关丙火
(神华神东煤炭集团有限责任公司, 陕西 神木 719315)
摘要:针对现有井下带式输送机煤量激光仪器检测方式未提出明确激光线提取方法的问题,提出了一种基于激光扫描的带式输送机瞬时煤量检测方法。通过数字摄像仪和激光仪器获取带式输送机上散煤的图像,利用Ohta颜色空间特性提取激光线轮廓,并进行基于索引表的激光线细化和连接处理;根据离线获取的基线和实时获取的激光线,采用梯形面积累积法计算散煤的截面面积,实时获取带式输送机的瞬时煤量。测试结果表明,该方法检测结果与实际煤量匹配,准确性高,实时性好。
关键词:带式输送机; 煤量检测; 瞬时煤量; 激光扫描; 激光线提取; Ohta颜色空间
带式输送机是煤炭生产的重要装备,其能源消耗较大,有必要进行节能降耗。实现带式输送机调速控制、节能降耗的关键是瞬时煤量检测[1-4]。井下带式输送机煤量检测方式可分为接触式检测和非接触式检测。接触式检测有胶带秤检测、核子秤检测等;非接触检测有视频检测和激光仪器检测等[5]。与其他方式相比,激光仪器检测方式可提高带式输送机瞬时煤量检测的实时性和准确性,实现带式输送机上散煤输送量的快速、准确、连续、稳定测量。相关专家学者对激光仪器检测方式进行了研究,如张文军等[6]实现了基于激光三维扫描的不规则煤场测量系统设计,曾飞等[7]提出了带式输送机物料瞬时流量激光测量方法。上述研究的不足之处是没有提出明确的激光线提取方法。本文在此基础上,提出了一种基于激光扫描的带式输送机瞬时煤量检测方法,通过引入Ohta颜色空间和改进索引表实现激光线的获取。首先对获取的激光图像进行预处理,确定感兴趣区域(Region of Interest,ROI);在ROI内,利用Ohta颜色空间的特性提取激光线轮廓,并进行细化和连接处理;结合离线获取的基线实时计算煤量大小。测试结果表明,该方法可有效检测煤量大小,满足实时性要求,为后期的调速控制提供了可靠的数据来源。
基于激光扫描的煤量检测模型如图1所示。

图1 基于激光扫描的煤量检测模型
Fig.1 Coal quantity detection model based on laser
在井下带式输送机上方分别安装激光仪器和数字摄像仪。激光仪器垂直照射于带式输送机上,数字摄像仪以一定角度照射带式输送机,使激光仪器和数字摄像头照射区域汇合,使上位机获取的图像达到最优处理条件。上位机软件基于实时激光线扫描结构,提取带式输送机上散煤堆放轮廓线;结合空载时输送带的凹槽结构,提取出固定照射角度下煤的截面图像;再结合散煤属性,采用散煤截面积计算方法得出瞬时煤量数据。
激光投射到煤流面上产生的激光线与投射到无煤的带式输送机上产生的激光线不同,两者之间有一个形变,这种形变可以反映煤流的深度信息[8],根据煤流的深度信息可计算瞬时煤量。
基于激光扫描的带式输送机瞬时煤量检测流程如图2所示,主要分为基线获取模块和实时检测模块。基线获取模块在带式输送机空载和满载的状态下,通过激光线提取、激光线细化及连接处理等获取基线;实时检测模块通过基线和实时获取的激光线计算瞬时煤量。

图2 瞬时煤量检测流程
Fig.2 Detection process of instantaneous coal quantity
图像预处理包括ROI获取和去燥处理,在此基础上,利用Ohta颜色空间获取激光线,并进行基于索引表的细化处理;对细化的图像进行连接处理,将实时获取的激光线与基线进行融合,形成眼图,计算面积,从而获取实时煤量。
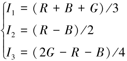
散煤图像总体颜色灰度较多,红色激光线和激光图像背景存在差异,因此,选定Ohta颜色空间进行特征量分割[9],即采用R,G,B线性变换进行区域分割,获取有效的颜色特征。Ohta颜色空间与其他非线性颜色空间相比,能够更好地保留颜色真实性,且计算简单。Ohta颜色空间的计算公式[10]为

(1)
式中:I1,I2,I3为Ohta颜色空间的3个正交特征分量;R,G,B分别为红、绿、蓝3个通道的颜色值。
I1主要体现图像颜色的亮度,当激光扫描到带式输送机上时,具有较高亮度的红色激光线比较突出,便于进行激光线的提取。相比在RGB彩色图像中进行颜色分割、激光线提取,Ohta颜色空间更容易实现,I1,I2更能准确反映激光线的颜色特性。根据激光线的特性,设定I1⊂[100,200],I2⊂[100,220]。
随机选取一段激光视频进行实验,实验结果如图3所示。

(a) 原图

(b) 基于RGB的激光线提取结果

(c) 基于Ohta的激光线提取结果
图3 激光线提取效果对比
Fig.3 Contrast of laser line extraction effect
对比分析图3(b)和图3(c)可知,基于Ohta颜色空间的激光线提取方法效果更好。
为了更加准确地获取激光线条,减小光照和噪声的影响,对激光线进行细化和连接处理。 基于索引表的细化算法通过结构元素和图像进行相关计算,获取目标像素的拓扑信息[11-12]。细化处理的判定依据是一张索引表,计算细化点八邻域的权值并通过索引表进行查询,如果索引表中相应的值是1,则删除该点。对待细化图像的二值图分别进行竖直方向和水平方向的细化,反复计算,直至没有前景点被删除。
在细化过程中主要存在的问题是当遇见整块的前景时,则细化的值为最边缘线。本文在水平扫描图像时,先判断每点的左右邻域点,若均为前景像素点,则不处理该点;若某前景点已被删除,则跳过其右邻点,处理水平方向的下一点。垂直方向同理。
激光线细化和连接实验结果如图4所示。对激光线进行细化和连接处理后,可有效减少因激光线断开而产生的错误及因噪声引起的问题。

(a) 原图

(b) 激光线细化结果

(c) 激光线连接结果
图4 激光线细化和连接结果
Fig.4 Laser line thinning and connection
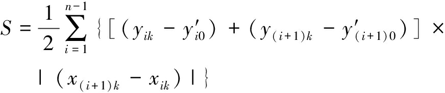
提取到带式输送机上散煤激光线轮廓后,可根据激光扫描出的点坐标进行截面积近似计算[13-14],从而获取煤量的大小。本文使用梯形面积累积方法进行截面积计算。假定每相邻两点之间连线为线性变化,则相邻两点在x轴垂直方向截取的图形可近似成梯形,如图5所示。

图5 梯形面积累积方法
Fig.5 Trapezoidal area accumulation method
假设煤流轮廓最左边是起始点H1k(x1k ,y1k)(k为煤量系数),最右边是终止点Hnk(xnk ,ynk)(n>1)。根据带式输送机空载时激光扫描情况,提取空载时输送机轮廓数据H10(
,
),H20(
,
),…,Hn0(
,
)。煤矿井下带式输送机为三托辊承载,左边和右边托辊与x轴成一定角度,因此可将空载时带式输送机形状近似为梯形;有负载时带式输送机上煤流轮廓形状可近似为不规则椭圆。纵向分割截面,分别计算每2个点之间的梯形面积,即图5中Hik(xik ,yik)到Hjk(xjk ,yjk)段与对应空载时Hi0(
,
)到Hj0(
,
)段4点围成的第i个闭合区域面积Si,计算公式为
(1≤i≤n,1≤j≤n)
(2)
根据提取的激光轮廓形状,可以将截面分为n-1个垂直于x轴的梯形,即将煤流轮廓的整个截面积分为n-1个梯形面积,则总截面积为n-1个小梯形面积之和。依据输送机实际带速和截面面积,得出单位时间内的散煤体积,再根据煤矿单位体积煤量系数便可以计算出瞬时煤量数据,计算公式为

(3)
M=SVk/Qmax
(4)
式中:S为截面面积;M为瞬时煤量;V为带式输送机实际带速;Qmax为满载煤量。
为了验证基于激光扫描的煤量检测方法的有效性,在神华集团哈拉沟煤矿102带式输送机上进行了测试,部分煤量检测结果如图6所示。

(a) 空载

(b) 煤量较少

(c) 煤量较多
图6 煤量检测结果
Fig.6 Result of coal quantity detection
图6(a)中,带式输送机处于空载状态,检测煤量为0%;图6(b)中,带式输送机煤量较少,检测煤量为41%;图6(c)中,带式输送机上存在大量煤,检测煤量为93%,所以给出了预警提示。从图6可见,检测结果与实际煤量匹配。对大量图像处理时间进行统计,平均处理时间为14.6 ms,满足带式输送机煤量检测的实时性要求。
提出了一种基于激光扫描的带式输送机瞬时煤量检测方法。该方法主要结合激光线在煤流面上的形变特性,通过分析空载时获取的基线与实时分析的激光线之间的深度信息计算煤量。在哈拉沟煤矿102带式输送机上的测试结果表明,该方法不仅可以准确地检测煤量的大小,而且满足矿井对实时性的要求,为后期调速控制提供了更加可靠的基础信息。
参考文献(References):
[1] 陶伟忠.基于视频的煤矿带式输送机自动调速控制系统[J].煤炭科学技术,2017,45(5):28-33.
TAO Weizhong. Automatic speed control system of mine belt conveyor based on video[J]. Coal Science and Technology, 2017, 45(5):28-33.
[2] 肖鸿亮. 带式输送机的输送量检测与节能控制系统的研究[D]. 沈阳:东北大学,2014.
[3] 高兴源.带式输送机节能降耗控制方法探究[J].能源与节能,2016(5):92-93.
GAO Xingyuan. Discussion on the control method of energy-saving and consumption reducing of belt conveyor[J]. Energy and Energy Conservation,2016(5):92-93.
[4] 许军.大距离胶带运输机动态调速效益分析[J].选煤技术,2017(3):71-74.
XU Jun.Analysis of the benefits obtained through realizing dynamic speed control of long belt conveyor[J].Coal Preparation Technology,2017(3):71-74.
[5] 张延芝.基于激光扫描技术的带式输送机非接触式输送量检测系统的应用与研究[D].沈阳:东北大学,2014.
[6] 张文军,舒新前,姜洪才,等. 基于激光三维扫描的不规则煤场测量系统设计[J]. 煤炭科学技术,2009,37(5):111-114.
ZHANG Wenjun,SHU Xinqian,JIANG Hongcai,et al. Design on survey system of irregular coal storage yard based on laser 3D scanning[J].Coal Science and Technology,2009,37(5):111-114.
[7] 曾飞,吴青,初秀民,等.带式输送机物料瞬时流量激光测量方法[J].湖南大学学报(自然科学版),2015,42(2):40-47.
ZENG Fei,WU Qing,CHU Xiumin,et al.Measurement of material instantaneous flow on belt conveyors based on laser scanning[J].Journal of Hunan University(Natural Sciences),2015,42(2):40-47.
[8] 刘玉宝.线结构光三维测量关键技术研究[D].厦门:华侨大学,2014.
[9] 吴冬梅,杨娟利,王静.基于Ohta颜色空间的火焰检测[J].电视技术,2016,40(6):140-143.
WU Dongmei,YANG Juanli,WANG Jing.Flame recognition based on Ohta color space[J].Video Engineering,2016,40(6):140-143.
[10] 严云洋,唐岩岩,郭志波,等.融合色彩和轮廓特征的火焰检测[J].微电子学与计算机,2011,28(10):137-141.
YAN Yunyang,TANG Yanyan,GUO Zhibo,et al.Fusion of flame color and its contour for fire detection[J].Microelectronics & Computer,2011,28(10):137-141.
[11] 李瑜芳.彩色结构光条纹中心线提取方法研究[D].长春:吉林大学,2011.
[12] 付敏.彩色地图等高线的自动提取与补断研究[D].成都:四川师范大学,2013.
[13] 李汉超. 基于激光三角法的物料体积计量方法研究[D]. 合肥:合肥工业大学,2015.
[14] 张成博.基于激光扫描的料场测量系统的研究[D].武汉:武汉理工大学,2012.
GUAN Binghuo
(Shenhua Shendong Coal Group Co., Ltd., Shenmu 719315, China)
Abstract:In view of problem that existing coal quantity detection method with laser instrument does not propose a clear method for laser line extraction, a detection method of instantaneous coal quantity of belt conveyor based on laser scanning was proposed. Image of loose coal on belt conveyor is obtained by digital camera and laser instrument, and laser line profile is extracted by using characteristics of Ohta color space, then laser line thinning and connection processing based on index table are performed. According to offline acquired baseline and laser line acquired in real time, cross-sectional area of coal is calculated using trapezoidal area cumulative method, and instantaneous coal quantity of belt conveyor is obtained real-timely. Test results show that coal quantity detection result of the method matches actual coal quantity, and the method has high accuracy and good real-time performance.
Key words:belt conveyor; coal quantity detection; instantaneous coal quantity; laser scanning; laser line extraction; Ohta colour-space
收稿日期:2017-12-01;
修回日期:2018-02-08;
责任编辑:胡娴。
基金项目:国家重点研发计划项目(2017YFC0804302)。
作者简介:关丙火(1982-),男,河南武陟人,工程师,从事煤矿机电信息化和自动化研究工作,E-mail:guanbinghuo@126.com。
引用格式:关丙火.基于激光扫描的带式输送机瞬时煤量检测方法[J].工矿自动化,2018,44(4):20-24.
GUAN Binghuo. Detection method of instantaneous coal quantity of belt conveyor based on laser scanning[J].Industry and Mine Automation,2018,44(4):20-24.
文章编号:1671-251X(2018)04-0020-05
DOI:10.13272/j.issn.1671-251x.17302
中图分类号:TD634.1
文献标志码:A
网络出版时间:2018-03-08 12:29
网络出版地址:http://kns.cnki.net/kcms/detail/32.1627.TP.20180308.1157.001.html