刘聚财1,2, 耿蒲龙1,2, 曲兵妮1,2, 宋建成1,2, 罗超1,2, 李鑫3, 田敏3
(1.太原理工大学 矿用智能电器技术国家地方联合工程实验室, 山西 太原 030024;2.太原理工大学 煤矿电气设备与智能控制山西省重点实验室, 山西 太原 030024;3.山西晋城无烟煤矿业集团有限责任公司 寺河矿, 山西 晋城 048006)
摘要:为全面研究矿井供电系统弧光接地过电压形成过程,采用实时数字仿真仪搭建了矿井供电系统模型和间歇性电弧接地模型,分别对工频熄弧、高频熄弧及工频熄弧与高频熄弧同时存在的混合熄弧过程中过电压进行了仿真研究。结果表明:工频熄弧理论条件下暂态过电压最大值略低于历史实测值;高频熄弧理论条件下暂态过电压最大值随电弧重燃次数的增加而增大,且暂态过电压最大值高于历史实测值;混合熄弧情况下,高频熄弧出现次数越多且连续出现时,暂态过电压最大值越高;矿井供电系统发生电弧接地故障时,一般表现为工频熄弧与高频熄弧间隔出现的状态,高频熄弧连续出现3次以上的概率很小。
关键词:矿井供电系统; 弧光接地过电压; 工频熄弧; 高频熄弧; 混合熄弧
中国矿井供电系统大多采用中性点不接地或经消弧线圈接地方式。近年来,随着矿区6 kV电网中固体绝缘设备逐年增多,系统供电距离、电缆线路不断增加,系统对地电容电流呈上升趋势,间歇性弧光接地过电压问题越来越突出,给矿井电网带来巨大的安全隐患[1-2]。因此,对井下高压电缆线路发生弧光接地过电压的形成过程进行探讨研究具有非常重要的现实意义。
间歇性弧光接地过电压形成过程一般采用高频熄弧理论与工频熄弧理论来解释[3-7]。高频熄弧理论认为:故障相电压在其峰值时发生第1次对地燃弧,在接地电流高频分量首次过零时电弧熄灭,半个工频周期后电弧重燃;由于熄弧后残留在非故障相中的电荷量较大,所以过电压较高[8-10]。工频熄弧理论认为:熄弧发生在工频电流过零时刻,每隔1个工频周期重燃1次;由于熄弧后残留在非故障相中的电荷量较小,所以过电压较低。然而,现场实测表明,接地电弧的重燃与熄灭具有很强的随机性,熄弧可能发生在工频电流过零时刻,也可能发生在高频电流过零后。本文利用实时数字仿真仪(Real Time Digital Simulator,RTDS)搭建矿井供电系统模型和间歇性电弧接地模型,分别对工频熄弧、高频熄弧及工频熄弧与高频熄弧同时存在的混合熄弧过程中过电压进行了仿真研究,深入分析了混合熄弧情况下过电压大小与高频熄弧出现的次数及顺序之间的关系,研究结果为有效抑制矿井供电系统弧光接地过电压奠定了理论基础。
以山西晋城无烟煤矿业集团有限责任公司寺河矿矿井供电系统为对象进行RTDS建模:井上供电网络采用35 kV电源代替,井下共5条高压电缆;主变压器和移动变压器均采用△/Y接法,且中性点不接地。电弧接地模型采用控制论数学动态电弧模型[11-16]。矿井供电系统模型、电弧接地模型及参数设置见文献[17]。
假设井下某6 kV电缆线路发生故障,故障点距离移动变压器1.6 km。过电压倍数的基准值为供电系统正常运行时的相电压幅值,即1 p.u.=4.968 kV。
根据工频熄弧理论,设在C相电压达峰值时发生第1次电弧接地,故障点工频电流过零时电弧熄灭,半个工频周期后电弧重燃,电弧第4次重燃后,线路发展为稳定电弧接地。工频熄弧理论条件下三相电压、中性点电压及故障点电流仿真波形如图1所示,4次“燃弧-熄弧”过程中出现的三相和中性点最大过电压倍数见表1。
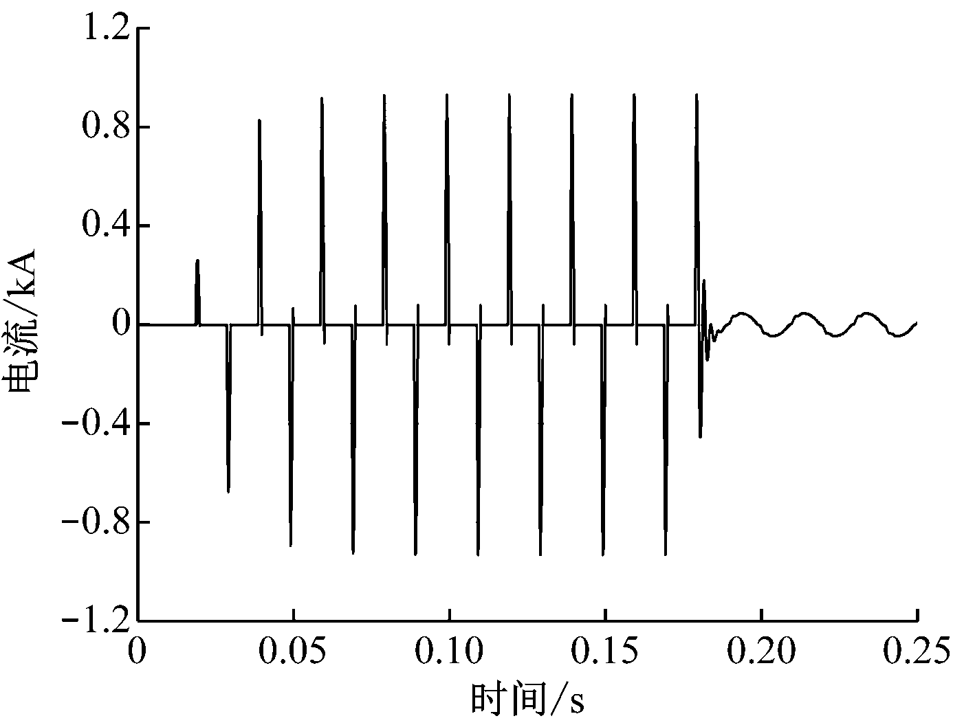
从图1(a)可看出,在C相电压达到峰值时发生第1次电弧接地,之后电弧每次重燃都会引起系统高频振荡,进而产生过电压;从图1(b)可看出,每次工频电流过零,电弧熄灭时都会使中性点产生一个较大的正的直流分量,其与电源电压叠加,使得三相电压升高;从图1(c)可看出,在接地故障暂态过程中最大电流达607.356 A,而电弧稳定燃烧时电流峰值只有45.762 A,两者相差悬殊。从表1可看出,系统第1次电弧接地引起高频振荡产生的三相暂态过电压最大值为2.283 p.u.,中性点暂态过电压最大值为1.386 p.u.,第2次重燃产生的过电压与第3次、第4次重燃情况一致,非故障相暂态过电压最大值均为2.760 p.u.,中性点暂态过电压最大值均为1.822 p.u.。由此可推断出,若电弧继续熄灭、重燃,之后的振荡过程及暂态过电压最大值也与之前一致。考虑电网泄漏和衰减的影响,并取系数为0.9[18],实际暂态过电压最大值为2.484 p.u.,略低于历史实测值(2.5~3.0 p.u.)。
通过对图1(c)波形进行分析计算,可知高频电流第1次过零时刻为发生电弧接地故障后0.001 03 s,因此,高频熄弧理论条件下电弧重燃持续时间均取该值。根据高频熄弧理论,设在C相电压达峰值时发生首次电弧接地,0.001 03 s后电弧熄灭,半个工频周期后电弧重燃,经16次电弧重燃后发展为电弧稳定燃烧。高频熄弧理论条件下三相电压、中性点电压及故障点电流仿真波形如图2所示,过电压与重燃次数关系如图3所示。

(a) 三相电压

(b) 中性点电压

(c) 故障点电流
图1 工频熄弧理论条件下仿真波形
Fig.1 Simulation waveforms under condition of power frequency arc extinction theory
表1 工频熄弧理论条件下三相和中性点最大过电压倍数
Table 1 The maximum over-voltage multiple of three phase and neutral point under condition of power frequency arc extinction theory


(a) 三相电压

(b) 中性点电压

(c) 故障点电流
图2 高频熄弧理论条件下仿真波形
Fig.2 Simulation waveforms under condition of high frequency arc extinction theory
从图2可看出,电弧首次燃烧时,当故障点高频电流第1次过零时电弧熄灭,中性点产生一个负的直流分量,其与电源电压叠加,使得三相电压波形下移,该过程中暂态过电压最大值达2.381 p.u.;随后电弧重燃,中性点产生一个正的直流分量,使三相电压波形上移,暂态过电压最大值达2.987 p.u.,此后电弧每次重燃,A,B,C相过电压都在不断增大。这是由于每次高频电流过零时电弧熄灭,此时高频振荡电压最大,残留在非故障相中的电荷量越来越多。从图3可看出,在电弧第7次重燃时,暂态过电压最大值达到极限值,非故障相B相与故障相C相的暂态过电压最大值达3.449 p.u.,非故障相A相暂态过电压最大值达2.756 p.u.。这是由于三相电压越高,系统每次燃弧、熄弧时失去的储能越大,当系统因电磁振荡引入的储能与失去的能量相等时,暂态过电压最大值趋于极限值。考虑电网泄漏和衰减的影响,实际暂态过电压最大值为3.104 p.u.,高于历史实测值。

图3 过电压与重燃次数关系
Fig.3 Relationship between over-voltage and re-ignition times
由上述研究可知,工频熄弧理论条件下过电压在电弧第2次重燃后便基本不变,而高频熄弧理论条件下过电压与重燃次数紧密相关。为全面研究混合熄弧条件下的暂态过电压,设置不同的高频熄弧出现次数及工频熄弧与高频熄弧出现顺序,不同情况下三相电压和中性点电压仿真波形如图4所示。
从图4(a)可看出,出现1次高频熄弧时,三相暂态过电压最大值为3.039 p.u.,中性点暂态过电压最大值为2.122 p.u.;从图4(b)可看出,当2次高频熄弧连续出现时,三相暂态过电压最大值为3.224 p.u.,中性点暂态过电压最大值为2.314 p.u.;从图4(c)、图4(d)可看出,当2次高频熄弧间隔出现时,三相暂态过电压最大值为3.160 p.u.,中性点暂态过电压最大值为2.183 p.u.;从图4(e)可看出,当3次高频熄弧连续出现时,三相暂态过电压最大值为3.352 p.u.,中性点暂态过电压最大值为2.361 p.u.。考虑电网泄漏和衰减的影响,实际暂态过电压最大值为2.735~3.017 p.u.,基本在历史实测值范围之内。由此可推出,高频熄弧连续出现3次以上时,暂态过电压最大值必定高于历史实测值。


(a) 工频熄弧→高频熄弧→工频熄弧


(b) 工频熄弧→高频熄弧→高频熄弧→工频熄弧


(c) 工频熄弧→高频熄弧→工频熄弧→高频熄弧


(d) 高频熄弧→工频熄弧→工频熄弧→高频熄弧


(e) 工频熄弧→高频熄弧→高频熄弧→高频熄弧→工频熄弧
图4 混合熄弧条件下仿真波形
Fig.4 Simulation waveforms under condition of hybrid arc extinction
通过上述分析可知,在混合熄弧过程中,高频熄弧出现次数越多,暂态过电压最大值越高;当高频熄弧次数一定时,高频熄弧连续出现情况下三相和中性点暂态过电压最大值比高频熄弧间隔出现时高一些。这是由于高频熄弧连续出现时,会在系统中积累大量电荷,泄放很少;而工频熄弧与高频熄弧间隔出现时,工频熄弧的出现会将高频熄弧积累在系统中的大量电荷泄放到大地。此外,参考历史实测值可知,在矿井电网实际运行中发生电弧接地故障时,一般表现为工频熄弧与高频熄弧间隔出现的状态,高频熄弧连续出现3次以上的概率很小。
(1) 工频熄弧理论条件下三相暂态过电压最大值为2.484 p.u.,略低于历史实测值;高频熄弧理论条件下三相暂态过电压最大值随电弧重燃次数的增加而增大,在电弧第7次重燃时,三相暂态过电压最大值达到极限值,为3.104 p.u.,高于历史实测值;混合熄弧条件下三相暂态过电压最大值为2.735~3.017 p.u.,基本在历史实测值范围之内。混合熄弧更能准确解释矿井供电系统弧光接地过电压的形成过程。
(2) 混合熄弧过程中,高频熄弧出现次数越多,暂态过电压最大值越高;当高频熄弧次数一定时,高频熄弧连续出现时的暂态过电压最大值比高频熄弧、工频熄弧间隔出现时更高。
(3) 在矿井供电系统发生间歇性电弧接地故障时,一般表现为工频熄弧与高频熄弧间隔出现的状态,高频熄弧连续出现3次以上的概率很小。
参考文献(References):
[1] 李书兴,王朝阳,李长江.降低间歇性弧光接地过电压的措施[J].煤矿机电,2004(5):84-86.
LI Shuxing,WANG Chaoyang,LI Changjiang.Measures of reducing intermittent arc grounding overvoltage[J].Colliery Mechanical & Electrical Technology,2004(5):84-86.
[2] 刘淑琴,宋建成.矿井10 kV供电系统单相接地故障的仿真研究[J].工矿自动化,2008,34(6):9-12.
LIU Shuqin,SONG Jiancheng.Simulation research of single-phase to ground fault of 10 kV power supply system of mine[J].Industry and Mine Automation,2008,34(6):9-12.
[3] 童奕宾,尤智文,李姝.小电阻接地系统间歇性弧光过电压分析[J].电力系统及其自动化学报,2012,24(3):116-120.
TONG Yibin,YOU Zhiwen,LI Shu.Analysis of intermittent arc overvoltages in low resistance grounded systems[J].Proceedings of the CSU-EPSA,2012,24(3):116-120.
[4] 王希平.基于Matlab的弧光接地过电压仿真研究[J].电气技术,2012(12):32-35.
WANG Xiping.Simulation research of arc grounding over-voltage based on Matlab[J].Electrical Engineering,2012(12):32-35.
[5] 韩爱芝,曾定文,鲁铁成.配电网间歇性电弧接地过电压的仿真分析与对策[J].高压电器,2010,46(1):72-75.
HAN Aizhi,ZENG Dingwen,LU Tiecheng.Simulation of intermittent arc earthing over-voltage and countermeasure[J].High Voltage Apparatus,2010,46(1):72-75.
[6] 李谦,王晓瑜,招誉颐,等.配电网间歇性电弧接地过电压抑制措施的仿真研究[J].电网技术,1994,18(5):42-48.
LI Qian,WANG Xiaoyu,ZHAO Yuyi,et al.Simulation research on the restraining measures of the intermittent arcing grounding overvoltage in the power distribution system[J].Power System Technology,1994,18(5):42-48.
[7] 张纬钹,何金良,高玉明.过电压防护及绝缘配合[M].北京:清华大学出版社,2002.
[8] 代姚.配电网铁磁谐振及弧光接地过电压特征识别与抑制方法[D].重庆:重庆大学,2010.
[9] ZHANG Huilin,ZHAO Yubo,LIU Fengzhen.Automatic tuning arc suppression coil current in a small grounding system[J].Applied Mechanics & Materials,2014,620:398-401.
[10] SCHAVEMAKER P H,VAN S L.An improved Mayr-type arc model based on current-zero measurements[J].IEEE Transactions on Power Delivery,2000,15(2):580-584.
[11] 赵新红,袁洪,车伟,等.小波变换在小电流接地电弧故障选线中的应用[J].高电压技术,2005,31(10):18-20.
ZHAO Xinhong,YUAN Hong,CHE Wei,et al.Study of arc-grounding fault selection based on wavelet analysis for the small current neutral grounding system[J].High Voltage Engineering,2005,31(10):18-20.
[12] 金海望,郑晓辉,夏岩松,等.中性点非有效接地系统故障电弧模型的搭建与仿真[J].电气自动化,2015,37(1):94-95.
JIN Haiwang,ZHENG Xiaohui,XIA Yansong,et al.Establishment and simulation of an arc model for the faults in the neutral point non-effectively grounding system[J].Electrical Automation,2015,37(1):94-95.
[13] 黄立新,黄宝富.小电阻接地系统电弧故障试验及其系统级参数优化仿真[J].电瓷避雷器,2012(6):107-110.
HUANG Lixin,HUANG Baofu.Experiment and system-level parameters optimization of arc fault in 10 kV low-resistance grounding system[J].Insulators and Surge Arresters,2012(6):107-110.
[14] 顾荣斌,蔡旭,陈海昆,等.非有效接地电网单相电弧接地故障的建模及仿真[J].电力系统自动化,2009,33(13):63-67.
GU Rongbin,CAI Xu,CHEN Haikun,et al.Modeling and simulating of single-phase arc grounding fault in non-effective earthed networks[J].Automation of Electric Power Systems,2009,33(13):63-67.
[15] 杨柳林,李德奎,陈延明,等.基于RTDS的电弧接地故障自定义建模及仿真分析[J].电力系统保护与控制,2016,44(16):137-142.
YANG Liulin,LI Dekui,CHEN Yanming,et al.User defined modeling and simulation of arc grounding fault based on RTDS[J].Power System Protection and Control,2016,44(16):137-142.
[16] 许晔,郭谋发,陈彬,等.配电网单相接地电弧建模及仿真分析研究[J].电力系统保护与控制,2015,43(7):57-64.
XU Ye,GUO Moufa,CHEN Bin,et al.Modeling and simulation analysis of arc in distribution network[J].Power System Protection and Control,2015,43(7):57-64.
[17] 刘聚财,耿蒲龙,曲兵妮,等.矿井供电系统弧光接地过电压影响因素研究[J].工矿自动化,2017,43(12):58-63.
LIU Jucai,GENG Pulong,QU Bingni,et al.Research on influencing factors of arc grounding over-voltage in mine power supply system[J].Industry and Mine Automation,2017,43(12):58-63.
[18] 要焕年,曹梅月.电力系统谐振接地[M].北京:中国电力出版社,2000.
LIU Jucai1,2, GENG Pulong1,2, QU Bingni1,2, SONG Jiancheng1,2, LUO Chao1,2, LI Xin3, TIAN Min3
(1.National & Provincial Joint Engineering Laboratory of Mining Intelligent Electrical Apparatus Technology, Taiyuan University of Technology, Taiyuan 030024, China; 2.Shanxi Key Laboratory of Mining Electrical Equipment and Intelligent Control, Taiyuan University of Technology, Taiyuan 030024, China; 3.Sihe Coal Mine, Shanxi Jincheng Anthracite Mining Group Co., Ltd., Jincheng 048006, China)
Abstract:For comprehensive research on formation process of arc grounding over-voltage in mine power supply system, a mine power supply system model and an intermittent arc grounding model were built by use of real time digital simulator, and over-voltages in processes of power frequency arc extinction, high frequency arc extinction and hybrid arc extinction were simulated. The simulation results show that the maximum transient over-voltage under condition of power frequency arc extinction theory is slightly lower than historical measured value; the maximum transient over-voltage under condition of high frequency arc extinction theory increases with the increase of arc re-ignition times, which is larger than the historical measured value; in the case of hybrid arc extinction, the more times high frequency arc extinction occurs and occurs continuously, the larger the maximum transient over-voltage is; when arc grounding fault occurs in mine power supply system, power frequency arc extinction and high frequency arc extinction alternately occurs, and probability is very low that high frequency arc extinction continuously occurs more than three times.
Key words:mine power supply system; arc grounding over-voltage; power frequency arc extinction; high frequency arc extinction; hybrid arc extinction
文章编号:1671-251X(2018)04-0069-06
DOI:10.13272/j.issn.1671-251x.2017080063
中图分类号:TD611
文献标志码:A
网络出版时间:2018-03-16 11:20
网络出版地址:http://kns.cnki.net/kcms/detail/32.1627.TP.20180316.0853.001.html
收稿日期:2017-08-26;
修回日期:2018-03-11;
责任编辑:盛男。
基金项目:国家自然科学基金资助项目(51377113,U1510112);山西省科技重大专项项目(20131101029)。
作者简介:刘聚财(1991-),男,山西盂县人,硕士研究生,主要研究方向为矿井安全供电,E-mail:1091724687@qq.com。
引用格式:刘聚财,耿蒲龙,曲兵妮,等.矿井供电系统弧光接地过电压形成过程研究[J].工矿自动化,2018,44(4):69-74.
LIU Jucai, GENG Pulong, QU Bingni,et al. Research on formation process of arc grounding over-voltage in mine power supply system[J].Industry and Mine Automation,2018,44(4):69-74.