分析研究
孙哲星1,2
(1.中国矿业大学(北京) 机电与信息工程学院, 北京 100083;2.中国建设银行股份有限公司 北京数据中心, 北京 100068)
摘要:研究了4种基于时间测距的矿井人员定位方法:TOA、TWR、SDS-TWR和TDOA定位方法,它们受巷道环境等影响小,适用于煤矿井下人员精确定位。TOA定位方法要求发射设备和接收设备的时间必须严格准确同步,对发射设备和接收设备时钟精度要求非常高,并且要同步校准,定位卡和定位分站成本高。TWR定位方法不要求信号发射设备与接收设备时钟严格同步,降低了系统复杂度和成本,但定位精度受定位分站和定位卡的时钟误差影响,定位卡和定位分站成本较高。SDS-TWR定位方法不要求信号发射设备与接收设备时钟严格同步,降低了分站和定位卡的时钟误差对定位精度的影响,但定位精度仍受定位分站和定位卡的时钟误差影响,定位卡和定位分站成本较高。TDOA定位方法要求定位分站之间的时间必须严格准确同步,对定位分站时钟精度要求高,并且要同步校准,定位卡成本低,定位分站成本高。
关键词:矿井通信; 人员定位; 精确定位; 时间测距; TOA; TDOA; TWR; SDS-TWR
为遏制煤矿井下超定员生产,避免或减少煤矿重特大事故发生,国家安全生产监督管理总局于2007年发布了中华人民共和国安全生产行业强制标准AQ 1048—2007《煤矿井下作业人员管理系统使用与管理规范》[1]和AQ 1048—2007《煤矿井下作业人员管理系统通用技术条件》[2]。2010年《国务院关于进一步加强企业安全生产工作的通知》(国发[2010]23号)要求煤矿、非煤矿山要制定和实施生产技术装备标准,安装监测监控系统、井下人员定位系统、紧急避险系统、压风自救系统、供水施救系统和通信联络系统等安全避险“六大系统”,并于3年内完成[3]。全国煤矿和非煤矿山安装使用了矿井人员定位系统,提高了矿井安全装备水平,促进了矿山安全生产。
煤矿井下无线传输衰减大,地面GPS等卫星定位信号无法达到井下。矿井人员定位方法主要有基于无线信号强度、基于角度测量和基于时间测距的定位方法。矿井无线电信号传输受巷道分支、弯曲、倾斜、断面面积和形状、围岩介质、巷道表面粗糙度、支护、纵向导体(电缆、铁轨、水管等)、横向导体(工字钢支护等)、设备等影响[4],因此,基于无线信号强度的定位方法不适合用于矿井人员精确定位。矿井机械振动等影响定位天线,巷道分支、弯曲、倾斜和巷道中胶轮车、电机车和人员等影响基于角度测量的定位精度[5],因此,基于角度测量的定位方法不适合用于矿井人员定位。基于时间测距的定位方法的定位精度只与信号发射设备与接收设备之间信号传输时间有关,受巷道及支护、巷道中导体和设备的影响小[6-7],因此,适合用于矿井人员精确定位。下面重点研究基于时间测距的矿井人员定位方法。
TOA(Time of Arrival,到达时间)定位方法通过检测无线信号在发射设备和接收设备之间的传输时间,乘以信号传输速度c(无线电信号传输速度为光速[6]),可计算出发射设备和接收设备之间的测量距离d:
d=c|t1-t2|
(1)
式中:t1为发射设备信号发送时刻;t2为接收设备信号接收时刻。
TOA定位方法的定位精度与信号传输时间有关,与信号强度无关,定位精度不受信号发送功率、接收灵敏度和信号传输衰减影响(但应保证信号正确接收)。巷道分支、弯曲、倾斜、断面面积和形状、围岩介质、巷道表面粗糙度、支护、纵向导体(电缆、铁轨、水管等)、横向导体(工字钢支护等)、设备等造成的信号传输衰减,不影响TOA定位精度。TOA定位方法适用于煤矿井下人员精确定位。但是,TOA定位方法要求发射设备和接收设备的时间必须严格准确同步,对发射设备和接收设备时钟精度要求非常高,并且要同步校准,定位卡和定位分站成本高。
为减少发射设备和接收设备时钟误差对定位精度的影响,TWR(Two-Way Ranging,双程测距)定位方法和SDS-TWR(Symmetric Double-Sided Two-Way Ranging,双边双程测距)定位方法被提出来了。
TWR定位方法是TOA定位方法的改进方法,通过定位分站与定位卡之间的双向信号传输实现测距,如图1所示。

图1 TWR定位方法测距原理
Fig.1 Range principle of TWR positioning method
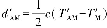
TWR定位方法测距计算公式为
(2)
式中:dAM为定位分站到定位卡之间的测量距离;TAM为分站从发送测距信号到接收定位卡反馈信号的时间;TM为定位卡从接收到测距信号到反馈信号的延迟时间[8-10],即定位卡的数据处理时间,TM与定位卡处理器速度和时钟频率等因素相关,由于时钟频率精度不同,不同定位卡的TM值不同。
设eA为定位分站的时钟频偏,eM为定位卡的时钟频偏,
为分站从发送测距信号到接收定位卡反馈信号的真实时间,
为定位卡从接收到测距信号到反馈信号的真实延迟时间,则有
TAM=
(1+eA)
(3)
TM=
(1+eM)
(4)
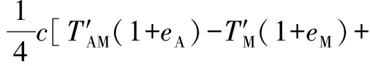
设
为定位分站到定位卡之间的真实距离,定位误差为ΔdAM,则有
(5)
dAM=
+ΔdAM
(6)
ΔdAM=dAM-
=
(7)
从以上分析可看出,TWR定位方法适用于煤矿井下人员精确定位,不要求信号发射设备与接收设备时钟严格同步,降低了系统复杂度和成本,但其定位精度受定位分站和定位卡的时钟误差影响,定位卡和定位分站成本较高。
SDS-TWR定位方法是TWR定位方法的进一步改进,是在TWR测距过程基础上,定位卡再主动与定位分站进行一次双向信号传输过程实现测距,如图2所示。

图2 SDS-TWR定位方法测距原理
Fig.2 Range principle of SDS-TWR positioning method
SDS-TWR测距计算公式为
(8)
式中:TMA为定位卡从发送测距信号到接收到分站反馈信号的时间;TA为分站从接收到测距信号到反馈信号的延迟时间,即分站的数据处理时间,TA与分站处理器速度和时钟频率等因素相关,不同分站延迟时间不同。
设
为定位卡从发送测距信号到接收到分站反馈信号的真实时间,
为分站从接收到测距信号到反馈信号的真实延迟时间,则有
TAM=
(1+eA)
(9)
TM=
(1+eM)
(10)
TMA=
(1+eM)
(11)
TA=
(1+eA)
(12)
定位分站到定位卡之间的真实距离
为
(13)
定位分站到定位卡之间的测量距离dAM为
dAM=
+ΔdAM
(14)
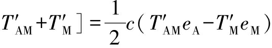
由式(8)—式(14)可得
ΔdAM=dAM-
=
(1+eM)-
(1+eA)-
+
-
+
]=
(15)
从以上分析可看出,SDS-TWR定位方法适用于煤矿井下人员精确定位,不要求信号发射设备与接收设备时钟严格同步,降低了分站和定位卡的时钟误差对定位精度的影响,但定位精度仍受定位分站和定位卡的时钟误差影响,定位卡和定位分站成本较高。
TDOA(Time Difference of Arrival,到达时间差)定位方法除需要人员定位卡外,至少需要2个固定定位分站A和B,A和B之间的距离已知。人员定位卡发送信号,固定定位分站A和B接收信号,分别记录信号到达时刻t3和t4,通过计算到达时间差可计算出人员定位卡与固定定位分站A和B的距离差d,进而计算出人员定位卡与固定定位分站A和B的距离。人员定位卡与固定定位分站A和B的距离差d为
d=c|t3-t4|
(16)
从以上分析不难看出,TDOA定位方法的定位精度与固定定位分站A和B接收定位信号的时刻t3和t4有关,与信号强度无关,定位精度不受信号发送功率、接收灵敏度和信号传输衰减影响(但应保证信号正确接收)。TDOA定位方法定位精度不受巷道分支、弯曲、倾斜、断面面积和形状、围岩介质、巷道表面粗糙度、支护、纵向导体(电缆、铁轨、水管等)、横向导体(工字钢支护等)、设备等造成的信号传输衰减影响[11-12]。因此,TDOA定位方法适用于煤矿井下人员精确定位。但是,TDOA定位方法要求定位分站之间的时间必须严格准确同步,对定位分站时钟精度要求高,并且要同步校准,定位卡成本低,定位分站成本高。
(1) TOA定位方法受巷道环境等影响小,适用于煤矿井下人员精确定位,但要求发射设备和接收设备的时间必须严格准确同步,对发射设备和接收设备时钟精度要求非常高,并且要同步校准,定位卡和定位分站成本高。
(2) TWR定位方法是TOA定位方法的改进方法,同样适用于煤矿井下人员精确定位,不要求信号发射设备与接收设备时钟严格同步,解决了TOA定位方法要求信号发射设备与接收设备时钟严格同步的难题,降低了系统复杂度和成本,但定位精度受定位分站和定位卡的时钟误差影响,定位卡和定位分站成本较高。
(3) SDS-TWR定位方法是TWR定位方法的改进方法,同样适用于煤矿井下人员精确定位,不要求信号发射设备与接收设备时钟严格同步,降低了分站和定位卡的时钟误差对定位精度的影响,但定位精度仍受定位分站和定位卡的时钟误差影响,定位卡和定位分站成本较高。
(4) TDOA定位方法受巷道环境等影响小,适用于煤矿井下人员精确定位,但要求定位分站之间的时间必须严格准确同步,对定位分站时钟精度要求非常高,并且要同步校准,定位卡成本低,定位分站成本高。
参考文献(References):
[1] AQ 1048—2007煤矿井下作业人员管理系统使用与管理规范[S].
[2] AQ 6210—2007 煤矿井下作业人员管理系统通用技术条件[S].
[3] 中华人民共和国国务院.国务院关于进一步加强企业安全生产工作的通知[EB/OL].(2010-07-23)[2017-10-11]. http://www.chinacoal-safety.gov.cn/newpage/Contents/Channel_20620/2010/0723/133407/content_133407.htm.
[4] 孙继平. 互联网+煤矿监控与通信[M].北京:煤炭工业出版社,2016.
[5] 孙继平.煤矿事故特点与煤矿通信、人员定位及监视新技术[J].工矿自动化,2015,41(2):1-5.
SUN Jiping. Characteristics of coal mine accidents and new technologies of coal mine communication, personnel positioning and monitoring [J]. Industry and Mine Automation,2015,41(2):1-5.
[6] 孙继平.煤矿井下人员位置监测技术与系统[J].煤炭科学技术,2010,38(11):1-5.
SUN Jiping. Personnel position monitoring technology and system in underground mine[J]. Coal Science and Technology,2010,38(11):1-5.
[7] LIU Yi.Study of a channel assignment model at underground strap cell communication system[C]// 2012 9th International Conference on Fuzzy Systems and Knowledge Discovery, Chongqing, 2012:2979-2982.
[8] 蒋恩松. 矿井扩频测距定位方法研究[D].北京:中国矿业大学(北京),2017.
[9] 刘毅.基于三向加速度数据的井下移动通信设备定位[J]. 工矿自动化,2016,42(4):70-73.
LIU Yi. Positioning of underground mobile communication device based on three direction acceleration data [J]. Industry and Mine Automation,2016,42(4):70-73.
[10] 孙继平,蒋恩松.基于WiFi信号二次扩频的矿井TOA测距方法[J].工矿自动化,2017,43(10):53-58.
SUN Jiping,JIANG Ensong. Mine TOA ranging method based on re-spread spectrum to WiFi signal[J].Industry and Mine Automation,2017,43(10):53-58.
[11] 李晨鑫.矿井人员精确定位及唯一性检测关键技术研究[D].北京:中国矿业大学(北京),2014.
[12] 孙继平,李晨鑫. 基于WiFi和计时误差抑制的TOA煤矿井下目标定位方法[J].煤炭学报,2014,39(1):192-197.
SUN Jiping,LI Chenxin. TOA underground coal mine target positioning method based on WiFi and timing error suppression[J]. Journal of China Coal Society, 2014,39(1):192-197.
SUN Zhexing1,2
(1.School of Mechanical Electronic and Information Engineering, China University of Mining and Technology (Beijing), Beijing 100083,China; 2.Beijing Data Center, China Construction Bank, Beijing 100068, China)
Abstract:Four kinds of mine personnel positioning methods based on time range were researched, namely TOA, TWR, SDS-TWR and TDOA positioning methods, they are less influenced by roadway environment and suitable for mine personnel precise positioning.TOA positioning method requires time of transmitting device and receiving device must be strictly and accurately synchronized, clock accuracy requirement of transmitting device and receiving device is very high with synchronous calibration, so its positioning card and substation cost high. TWR positioning method does not need to strictly synchronize in clock of signal transmitting device and receiving device, so complexity and cost of its positioning system is reduced, but its positioning precision is affected by clock error of positioning card and substations, positioning card and substation cost high. SDS-TWR positioning method does not need to strictly synchronize in clock of signal transmitting device and receiving device, so influence of clock error of its positioning substation and card on positioning precision is reduced, but its positioning precision is affected by clock error of positioning card and substations , positioning card and substation cost high. TDOA positioning method requires time between positioning substations must be strictly and accurately synchronized, and clock accuracy requirement of positioning substations is very high with synchronous calibration, positioning card cost lower and positioning substation cost higher.
Key words:mine communication; personnel positioning; accurate positioning; time range; TOA; TDOA; TWR; SDS-TWR
文章编号:1671-251X(2018)04-0030-04
DOI:10.13272/j.issn.1671-251x.17297
中图分类号:TD655
文献标志码:A
网络出版时间:2018-03-28 13:33
网络出版地址:http://kns.cnki.net/kcms/detail/32.1627.TP.20180328.0918.001.html
收稿日期:2017-11-20;
修回日期:2018-01-26;
责任编辑:张强。
基金项目:国家重点研发计划资助项目(2016YFC0801800);国家自然科学基金重点资助项目(51134024);国家高技术研究发展计划(863计划)资助项目(2012AA0622031)。
作者简介:孙哲星(1984-),女,山西翼城人,工程师,博士研究生,研究方向为矿井人员定位,E-mail:1308474693@qq.com。
引用格式:孙哲星.基于时间测距的矿井人员定位方法研究[J].工矿自动化,2018,44(4):30-33.
SUN Zhexing. Research on mine personnel positioning method based on time range[J].Industry and Mine Automation,2018,44(4):30-33.