李新恒1, 龚立娇1,2, 冯力3, 孙翔宇1, 李阳1, 李辉1,2
(1.石河子大学 机械电气工程学院, 新疆 石河子 832003; 2.重庆大学 输配电装备及系统安全与
新技术国家重点实验室, 重庆 400044; 3.国网辽宁省电力有限公司 营口供电公司, 辽宁 营口 115000)
摘要:建立了三线圈磁耦合谐振式无线电能传输系统的等效电路模型,推导出系统传输功率和传输效率公式,得出了系统在临界耦合状态下获得最大传输功率时的耦合因数关系,给出了耦合因数与频率分裂点之间的关系表达式,分析了系统频率特性。理论分析结果表明:在过耦合状态下,系统发生频率分裂现象,会出现3个频率分裂点;在临界耦合状态和欠耦合状态下,系统只在固有谐振频率处发生谐振;无论有没有发生频率分裂现象,系统均在固有谐振频率处发生谐振,此时系统传输功率达到最大。仿真和实验结果验证了理论分析的正确性。
关键词:无线电能传输; 磁耦合谐振; 三线圈; 频率特性; 频率分裂; 谐振频率
磁耦合谐振式无线电能传输技术是一种以电磁场为传输介质,利用具有相同谐振频率的电磁耦合系统,通过磁耦合谐振作用实现远距离、大功率、高效率能量传输的技术[1-2]。国内外研究表明,磁耦合谐振式无线电能传输系统存在“临界耦合距离”,使系统的传输功率和效率达到最大[3-5];当系统传输距离小于临界耦合距离时,系统由临界耦合状态转换到过耦合状态,会发生明显的频率分裂现象,导致系统在原谐振频率点的效率降低,而在谐振频率分裂点的效率较高[6-8]。文献[9]运用等效电路理论分析了两线圈磁耦合谐振式无线电能传输系统的频率分裂现象,得出在过耦合状态下传输功率会出现2个峰值点,而传输效率则不会出现该现象。文献[10]分析了线圈自谐振和外接调谐电容的磁耦合无线电能传输系统,得出线圈自谐振时系统不存在频率分裂现象,而外接调谐电容后系统在近距离会发生频率分裂现象,但该结论具有一定的局限性。文献[11]研究了两线圈和三线圈无线电能传输系统的频率分裂现象,得到了决定过耦合区域的临界耦合因数。文献[12]分析了四线圈磁耦合谐振式无线电能传输系统的频率特性,提出通过调节源线圈与发射线圈及接收线圈与负载线圈之间的互感来抑制系统的频率分裂,提高在原谐振频率处的传输效率。
本文在上述研究成果的基础上,建立了三线圈磁耦合谐振式无线电能传输系统的等效电路模型,推导出系统传输功率和传输效率公式,得出了系统临界耦合状态下获得最大传输功率时的耦合因数关系,给出了耦合因数与频率分裂点之间的关系表达式,分析了系统频率特性,利用COMSOL Multiphysics软件对系统进行了仿真并搭建了实验平台,验证了理论分析的正确性。
三线圈磁耦合谐振式无线电能传输系统主要包括高频电源、发射线圈、中继线圈、接收线圈和负载,如图1所示。
s为高频电源;C1,C2,C3分别为发射线圈、中继线圈、接收线圈的调谐电容;d1,d2分别为发射线圈与中继线圈、中继线圈与接收线圈之间的距离;RL为负载电阻。线圈均采用相同结构的平面螺旋线圈。因平面螺旋线圈具有较强的电感性,加入调谐电容可使系统发生耦合谐振,以实现磁场能量高效传递,提高系统的传输功率和效率[13-14]。
根据图1建立三线圈磁耦合谐振式无线电能传输系统等效电路,如图2所示。R1,R2,R3分别为发射线圈、中继线圈、接收线圈的等效电阻;L1,L2,L3分别为发射线圈、中继线圈、接收线圈的等效电感;
1,
2,
3分别为发射线圈、中继线圈、接收线圈回路电流;Rs为电源
s的内阻;k1,k2分别为发射线圈与中继线圈、中继线圈与接收线圈之间的耦合因数,忽略不相邻线圈之间的耦合因数。

图1 三线圈磁耦合谐振式无线电能传输系统组成
Fig.1 Constitute of three-coil magnetic coupling resonant wireless power transmission system

图2 三线圈磁耦合谐振式无线电能传输系统等效电路
Fig.2 Equivalent circuit of three-coil magnetic coupling resonant wireless power transmission system
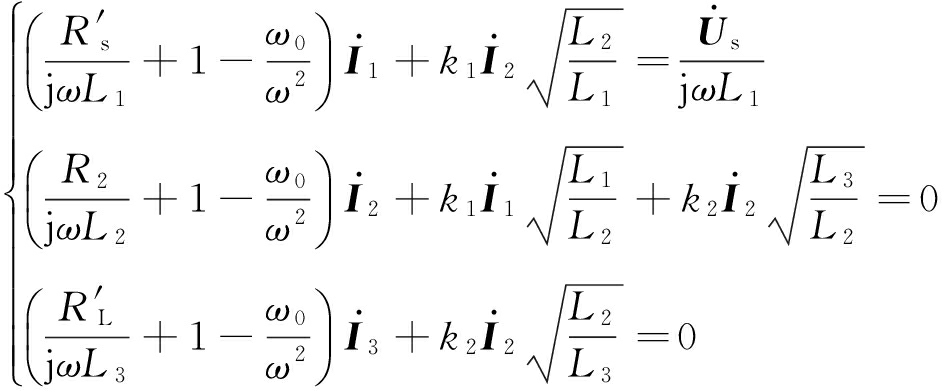
根据基尔霍夫电压定律可得

(1)
式中:
=Rs+R1;
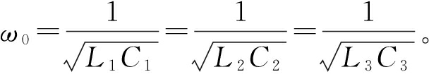
=RL+R3;ω为系统角频率,ω=2πf,f为高频电源频率;ω0为系统谐振角频率,![]()
根据式(1)可得谐振状态下各线圈回路电流:

(2)
由式(2)计算得到系统传输功率PL和效率η:

(3)
式中:
;
;![]()
令∂PL/∂(k1/k2)=0,可得系统在临界耦合状态下获得最大传输功率所需的条件:
(4)
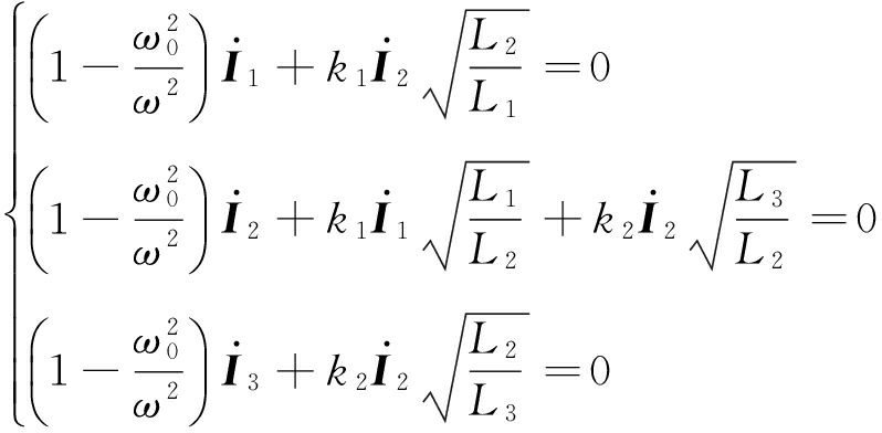
当系统传输距离小于临界耦合距离,中继线圈分别与发射线圈、接收线圈之间的强耦合导致系统发生频率分裂。系统在无阻尼状态下时,根据式(1)可得

(5)
根据式(5)可得

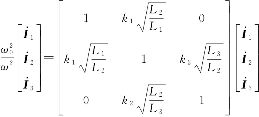
(6)
令
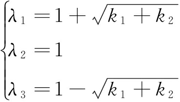
由|λE-A|=0可得特征值:

(7)
由式(7)可得系统频率分裂点对应的角频率:

(8)
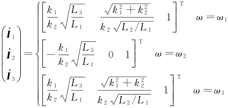
ω1,ω2,ω3对应的各线圈回路电流分别为

(9)
由于线圈之间的耦合因数和传输距离呈反比[15],结合式(8)和式(9)可看出:随着传输距离的减小,k1,k2逐渐增大,系统达到过耦合状态,会出现3个频率分裂点,且其中1个频率分裂点在固有谐振频率点处;当传输距离逐渐增大,系统由临界耦合状态到欠耦合状态,系统只在固有谐振频率点处发生谐振;无论有没有发生频率分裂现象,系统均在固有谐振频率点处发生谐振,此时系统传输功率达到最大。
在COMSOL Multiphysics软件中建立三线圈磁耦合谐振式无线电能传输系统仿真模型,模型参数见表1。
表1 模型参数
Table 1 Model parameters

考虑到中继线圈离发射线圈或接收线圈过近时会出现频率分裂现象,系统传输到接收端的能量非常少[16],本文仅针对中继线圈与发射线圈、接收线圈等距的情况进行仿真。仿真得到中继线圈回路电流和负载线圈回路电流在不同传输距离下随频率变化的曲线,如图3所示。

(a) 中继线圈回路电流随频率变化曲线

(b) 负载线圈回路电流随频率变化曲线
图3 不同传输距离下中继线圈、负载线圈回路
电流随频率变化曲线
Fig.3 Curves of loop current of repeating coil and load coil varying with frequency under different transmission distance
从图3(a)可看出,传输距离小于65 mm时,中继线圈回路电流会出现2个峰值点,当频率为6.6 MHz时,中继线圈回路电流接近0;传输距离不小于65 mm时,频率分裂现象消失,中继线圈回路电流逐渐增大。从图3(b)可看出,无论有没有频率分裂现象,负载线圈回路电流在固有谐振频率点6.6 MHz附近达到最大;在其他频率分裂点处,负载线圈回路电流同样有较大值。
仿真得到系统传输功率和传输效率在不同传输距离下随频率变化的曲线,如图4所示。
从图4(a)可看出,当传输距离小于65 mm,传输功率出现3个峰值,系统发生频率分裂现象,其中1个频率分裂点始终在谐振频率点左右,且频率分裂具有一定对称性;当传输距离不小于65 mm,频率分裂现象消失,系统传输功率随着传输距离的增加而减小,且明显小于频率分裂点处的传输功率,并在谐振频率点处达到最大值。从图4(b)可看出,当传输距离小于65 mm,系统传输效率出现多个峰值,且随着传输距离的减小,频率分裂点个数由2个增加到3个,此时在谐振频率点处的传输效率低于其他2个频率分裂点;当传输距离不小于65 mm,频率分裂现象消失,系统传输效率随着传输距离的增加而减小,并在谐振频率点处达到最大值。

(a) 传输功率随频率变化曲线

(b) 传输效率随频率变化曲线
图4 不同传输距离下传输功率和传输效率随
频率变化曲线
Fig.4 Curves of transmission power and transmission efficiency varying with frequency under different transmission distance
在实验室搭建了三线圈磁耦合谐振式无线电能传输系统,实验装置如图5所示。信号发生器与功率放大器组成高频电源,将电源与发射线圈相连接,负载电阻连接到接收线圈,中继线圈放置在发射线圈和接收线圈中间。设置系统谐振频率为6.6 MHz,采用与仿真参数相同的平面螺旋线圈,并通过阻抗分析仪LCR-8110G测得该频率下各线圈等效电路参数及调谐电容参数,见表2。

图5 实验装置
Fig.5 Experimental device
实验中由近及远地改变发射线圈和接收线圈之间的距离,并保持中继线圈处于二者中间位置,同时调节信号发生器的输出频率,用示波器观察在不同距离下负载电压出现最大值时的频率,得到系统最大传输功率下传输距离与频率的关系曲线,如图6所示。
表2 电路参数
Table 2 Circuit parameters


图6 三线圈磁耦合谐振式无线电能传输系统
传输距离与频率关系曲线
Fig.6 Relationship between transmission distance and frequency of three-coil magnetic coupling resonant wireless power transmission system
从图6可看出,当传输距离小于60 mm,出现3个频率分裂点,且其中1个频率分裂点在系统固有谐振频率点处;当传输距离不小于60 mm,频率分裂现象消失,系统工作频率稳定在6.4 MHz。实验所得系统频率特性和仿真结果基本一致,但实验测得的系统临界耦合距离和谐振频率略小于仿真值,这是由于实验中系统存在杂散电容和杂散电感,以及实际绕制线圈的一致性很难保证。
通过对三线圈磁耦合谐振式无线电能传输系统频率特性的分析,得出以下结果:在过耦合状态下,系统发生频率分裂现象,会出现3个频率分裂点;在临界耦合状态和欠耦合状态下,系统只在固有谐振频率处发生谐振;无论有没有发生频率分裂现象,系统均在固有谐振频率处发生谐振,此时传输功率达到最大。
参考文献(References):
[1] 黄学良,王维,谭林林.磁耦合谐振式无线电能传输技术研究动态与应用展望[J].电力系统自动化,2017,41(2):2-14.
HUANG Xueliang,WANG Wei,TAN Linlin.Technical progress and application development of magnetic coupling resonant wireless transfer[J].Automation of Electric Power Systems,2017,41(2):2-14.
[2] KIM S,HO J S,CHEN L Y,et al.Wireless power transfer to a cardiac implant[J].Applied Physics Letters,2012,101(7):79-85.
[3] KURS A,KARALIS A,MOFFATT R,et al.Wireless power transfer via strongly coupled magnetic resonances[J].Science,2007,317:83-86.
[4] 张国圆,王习,赵端.磁耦合谐振式无线电能传输系统传输特性分析[J].工矿自动化,2015,41(8):85-88.
ZHANG Guoyuan,WANG Xi,ZHAO Duan.Analysis of transmission characteristics of magnetically-coupled resonant wireless power transmission system[J].Industry and Mine Automation,2015,41(8):85-88.
[5] 李江,张鹏,马腾,等.磁耦合谐振式无线电能传输系统的仿真与实验[J].电机与控制学报,2015,19(11):72-77.
LI Jiang,ZHANG Peng,MA Teng,et al.Simulation and experimental analysis of wireless power transmission system via magnetic resonance coupling[J].Electric Machines and Control,2015,19(11):72-77.
[6] 黄学良,吉青晶,谭林林,等.磁耦合谐振式无线电能传输系统串并式模型研究[J].电工技术学报,2013,28(3):171-176.
HUANG Xueliang,JI Qingjing,TAN Linlin,et al.Study on series-parallel model of wireless power transfer via magnetic resonance coupling[J].Transactions of China Electrotechincal Society,2013,28(3):171-176.
[7] KIM N Y,KIM K Y,KIM C W.Automated frequency tracking system for efficient mid-range magnetic resonance wireless power transfer[J].Microwave and Optical Technology Letters,2012,54(6):1423-1426.
[8] 刘溯奇,谭建平,文学.三线圈无线电能传输系统耦合机理研究[J].工矿自动化,2017,43(7):62-69.
LIU Suqi,TAN Jianping,WEN Xue.Research on coupling mechanism of three-coil wireless power transmission system[J].Industry and Mine Automation,2017,43(7):62-69.
[9] 李阳,杨庆新,闫卓,等.磁耦合谐振式无线电能传输系统的频率特性[J].电机与控制学报,2012,16(7):7-11.
LI Yang,YANG Qingxin,YAN Zhuo,et al.Characteristic of frequency in wireless power transfer system via magnetic resonance coupling[J].Electric Machines and Control,2012,16(7):7-11.
[10] 兰永均,龚立娇,蔡新红,等.磁耦合谐振式无线电能传输系统频率特性分析[J].工矿自动化,2016,42(5):67-70.
LAN Yongjun,GONG Lijiao,CAI Xinhong,et al.Analysis of frequency characteristics of magnetic coupled resonant wireless power transmission system[J].Industry and Mine Automation,2016,42(5):67-70.
[11] HUANG Runhong,ZHANG Bo,QIU Dongyuan,et al.Frequency splitting phenomenon of magnetic resonant coupling wireless power transfer[J].IEEE Transactions on Magnetics,2014,50(11):1-4.
[12] SAMPLE A P,MEYER D A,SMITH J R.Analysis, experimental results, and range adaptation of magnetically coupled resonators for wireless power transfer[J].IEEE Transactions on Industrial Electronics,2011,58(2):544-554.
[13] GONG Lijiao,LI Xinheng,CHAO Xuewei,et al.Effect of distance on optimum transfer efficiency for the four-coil magnetic coupled resonance system[J].Journal of Magnetics,2017,22(3):491-496.
[14] 李长生,张合,曹娟,等.磁共振耦合电能传输系统功率与效率传输特性分析与优化[J].电力系统自动化,2015,39(8):92-97.
LI Changsheng,ZHANG He,CAO Juan,et al.Analysis and optimal design for power and efficiency transmission characteristics of magnetic resonance coupling power transmission systems[J].Automation of Electric Power Systems,2015,39(8):92-97.
[15] HUI S Y R,ZHONG Wenxing,LEE C K.A critical review of recent progress in mid-range wireless power transfer[J].IEEE Transactions on Power Electronics,2014,29(9):4500-4511.
[16] 蔡涛,沈锦飞.基于偏置线圈的无线电能传输系统研究[J].电力电子技术,2015,49(10):80-82.
CAI Tao,SHEN Jinfei.Research on wireless power transmission system based on biased coils[J].Power Electronics,2015,49(10):80-82.
LI Xinheng1, GONG Lijiao1,2, FENG Li3, SUN Xiangyu1, LI Yang1, LI Hui1,2
(1.College of Mechanical and Electrical Engineering, Shihezi University, Shihezi 832003, China; 2.State Key Laboratory of Power Transmission Equipment and System Security and New Technology, Chongqing University, Chongqing 400044, China; 3.Yingkou Power Supply Company, State Grid Liaoning Electric Power Supply Co., Ltd., Yingkou 115000, China)
Abstract:An equivalent circuit model of three-coil magnetic coupling resonant wireless power transmission system was built, and formulas of system transmission power and transmission efficiency were deduced. Coupling factors relation with the maximum system transmission power was obtained under critical coupling state, and relationship expression between coupling factor and frequency splitting point was given. Frequency characteristics of the system were analyzed. The theoretical analysis results show that there is frequency splitting phenomenon in the system under overcoupling state with three frequency splitting points; the system only resonates at inherent resonant frequency under critical coupling state and undercoupling state; whether there is frequency splitting phenomenon or not, the system resonates at inherent resonant frequency, and transmission power of the system reaches the maximum. The simulation and experimental results verify correctness of the theoretical analysis.
Key words:wireless power transmission; magnetic coupling resonance; three-coil; frequency characteristic; frequency splitting; resonant frequency
文章编号:1671-251X(2018)03-0091-06
DOI:10.13272/j.issn.1671-251x.2017090019
中图分类号:TD60
文献标志码:A 网络出版时间:2018-02-09 14:01
网络出版地址:http://kns.cnki.net/kcms/detail/32.1627.TP.20180209.1146.002.html