标最小的矩形区域与动态阈值处理后的区域求交集,得到接头上边缘端点,这些上边缘端点组成了上接头的整体轮廓。用类似方法处理黑色端点,对中心横坐标最大的矩形区域与动态阈值处理后的区域求交集,得到接头下边缘端点,这些下边缘端点组成了下接头的整体轮廓。上下接头提取结果如图3所示。

图3 上下接头提取结果
Fig.3 Extraction result of upper and lower joints
从图3可以看出,钢丝绳芯输送带上下接头点是2组离散的点,并且这些点大致呈直线排列,分别对这2组离散点集进行最小二乘直线拟合。对于同一接头,如果接头没有发生故障,待检图接头和参考图接头是一样的,得到的上下接头拟合直线斜率也基本一致[15]。因此,可以通过上下接头拟合直线斜率判断待检图接头和参考图接头是否一致。
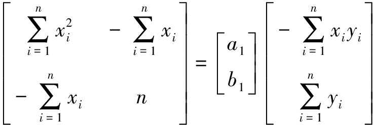
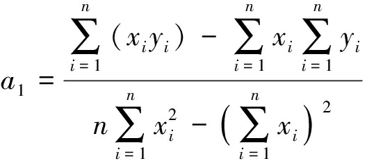
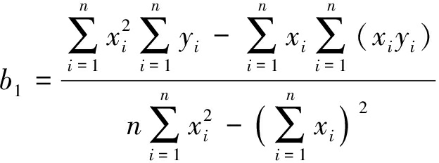
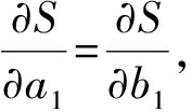
进行最小二乘直线拟合,即利用离散分布且总体呈直线轨迹的坐标点来求出直线参数。设上接头直线参数方程和下接头直线参数方程分别为y1=a1x+b1,y2=a2x+b2,上接头点坐标为(xi,yi)(i=0,1,…,n-1,其中n为上接头像素点的总数),下接头点坐标为(sj,tj)(j=0,1,…,m-1,其中m为下接头像素总数)。以求上接头拟合直线为例,定义误差项为
S(a1,b1)=∑(yi-a1x-b1)2
(1)
最小二乘法要求S达到最小值,需要满足的条件为
从而得出

(2)
解式(2)可得

(3)

(4)
求出a1和b1,也即求出了上接头拟合直线y1。同理可求出a2,b2及下接头拟合直线y2。通过比较待检图和参考图上下接头的变化可判断接头是否伸长。如果待检图a1值和参考图的a1值不同,则表明上接头发生了变化;如果待检图a2值和参考图的a2值不同,则表明下接头发生了变化。
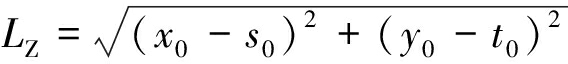
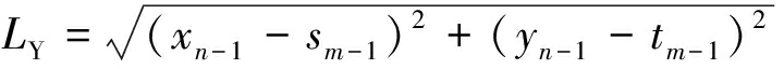
由于接头包含多个像素点,需要结合接头的所有像素点求出接头平均伸长量。从实际情况看,钢丝绳芯输送带接头左右端最外侧最易损伤,会引起左右端最外侧长度发生变化,所以,从某种程度上来说,计算钢丝绳芯输送带左右端最外侧的伸长量,也能表明钢丝绳芯输送带接头发生了变化,且接头左右端最外侧长度人工测量也方便。记钢丝绳芯输送带上接头为U(xi,yi),下接头为D(sj,tj),左右两端长度分别为LZ和LY,由两点间长度计算公式可得
(5)
(6)
待检图接头与参考图接头左右两端长度的差值即为接头左右端最外侧伸长量。
为进一步描述接头长度及伸长量,需要求出上接头中像素点到下接头拟合直线的平均距离、下接头中像素点到上接头拟合直线的平均距离、接头平均长度及相应的伸长量,具体操作如下。
(1) 以上接头每个像素点U(xi,yi)为起点向正方向作垂直线,设其与直线y2的交点为M(pi,yi),则U(xi,yi)到下接头的距离LMU=|pi-xi|。
(2) 求LMU的平均值
即上接头中像素点到下接头拟合直线的平均距离。
(3) 以下接头每个像素点D(sj,tj)为起点向负方向作垂直线,设其与直线y1的交点为N(qj,tj),则D(sj,tj)到上接头的长度LDN=|sj-qj|。
(4) 求LDN的平均值![]()
(5) 最初的钢丝绳芯输送带接头通常满足
当接头发生变化之后,往往
因此,求
和
的平均值Q作为钢丝绳芯输送带接头的平均长度。
(6) 求待测图和参考图接头Q值的差值,即为整个接头的伸长量。
选某矿不同时间拍摄的钢丝绳芯输送带3号接头进行测试,处理结果如图4所示。图4(a)拍摄于2014年9月26日,作为参考图;图4(b)拍摄于2015年1月14日,作为待检图。具体接头测量数据见表1,其中到下接头的平均长度和到上接头的平均长度分别指以上接头为起点求得的平均长度、以下接头为起点求得的平均长度。

(a) 参考图原始图

(b) 待检图灰度图

(c) 参考图上下接头的拟合直线斜率

(d) 待检图上下接头的拟合直线斜率

(e) 参考图左右端最外侧长度

(f) 待检图左右端最外侧长度

(g) 以参考图上接头为起点到下接头的平均长度

(h) 以待检图上接头为起点到下接头的平均长度

(i) 以参考图下接头为起点到上接头的平均长度

(j) 以待检图下接头为起点到上接头的平均长度

(k) 参考图接头的平均长度

(l) 待检图接头的平均长度
图4 某矿钢丝绳芯输送带3号接头处理结果
Fig.4 Treatment results of No. 3 joint of steel cord conveyor belt in a certain mine
从表1可以看出,在经过几个月之后,钢丝绳芯输送带接头左右端最外侧长度发生了变化,接头左端最外侧长度变小,接头右端最外侧长度变大,上下接头位置发生了细微变化,接头平均长度也发生了细微变化。这些值和用其他图像处理软件通过人工辅助测量的方式获得的结果一致。但由于这些变化都比较小,从钢丝绳芯输送带的外表面观察,无法看出这些细微的变化。
表1 接头测量数据
Table 1 Joint measurement data

在32 bit操作系统、主频为2.50 GHz的双核Inter(R) Core i5-s2450M处理器、内存为4 GB的计算机上用所提方法进行测量,测量时间为470 ms,与人工测量方式相比,大大缩短了获取钢丝绳芯输送带接头伸长量的时间。
对基于X光图像的钢丝绳芯输送带接头伸长量计算方法进行了研究。采用直方图均衡化方法提高图像对比度;采用Sobel边缘算子进行边缘检测并提取接头边缘信息,通过区域连通分割提取接头上下边缘端点信息;通过计算和比较待检图与参考图边缘拟合直线斜率、接头左右端最外侧长度及接头平均长度来综合判断接头是否伸长。用该方法得出的钢丝绳芯输送带接头伸长量计算结果和人工辅助测量结果一致,运行时间为470 ms,验证了该方法可以方便、准确地计算出接头伸长长度并综合判断接头是否出现抽动故障。
参考文献(References):
[1] 马宏伟,毛清华,张旭辉. 矿用强力带式输送机智能监控技术研究进展[J]. 振动、测试与诊断, 2016,36(2):213-219.
MA Hongwei,MAO Qinghua,ZHANG Xuhui. Intelligent monitoring technology study process for steel cord conveyor belt in coal mine[J].Journal of Vibration, Measurement & Diagnosis, 2016,36(2):213-219.
[2] 安彩花,苗长云,张志刚,等. 基于X光的钢丝绳芯输送带检测系统传输控制器的研究[J]. 天津理工大学学报,2014,30(2):1-4.
AN Caihua,MIAO Changyun,ZHANG Zhigang,et al.Study on transmission controller of the X-ray steel wire rope core conveyor detection system[J].Journal of Tianjin University of Technology, 2014,30(2):1-4.
[3] 黄民, 潘虎生, 胡成,等. 钢绳芯带式输送机实时综合监测与保护系统[J]. 中国矿业大学学报, 2006, 35(5):673-678.
HUANG Min,PAN Husheng,HU Cheng,et al.A system for real time monitoring and protecting of steel cord belt conveyors[J].Journal of China University of Mining & Technology, 2006,35(5):673-678.
[4] 王明生, 李铁鹰, 陈政石. X射线线阵探测器在输送带检测系统中的应用[J]. 广东石油化工学院学报, 2011,21(1):33-36.
WANG Mingsheng, LI Tieying, CHEN Zhengshi.The research on the linear X-ray detector application in steel-core belt conveyor inspection system[J].Journal of Guangdong University of Petrochemical Technology, 2011,21(1):33-36.
[5] 毛君,赵永生,王淑娇. 矿用输送带纵向撕裂原因分析及其预防[J]. 煤矿机械, 2007,28(10):182-183.
MAO Jun, ZHAO Yongsheng, WANG Shujiao. Reason and prevention of portrait-tear with belt conveyer[J]. Coal Mine Machinery, 2007, 28(10):182-183.
[6] 侯冬山. 基于线阵的钢绳芯输送带无损检测系统设计[D]. 太原:太原理工大学,2010.
[7] 毛清华,马宏伟,张旭辉. 煤矿钢丝绳芯输送带接头在线智能识别系统[J]. 矿山机械, 2013,41(1):50-54.
MAO Qinghua, MA Hongwei, ZHANG Xuhui. Intelligent identification system for joints of wire rope cored conveyance belts used in collieries[J]. Mining & Processing Equipment, 2013,41(1):50-54.
[8] HE Zhiqiang,WANG Baiyan,GAO Yulin. Research of algorithm for judgement of joint elongation of conveyer belt[J]. International Journal of Mining Science and Technology, 1999,12(1):51-54.
[9] 季晓华. 基于X射线的钢丝绳芯无损探伤系统研究[J]. 工矿自动化, 2014,40(8):110-112.
JI Xiaohua.Research of destructive detection system of steel rope core based on X-ray[J]. Industry and Mine Automation, 2014,40(8):110-112.
[10] 叶萍,高嵩,高毓麟. 强力输送带接头伸长计算方法的软硬件实现[C]//第七届全国煤矿自动化学术年会, 1997.
[11] 苗长云,李现国,叶春青,等. X光成像的钢丝绳芯输送带接头拉伸故障自动检测方法:201010146881.X[P].2010-09-08.
[12] LI Xianguo, MIAO Changyun, WANG Jie, et al. Automatic defect detection method for the steel cord conveyor belt based on its X-ray images[C]// International Conference on Control, Automation and Systems Engineering, Singapore, 2011.
[13] 韩现代,曹雪虹,焦良葆. 钢丝绳芯输送带接头抽动检测方法[J]. 工矿自动化, 2017,43(8):67-71.
HAN Xiandai,CAO Xuehong,JIAO Liangbao. Detection method of joints twitching of steel cord conveyor belt[J]. Industry and Mine Automation, 2017,43(8):67-71.
[14] 王进, 曹国刚, 边红星. 线阵X射线钢丝绳芯输送带图像增强算法研究与实现[J]. 煤矿机电, 2017(4):15-18.
WANG Jin,CAO Guogang,BIAN Hongxing. Research and implementation of image enhancement algorithm for linear X-ray steel wire rope conveyor belt[J]. Colliery Mechanical & Electrical Technology, 2017(4):15-18.
[15] 颜兵, 王金鹤, 赵静. 基于均值滤波和小波变换的图像去噪技术研究[J]. 计算机技术与发展,2011,21(2):51-53.
YAN Bing, WANG Jinhe, ZHAO Jing. Research of image de-noising technology based on mean filtering and wavelet transformation[J]. Computer Technology & Development, 2011,21(2):51-53.
LI Xianguo1,2, ZHANG Can1, ZHANG Lei3, SHEN Lifang1, JIANG Hangqi1
(1.School of Electronics & Information Engineering, Tianjin Polytechnic University, Tianjin 300387, China; 2.Tianjin Key Laboratory of Optoelectronic Detection Technology and System, Tianjin 300387, China; 3.Shandong New Dragon Energy Co., Ltd., Heze 274918, China)
Abstract:In view of problems of single determination way and high computational complexity of joint elongation of steel cord conveyor belt, a calculation method of joint elongation of steel cord conveyor belt based on X-ray image was proposed. Histogram equalization and mean filter are used to pretreat image for improving image contrast and effectively solving the problem of uneven grayscale image of the steel cord conveyor belt. Sobel operators are used for joint edge detection and dynamic threshold process to extract upper and lower joints. Slope of fitting straight line of the upper and lower joints is used to determine whether the joint of the image to be checked is the same with the reference joint, so as to judge whether the joint is elongated or not. Outermost length on the left and right ends of the joint and average length of the joint are calculated according to the end points and the fitting lines of the upper and lower joints. The experimental results show that the method is computationally fast, efficient and can calculate the joint elongation easily and accurately.
Key words:steel cord conveyor belt; joint elongation; X-ray image; joint extraction; joint length; edge detection
文章编号:1671-251X(2018)04-0008-06
DOI:10.13272/j.issn.1671-251x.2017110052
中图分类号:TD526
文献标志码:A
网络出版时间:2018-03-29 15:07
网络出版地址:http://kns.cnki.net/kcms/detail/32.1627.TP.20180329.1317.001.html
收稿日期:2017-11-27;
修回日期:2018-02-23;
责任编辑:胡娴。
基金项目:国家自然科学基金项目(51504164)。
作者简介:李现国(1981-),男,山东邹城人,副教授,博士,主要研究方向为工矿安全检测与监控、光电检测技术与系统,E-mail:xgli0910@163.com。
引用格式:李现国,张灿,张磊,等.钢丝绳芯输送带接头伸长量计算方法[J].工矿自动化,2018,44(4):8-13.
LI Xianguo, ZHANG Can, ZHANG Lei, et al. Calculation method of joint elongation of steel cord conveyor belt[J].Industry and Mine Automation,2018,44(4):8-13.