杨硕1,2, 耿蒲龙1,2, 曲兵妮1,2, 宋建成1,2, 刘聚财1,2, 田敏3
(1.太原理工大学 矿用智能电器技术国家地方联合工程实验室, 山西 太原 030024;2.太原理工大学 煤矿电气设备与智能控制山西省重点实验室, 山西 太原 030024;3.山西晋城无烟煤矿业集团有限责任公司 寺河矿, 山西 晋城 048006)
摘要:为了全面掌握电缆绝缘中气隙缺陷处电场分布的影响因素及规律,以矿用高压XLPE电缆为研究对象,利用ANSYS有限元软件建立了包含气隙缺陷的电缆结构模型;在对绝缘中气隙的形状、尺寸与电场强度的关系进行理论分析的基础上,仿真研究了气隙的形状、尺寸、位置及绝缘层厚度对气隙中电场分布规律的影响。结果表明,4种不同形状的气隙中,椭圆柱体气隙缺陷处的电场强度最大,且垂直于绝缘中电场方向的气隙长度越大,气隙中电场强度越大;对于气隙尺寸,r值越大,气隙处电场强度越大,而气隙大小的变化对气隙处电场强度的影响并不大;对于不同半径的气隙,随着气隙距离导体屏蔽层距离的增大,气隙处最大电场强度均先增大后减小;对于给定尺寸的气隙,随着绝缘层厚度的减小,气隙中电场强度与绝缘中电场强度均相应增大。这些结论为气隙缺陷局部放电等相关研究奠定了基础,同时也为电缆的运行与维护检修提供了技术指导。
关键词:矿用高压电缆; 电缆绝缘; 气隙缺陷; 电场分布; 缺陷形状; 气隙尺寸; 绝缘厚度; 局部放电
交联聚乙烯(Cross Linked Polyethylene,XLPE)电缆因绝缘性能优良、载流量大、易于敷设、维护简便等优点,目前被广泛应用于矿井配电网中[1]。尽管高压XLPE电缆具有良好的电气特性,但在生产、安装及运行过程中极易受到外界条件和人为因素影响,电缆绝缘内部不可避免存有气隙缺陷,且绝缘内的其他缺陷如杂质放电、悬浮电位放电等也和气隙放电存在密切联系[2]。气隙、杂质和金属毛刺等处的电场极不均匀,容易在电缆绝缘中形成局部放电,长期放电作用下,绝缘会被腐蚀而老化,最终导致绝缘击穿,对矿井生产安全造成严重威胁。因此,深入研究气隙缺陷处的电场畸变情况,并探索不同影响因素下气隙处的电场分布规律对掌握电缆绝缘状态和绝缘劣化规律具有重要意义。
对于电缆绝缘中气隙缺陷问题,国内外学者进行了许多研究。文献[3]仿真分析了XLPE电缆绝缘中包含球形气隙缺陷时的电场强度畸变情况,但考虑的因素不全面。文献[4]分析了考虑气隙表面电导率时电介质中球形和圆柱形空隙的电场分布,但主要是基于简易模型的理论分析。文献[5]应用电介质极化原理分析计算了微空气隙内部电场分布,从理论上解释了固体内部发生局部放电的原因,但只是进行了推导说明,并未进行精确的数值计算。文献[6]采用模拟电荷法计算了电介质中气泡内的电场分布,此方法在计算多种介质的电场强度时存在明显的局限性。文献[7]利用ANSYS仿真软件建立了中间电缆接头模型,分析得到了不同缺陷下电场的应力分布,但针对气隙缺陷的研究并不全面。目前关于气隙缺陷局部放电机理的研究主要集中在气隙放电特征及发展阶段识别等问题上[8-10]。对气隙缺陷局部放电的研究需全面了解不同影响因素下气隙处的电场畸变情况。然而关于电缆绝缘中气隙处缺陷电场如何畸变,不同形状与尺寸的气隙对电场畸变有何影响,气隙中电场分布的影响因素等系列问题的研究则并不全面。
本文结合矿井电缆实际应用情况,以10 kV MYJV22型矿用XLPE电缆为研究对象,利用ANSYS有限元软件构建了包含气隙缺陷的电缆结构模型,在对不同介电常数的绝缘中气隙的形状、尺寸与电场强度的关系进行理论分析的基础上,仿真研究了在气隙的形状、尺寸、位置及绝缘层厚度等不同影响因素下气隙中电场分布规律,为气隙缺陷局部放电等相关研究奠定了基础,同时也为电缆制造、安装、运行与维护检修提供了技术指导,对矿井安全生产具有重大意义。
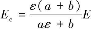
根据多层绝缘介质中静电场分布理论[11],椭圆柱体气隙中的电场强度Ec为
(1)
式中:ε为绝缘层介电常数;a,b分别为椭圆柱截面的短半轴、长半轴,当a=b时,椭圆柱体变为圆柱体;E为绝缘中电场强度。
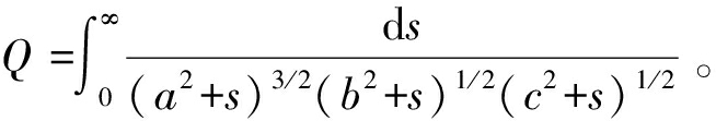
椭球体气隙中的电场强度Ee计算公式如式(2)所示。本文中仅讨论b=c的椭球体(c轴亦垂直于电场方向,其影响等同于椭圆柱的b轴),且取截面为ab或ac平面。理论分析所采取的气隙模型如图1所示(h为椭圆柱体高度)。
(2)

图1 理论分析气隙模型
Fig.1 Air gap model of theoretical analysis
式中K为椭球体的无量纲特征,K=2/(abcQ),Q为中间参量,![]()
不同形状气隙中电场强度与气隙尺寸的关系曲线如图2所示。图2中仅考虑了气隙形状及尺寸的影响,并未考虑线芯电压、气隙位置等因素的影响。由图2分析可得,在绝缘介电常数相同时,椭圆柱体气隙中电场强度与绝缘中电场强度比值始终大于椭球体气隙中电场强度与绝缘中电场强度比值,即椭圆柱体气隙的电场强度始终大于椭球体气隙电场强度。对于椭球体气隙,当b=a时,气隙为球体,气隙中电场强度约为绝缘中电场强度的1.22倍;当b>a时,气隙为扁椭球体;当b<a时,气隙为长椭球体。3种气隙中电场强度大小关系如下:扁椭球体>球体>长椭球体,即垂直于绝缘中电场E方向的b轴长度越大,气隙中电场强度也越大。对于椭圆柱体气隙,当b=a时,气隙对应为三维中的圆柱体状,气隙中电场强度约为绝缘中电场强度的1.41倍。气隙形状与尺寸相同时,其内部电场强度随着绝缘介电常数的增大而增大。

图2 不同形状气隙中电场强度与气隙尺寸的关系曲线
Fig.2 Relationship curve between field strength in different shapes air gap and air gap size
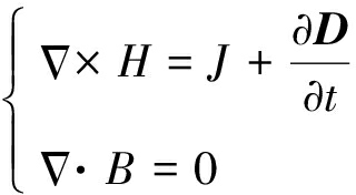
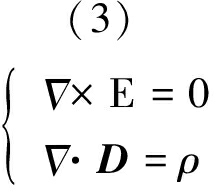
在电缆铜芯导体上施加电压,在导体周围将产生电场,由于工频电压下电场随时间变化缓慢,计算时可按电准静态场来处理[12],其基本方程为


(4)
式中:H为磁场强度;J为电流密度;D为电位移矢量;B为磁感应强度;ρ为电荷密度。
由电磁场理论可推出电准静态场求解方法所依据的基本方程为
(5)
式中:σ为介质电导率;ω为角频率。
综上分析可知,在电准静态场中,电阻率及介电常数将同时影响电场分布。
在对电缆结构进行电场分析时,模型维数的选择取决于结构的几何特征,即其轴对称特性在引入缺陷后是否被破坏。缺陷引入后电缆结构的轴对称性被破坏,则必须采用三维立体模型。本文结合矿井电缆实际应用情况,以10 kV MYJV22型矿用XLPE电缆为研究对象,按照1∶1的比例建立含不同形状气隙缺陷的电缆三维立体模型,如图3所示。模型具体几何尺寸及参数见表1。定义气隙中垂直于电场方向的长度为b,平行于电场方向的长度为a,且r=b/a。气隙形状分别为长椭球体(r<1)、球体(r=1)、扁椭球体(r>1)、椭圆柱体(r>1)。

图3 仿真计算模型
Fig.3 Simulation computation model
在ANSYS Maxwell电场仿真模块中,设定电准静态场条件,并将图3模型中气隙设置为空气(ε=1)。在电缆单元施加6 kV的相电压,金属护套屏蔽为接地。在ANSYS平台进行布尔运算与自适应网格划分,得到模型各部分参与分析的面域单元,而后对电场进行有限元分析。
表1 仿真计算模型参数
Table 1 Parameters of simulation compution model mm

气隙中电场强度易受诸多因素的影响,本文主要从气隙的形状、尺寸、位置及绝缘层厚度4个方面研究气隙中电场分布规律。
如图3模型所示,4种不同形状的气隙均距离导体屏蔽层0.5 mm。球体气隙电场分布云图如图4所示,包含气隙的电缆径向电场分布曲线如图5所示。

图4 球体气隙电场分布云图
Fig.4 Nephogram of air gap electric field distribution in sphere

图5 包含气隙的电缆径向电场分布曲线
Fig.5 Radial electric field distribution curve of cable containing air gap
由图4、图5可知,由于空气的介电常数小于绝缘材料的介电常数,故4种不同形状的气隙中电场强度均大于无气隙缺陷时绝缘中电场强度。椭圆柱体、扁椭球体、球体、长椭球体气隙缺陷处的最大电场强度分别为2.82,2.68,2.48,2.37 kV/mm。而无气隙缺陷时,相同位置绝缘层中最大电场强度为2.09 kV/mm。气隙中与绝缘中电场强度比值的仿真计算值与理论值见表2。
表2 气隙中与绝缘中电场强度比值的仿真计算值与理论值
Table 2 Simulation calculation and theoretical values of field strength in air gap and insulation

由表2可知,仿真计算值与理论值变化趋势基本一致,且在椭圆柱体气隙中两者差别最大,主要因为理论分析时仅考虑了气隙形状及尺寸的影响,并未考虑线芯电压、气隙位置等因素的影响。仿真计算值与理论值虽有差别,但变化趋势基本一致,验证了仿真模型计算分析的正确性。
分析气隙尺寸对电场分布的影响,主要考虑气隙大小与r(b/a)值大小两方面。分析气隙大小时,以图3模型中球体气隙与扁椭球体气隙为研究对象,且保持各自r值不变。设置气隙均距离导体屏蔽层0.5 mm,球体气隙半径分别设为0.1,0.2,0.3,0.4 mm;扁椭球体气隙尺寸分别取b=c=0.2 mm,a=0.1 mm;b=c=0.3 mm,a=0.15 mm;b=c=0.4 mm,a=0.2 mm;b=c=0.5 mm,a=0.25 mm。不同大小气隙处电场强度值比较如图6所示。

图6 不同大小气隙处电场强度值比较
Fig.6 Comparison of field strength values of air gap with different size
由图6可知,对于球体气隙,随着气隙半径从0.1 mm增大到0.4 mm,气隙内的最大电场强度无明显变化;对于扁椭球体气隙,随着气隙a轴与b轴长度的增大,气隙内的最大电场强度略微减小。因此可以得到,位于相同位置的气隙,气泡及其周围区域电场强度受气隙大小影响不大。但在气隙较大时,在强电场作用下绝缘会发生放电成为导体,使得绝缘中电场强度因其有效厚度的减小而增加,进而导致击穿强度的降低。
气隙尺寸r值的大小也会影响气隙中电场分布。在分析r值大小对电场分布的影响时,以图3模型中椭球体气隙为研究对象。且为了对比分析凸起与气隙2种缺陷对电场的影响,设置缺陷分别为气隙与凸起2种情形,取椭球体模型的一半紧靠导体屏蔽层进行研究,截面如图7所示。图中缺陷①—⑤的a值均设为0.3 mm,r值依次设为0.33,0.67,1.00,1.33,1.67。 包含不同r值气隙缺陷处的电缆径向电场分布曲线如图8所示。包含不同r值凸起缺陷处的电缆径向电场分布曲线如图9所示。

图7 不同r值缺陷仿真计算模型截面
Fig.7 Sectional drawing of simulation computation model with differentrvalues defects

图8 包含不同r值气隙缺陷处的电缆径向电场分布曲线
Fig.8 Radial electric field distribution curves containing air gap defects with differentrvalues in cable
由图8、图9可知,气隙缺陷①—⑤的最大电场强度依次为2.50,2.79,2.98,3.19,3.32 kV/mm,即气隙缺陷处的电场强度值随r值的增大而增大,这与图2中理论分析结果一致。凸起缺陷①—⑤的最大电场强度依次为6.17,4.85,4.02,3.51,3.25 kV/mm,即凸起缺陷处的电场强度值随r值的增大而减小。

图9 包含不同r值凸起缺陷处的电缆径向电场分布曲线
Fig.9 Radial electric field distribution curves containing protrusions defects with differentrvalues in cable
为了更清楚地对比分析2种缺陷处的电场分布,分别计算了各自的电场强度增加百分比,如图10所示。电场强度增加百分比=(E1-E2)/E2,式中,E1为有缺陷时的电场强度,E2为无缺陷时的电场强度。

图10 2种缺陷处的电场强度增加百分比
Fig.10 Percentage increasing in field strength at two defects
由图10可知,在r值较小时,凸起缺陷处电场强度明显大于气隙缺陷处电场强度;随着r值的增大,气隙缺陷处电场强度超过凸起缺陷处电场强度。气隙缺陷处电场强度增加百分比随r值的减小而缓慢减小,凸起缺陷处电场强度增加百分比随r值的减小则急剧增大。
分析绝缘中气隙位置对电场分布的影响时,以图3模型中球形气隙为研究对象,气隙半径分别设为0.3,0.5,0.7 mm。研究气隙处电场及导体屏蔽层与绝缘层界面处电场与气隙位置的关系,如图11所示。由图11可知,对于半径不同的气隙,随着气隙距离导体屏蔽层距离的增大,气隙处最大电场强度均先增大后减小。且随着气隙半径的增大,气隙处最大电场强度依次出现在距离导体屏蔽层0.1,0.2,0.5 mm处。而导体屏蔽层与绝缘层界面处电场强度则一直增大,且在2.25 kV/mm附近基本保持不变。气隙靠近导体屏蔽层时,导体屏蔽层与绝缘层界面处电场强度接近于零,且气隙中电场强度稍有减小。分析其原因:导体屏蔽层半导电材料的电阻率远小于绝缘材料的电阻率,正常情况下导体及半导电层的电位相同。即使导体与屏蔽层之间存在气隙缺陷,在气隙上也不会存在压降,因此,导体屏蔽层与绝缘层界面处电场强度接近于零。

图11 气隙位置对电场分布的影响
Fig.11 Influence of air gap position on electric field distribution
设球形气隙位于导体屏蔽层中,其半径为0.3 mm,研究气隙中电场与半导电层电阻率的关系,如图12所示。

图12 气隙中电场与半导电层电阻率的关系曲线
Fig.12 Relationship curve between field strength in air gap and resistivity of semiconducting layer
由图12可知,对于半径为0.3 mm的球形气隙,在半导电层电阻率小于103Ω·m时,气隙电场强度几乎为零;但当半导电层的电阻率高于106Ω·m时,气隙电场强度显著提升。随着电压等级的提高,微小气隙电场可能会超过空气的击穿电场强度,导致故障。半导电层的热效应要求半导电层电阻率ρ≤102Ω·m是合适的[13-15]。
分析绝缘厚度对气隙中电场分布的影响时[16-17],以图3模型中球形气隙为研究对象,气隙尺寸设为a=b=c=0.2 mm,且位于绝缘层中心位置。通过改变绝缘层厚度D,仿真得到了不同厚度下包含气隙的电缆径向电场分布规律曲线,如图13所示。计算得到不同绝缘厚度下气隙中电场强度与绝缘中电场强度的比值,见表3。

图13 不同绝缘厚度下包含气隙的电缆径向电场分布曲线
Fig.13 Radial electric field distribution curves containing air gap defects with different insulation thickness
表3 不同绝缘厚度下气隙中电场强度与绝缘中电场强度的比值
Table 3 Ratio of field strength in air gap and insulation under different insulation thickness

由图13与表3可知,对于给定尺寸的球形气隙,随着绝缘层厚度的减小,气隙中电场强度与绝缘中电场强度均相应增大;同时气隙中电场强度与绝缘中电场强度的比值亦随着绝缘层厚度的减小而增大。
结合矿井电缆实际应用情况,以10 kV MYJV22型矿用XLPE电缆为研究对象,利用ANSYS有限元软件仿真研究了在气隙的形状、尺寸、位置及绝缘层厚度等不同影响因素下气隙中电场的分布规律。
(1) 4种不同形状的气隙中电场强度均大于无气隙缺陷时绝缘中电场强度,且椭圆柱体气隙缺陷处的电场强度最大。同时,垂直于绝缘中电场方向的气隙长度越大,气隙中电场强度也越大。实际应用中应尽量避免电缆扭伤与过分弯曲。
(2) 对于气隙尺寸,r值大小的变化相比于气隙大小影响更大,且r值越大,气隙处电场强度越大。气隙越大时,绝缘中电场强度因绝缘有效厚度的减小而增加,进而导致击穿强度的降低。在气隙缺陷局部放电试验中,设置气隙大小不宜过大。
(3) 对于半径不同的气隙,随着气隙距离导体屏蔽层距离的增大,气隙处最大电场强度均先增大后减小。电缆中半导电层电阻率一般取ρ≤102Ω·m。
(4) 对于给定尺寸的气隙,随着绝缘层厚度的减小,气隙中电场强度与绝缘中电场强度均相应增大。这在高压电缆绝缘的优化减薄中是亟需关注的。
参考文献(References):
[1] 杨帆,杨旗,程鹏,等.电缆接头内部气隙放电缺陷下的绝缘劣化程度表征方法[J].电工技术学报,2017,32(2):24-32.
YANG Fan, YANG Qi, CHENG Peng, et al. Study of cracking extent for gap discharge in insulating material of power cable joint[J]. Transactions of China Electrotechnical Society, 2017,32(2):24-32.
[2] 潘浩,殷庆铎,高文胜.固体绝缘中气隙尺寸对局部放电过程的影响[J].高电压技术,2008,34(3):458-461.
PAN Hao, YIN Qingduo, GAO Wensheng. Influence of void dimensions on partial discharge in solid insulation[J]. High Voltage Engineering, 2008, 34(3):458-461.
[3] MUKHERJEE M, CHATTERJEE S, DALAI S. Electric field enhancement in an XLPE insulated power cable containing different voids and protrusions [C]// Michael Faraday Iet International Summit,Kolkata, 2016:38-43.
[4] ALISOY G T, ALISOY H Z, KOSEOGLU M. Calculation of electrical field of spherical and cylindrical gas voids in dielectrics by taking surface conductivity into consideration[J]. Compel Int International Journal for Computation & Mathematics in Electrical & Electronic Engineering, 2005, 24(4): 1152-1163.
[5] 崔乐,刘宝盈,袁训锋,等.电介质的微空气隙中电场的计算[J].电网与清洁能源,2014,30(11):23-25.
CUI Le, LIU Baoying, YUAN Xunfeng, et al. Calculation of electric field in micro-air gaps of dielectric[J]. Power System and Clean Energy, 2014,30(11):23-25.
[6] 孙敏,王燕,卢明,等.介质中气泡电场的计算分析[J].高电压技术,1999,25(1):68-70.
SUN Min, WANG Yan, LU Ming, et al. Computation of electric field in dielectric voids [J]. High Voltage Engineering,1999,25(1):68-70.
[7] 史济康,曹家,袁检,等.XLPE电力电缆中间接头复合介质沿面放电研究[J].高电压技术,2001,27(4):52-53.
SHI Jikang, CAO Jia, YUAN Jian, et al. Study on surface discharge of composite dielectric in XLPE power cable joints[J]. High Voltage Engineering, 2001, 27(4):52-53.
[8] 陈伟根,龙震泽,谢波,等.不同气隙尺寸的油纸绝缘气隙放电特征及发展阶段识别[J].电工技术学报,2016,31(10):49-58.
CHEN Weigen, LONG Zhenze, XIE Bo, et al. Characteristics and development stage recognition of air-gap discharge within oil-paper insulation considering effect of cavity size[J].Transactions of China Electrotechnical Society, 2016,31(10):49-58.
[9] 万利,周凯,李旭涛,等.以电场特征理解电缆终端气隙的局部放电发展机理[J].高电压技术,2014,40(12):3709-3716.
WAN Li, ZHOU Kai, LI Xutao, et al. Toward understanding development mechanism of partial discharge in air gap defects in cable termination by analysis of electric field characteristics [J]. High Voltage Engineering, 2014,40(12):3709-3716.
[10] WU K, SUZUOKI Y, MIZUTANI T, et al. A novel physical model for partial discharge in narrow channels [J]. IEEE Transactions on Dielectrics & Electrical Insulation, 1999,6(2):181-190.
[11] SALVAGE B. Electric stresses in gaseous cavities in solid dieletrics[J]. Proceedings of the Institution of Electrical Engineers, 1964,111(6):1162-1172.
[12] 刘刚,陈志娟.10 kV交联聚乙烯电缆终端主绝缘含空气气隙缺陷试验[J].高电压技术,2012,38(3):678-683.
LIU Gang, CHEN Zhijuan. Experiment of main insulation with air gap of 10 kV cross linked polyethylene cable terminal [J]. High Voltage Engineering, 2012,38(3):678-683.
[13] 任成燕,成永红.用数值仿真研究介电常数和气隙气压对局部放电特性的影响规律[C]// 中国电机工程学会高电压专业委员会2004年学术会议,重庆,2004:23-29.
[14] 吴炯,吴也强,王伟斌.高压塑料电力电缆半导电层界面现象的研究[J].电工技术学报,1989,4(1):31-35.
WU Jiong, WU Yeqiang, WANG Weibin. A research of boundary phenomenon in semiconducting layer of high voltage plastic power cable[J]. Transactions of China Electrotechnical Society, 1989,4(1): 31-35.
[15] 吴炯,吴南屏,谢大荣,等.高压塑料电力电缆绝缘屏蔽半导电涂层的研究[J].西安交通大学学报,1979(2):90-103.
WU Jiong,WU Nanping,XIE Darong.Study on insulating shielded semi-conductive coating of high voltage plastic power cable[J].Journal of Xi'an Jiaotong University,1979(2):90-103.
[16] NO H,BLACKBURN T R,PHUNG B T,et al.Investigation of electric field distribution in power cables with voids[C]//International Conference on Properties and Applications of Dielectric Materials,Bali,2006:637-640.
[17] 唐炬,朱黎明,麻守孝,等.绝缘油中悬移气泡局部放电特性[J]. 高电压技术,2010,36(6):1341-1346.
TANG Ju, ZHU Liming, MA Shouxiao, et al. Characteristics of suspended and mobile microbubble partial discharge in insulation oil[J]. High Voltage Engineering, 2010,36(6):1341-1346.
YANG Shuo1,2, GENG Pulong1,2, QU Bingni1,2, SONG Jiancheng1,2, LIU Jucai1,2, TIAN Min3
(1.National & Provincial Joint Engineering Laboratory of Mining Intelligent Electrical Apparatus Technology, Taiyuan University of Technology, Taiyuan 030024, China;2.Shanxi Key Laboratory of Mining Electrical Equipment and Intelligent Control, Taiyuan University of Technology, Taiyuan 030024, China;3.Sihe Coal Mine, Shanxi Jincheng Anthracite Mining Group Co., Ltd., Jincheng 048006, China)
Abstract:In order to know influence factors and laws of electric field distribution with air gap defects in cable insulation, taking mine-used high-voltage XLPE cable as research object, ANSYS finite element software was used to establish cable structure model contained air gap defect. Influence of shape, size and location of the air gap and thickness of the insulating layer on electric field distribution in the air gap was simulated and studied based on theoretical analysis of relationship between shape, size and electric field strength of air gap in insulation. Results show that electric field intensity of elliptic cylinder air gap defect is the largest of four different shapes of air gap, and the larger the air gap length in direction of insulation perpendicular to the field strength, the greater the field strength in the air gap. For size of the air gap, the larger thervalue, the greater the field strength at the air gap, and change of the air gap size has little influence on the field strength at the air gap. For different radius size of the air gap, the maximum electric field strength at the air gap increases first and then decreases with increasing of distance between the air gap and the conductor shield. For a given size of the air gap, the field strength in the air gap and the insulation increase accordingly with decreasing of thickness of the insulation. These conclusions lay foundation for partial discharge of air gap defects, and also provide technical guidance for cable operation and maintenance.
Key words:mine-used high-voltage cable; cable insulation; air gap defect; electric field distribution; defects shape; air gap size; insulation thickness; partial discharge
文章编号:1671-251X(2018)04-0044-08
DOI:10.13272/j.issn.1671-251x.2017110050
中图分类号:TD60
文献标志码:A
网络出版时间:2018-03-20 12:52
网络出版地址:http://kns.cnki.net/kcms/detail/32.1627.TP.20180319.1750.002.html
收稿日期:2017-11-24;
修回日期:2018-01-25;
责任编辑:张强。
基金项目:国家自然科学基金项目(51377113);山西省青年自然科学基金项目(201701D221240)。
作者简介:杨硕(1992-),男,山西河津人,硕士研究生,研究方向为矿用高压电缆绝缘故障分析,E-mail:1309358986@qq.com。
引用格式:杨硕,耿蒲龙,曲兵妮,等.矿用高压电缆绝缘中气隙缺陷处电场分布及影响因素分析[J].工矿自动化,2018,44(4):44-51.
YANG Shuo, GENG Pulong, QU Bingni, et al. Analysis of electric field distribution at air gap defect and its influencing factors in mine-used high-voltage cable insulation[J].Industry and Mine Automation,2018,44(4):44-51.