何洋1, 李晓豁2
(1.渤海大学 工学院, 辽宁 锦州 121013; 2.广东文理职业学院 机电工程系, 广东 湛江 524400)
摘要:为研究纵轴式掘进机在随机截割载荷作用下的随机振动特性,利用ADAMS软件建立了纵轴式掘进机多刚体动力学模型,利用该模型模拟了掘进机轴向钻进、垂直截割、水平截割工作方式下截割头、悬臂、机体的振动特征。仿真结果表明:轴向钻进工作方式对掘进机各部件的振动影响最大,且随机振动的纵向位移响应大于横向位移响应;垂直截割和水平截割时随机振动的横向和纵向位移响应相差不大,且水平截割对机体的振动影响最小。
关键词:煤炭开采; 纵轴式掘进机; 随机振动; 位移响应; 随机截割载荷; 多刚体动力学
受作业环境恶劣、煤岩赋存条件复杂、工作空间不断变化等因素影响,纵轴式掘进机在截割煤岩过程中振动剧烈,直接影响机械零部件、液压元件、电器元件的工作可靠性及稳定性,降低了使用寿命。国内外学者对掘进机振动特性进行了大量研究,但主要基于现场试验方法或采用数学建模确定周期性截割载荷来完成[1-6],而对于随机截割载荷引起的掘进机随机振动特性研究不多。笔者根据多刚体动力学理论,通过计算机建模与仿真得到掘进机在随机截割载荷作用下的随机振动特性,为改善掘进机工作性能及参数优化提供依据。
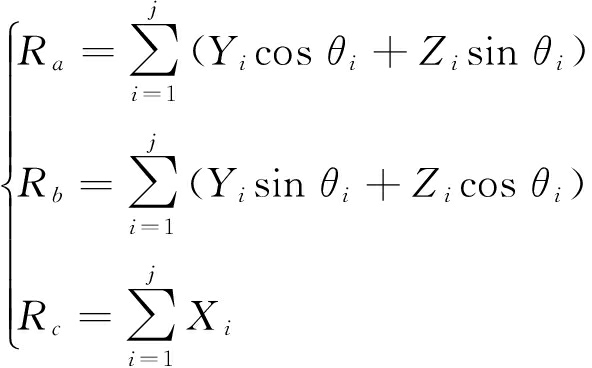
掘进机工作过程中,主要由截割头截割煤岩,因此对截割头建立载荷模型进行分析。截割头随机截割载荷模型如图1所示。Xi,Yi,Zi分别为截割头上第i(i=1,2,…,j,j为同时参与截割的截齿数)个截齿所受的随机侧向阻力、随机牵引阻力、随机截割阻力;θi为第i个截齿的圆周角,θi=ωt,ω为截割头转动角速度,t为截割头转动时间;a,b,c分别代表截割头横向摆动方向、截齿沿工作面垂直方向、掘进机轴向推进方向。

图1 截割头随机截割载荷模型
Fig.1 Model of random cutting load on cutting head
随机截割阻力Zi为自由度为2的卡方分布随机过程[7],即
(1)
式中:δ0,δz分别为瑞利分布、伽玛分布下截割阻力的标准差;Zcp[n]为截割阻力中心化随机过程,
为相互独立的2个平稳随机过程,n为崩落时间内的模拟点数;
i为截割阻力均值。
随机牵引阻力Yi为
(2)
式中:RZY为相关函数;η[n]为正态随机数序列;δY为牵引阻力的标准差;
i为牵引阻力均值。
随机侧向阻力Xi为
Xi=Zi[C1/(C2+h)+C3]h/t
(3)
式中:C1,C2,C3为系数;h为切屑厚度。
掘进机工作过程主要有轴向钻进、水平截割和垂直截割3种工作状态,3种工作状态下截割头上的截齿均受到煤岩施加的随机侧向阻力Xi、随机牵引阻力Yi和随机截割阻力Zi,将参与截割的各截齿所受的力沿截割头空间坐标a,b,c方向投影求和,可得截割头三向随机截割载荷:

(4)
利用Pro/E建立纵轴式掘进机三维模型,在Pro/E中对掘进机定义刚体、添加约束,如图2所示。

图2 纵轴式掘进机三维模型
Fig.2 3D model of longitudinal roadheader
通过MechPro与ADAMS无缝连接,将纵轴式掘进机三维模型映射到ADAMS中,对模型添加载荷及驱动,定义各零部件的材料属性,以及构件间的接触力、摩擦力和阻尼参数等,相关参数见表1。对模型进行验证,确保约束及驱动满足运动要求[8-10],建立纵轴式掘进机多刚体动力学模型,如图3所示。
以某国产纵轴式掘进机为研究对象,其相关参数[11]:截割头规格为φ980 mm×1 000 mm,截割头质量为1 051 kg,悬臂质量为2 415 kg,机体质量为68 534 kg;截割头、悬臂、机体刚度系数分别为8×105,6.7×105,3.8×103N/m;截割头、悬臂、机体阻尼系数分别为5.8×104,3.7×104,3.3×104N·s/m;轴向钻进、垂直截割、水平截割时的牵引速度分别为1.2, 1.2,1.5 m/min;截割头转速为46 r/min。
表1 模型相关参数
Table 1 Relevant parameters of model


图3 纵轴式掘进机多刚体动力学模型
Fig.3 Multi-rigid-body dynamics model of longitudinal roadheader
根据纵轴式掘进机多刚体动力学模型,对掘进机轴向钻进、垂直截割、水平截割时截割头、悬臂、机体随机振动的横向和纵向位移响应变化情况进行仿真。仿真时间为10 s,其中0~1 s为模型自我调节阶段,瞬时波动较大,该阶段的位移响应不计入统计值。
掘进机轴向钻进过程中截割头、悬臂、机体随机振动的横向和纵向位移响应如图4所示,其统计值见表2。

(a) 截割头

(b) 悬臂

(c) 机体
图4 轴向钻进时截割头、悬臂、机体随机振动的位移响应
Fig.4 Displacement response of random vibration of cutting head, boom and body under axial drilling
表2 轴向钻进时截割头、悬臂、机体随机振动的
位移响应统计值
Table 2 Displacement response values of random vibration of cutting head, boom and body under axial drilling

从图4和表2可看出,掘进机轴向钻进过程中,截割头、悬臂随机振动的纵向位移响应略大于横向位移响应,而机体随机振动的纵向位移响应明显大于横向位移响应,这是由于履带与底板间摩擦力的作用使机体随机振动的横向位移响应变化较小。
掘进机垂直截割过程中截割头、悬臂、机体随机振动的横向和纵向位移响应如图5所示,其统计值见表3。

(a) 截割头

(b) 悬臂

(c) 机体
图5 垂直截割时截割头、悬臂、机体随机振动的位移响应
Fig.5 Displacement response of random vibration of cutting head, boom and body under vertical cutting
从图5和表3可看出,掘进机垂直截割过程中,截割头、悬臂、机体随机振动的横向和纵向位移响应相差不大。
表3 垂直截割时截割头、悬臂、机体随机振动的
位移响应统计值
Table 3 Displacement response values of random vibration of cutting head, boom and body under vertical cutting

掘进机水平截割过程中截割头、悬臂、机体随机振动的横向和纵向位移响应如图6所示,其统计值见表4。

(a) 截割头

(b) 悬臂

(c) 机体
图6 水平截割时截割头、悬臂、机体随机振动的位移响应
Fig.6 Displacement response of random vibration of cutting head, boom and body under horizontal cutting
从图6和表4可看出,掘进机水平截割过程中,截割头、悬臂随机振动的横向位移响应均值略大于纵向位移响应,机体随机振动的横向和纵向位移响应相差很小。
对比图4—图6和表2—表4可看出,掘进机轴向钻进过程中,截割头、悬臂、机体随机振动的横向和纵向位移响应均值最大,且随机振动的纵向位移响应大于横向位移响应;掘进机垂直截割和水平截割过程中,截割头、悬臂、机体随机振动的横向和纵向位移响应相差不大,且掘进机水平截割过程中机体随机振动的横向和纵向位移响应最小,主要原因在于模型的履带与底板间侧向摩擦力起到了减小机体横向振动的作用。
表4 水平截割时截割头、悬臂、机体随机振动的位移响应统计值
Table 4 Displacement response values of random vibration of cutting head, boom and body under horizontal cutting

对纵轴式掘进机截割头、悬臂、机体随机振动的位移响应进行了仿真分析,结果表明:轴向钻进工作方式对掘进机各部件的振动影响最大,且随机振动的纵向位移响应大于横向位移响应;垂直截割和水平截割时随机振动的横向和纵向位移响应相差不大,且水平截割对机体的振动影响最小。由此可见,机体与底板的刚度和阻尼是影响掘进机振动的重要因素,可在掘进机本体的侧向及底部与底板间提供支撑油缸,以减小整机的振动。
参考文献(References):
[1] ANDERSON K S,DUAN Shanzhong.Highly parallelizable low-order dynamics simulation algorithm for multi-rigid-body systems[J].Journal of Guidance,Control and Dynamics,2000,23(2):355-364.
[2] GOKTAN R M,GUNES N.A comparative study of Schmidt hammer testing procedures with reference to rock cutting machine performance prediction[J].International Journal of Rock Mechanics and Mining Sciences,2005,42(3):466-472.
[3] ERGIN H, ACAROGLU O.The effect of machine design parameters on the stability of a roadheader[J].Tunnelling and Underground Space Technology,2007,22(1):80-89.
基金项目:国家自然科学基金资助项目(51675354)。
作者简介:李新恒(1991-),男,安徽蒙城人,硕士研究生,研究方向为无线电能传输,E-mail:980594980@qq.com。通信作者:龚立娇(1978-),女,甘肃武威人,副教授,博士,研究方向为传感测试系统及其输配电技术,E-mail:glj_mac@shzu.edu.cn。
引用格式:李新恒,龚立娇,冯力,等.三线圈磁耦合谐振式无线电能传输系统频率特性分析[J].工矿自动化,2018,44(3):91-96. LI Xinheng,GONG Lijiao,FENG Li,et al.Analysis of frequency characteristics of three-coil magnetic coupling resonant wireless power transmission system[J].Industry and Mine Automation,2018,44(3):91-96.
[4] 张建广.纵轴式掘进机截割人工岩壁的振动试验研究[J].煤炭科学技术,2011,39(8):76-78.
ZHANG Jianguang.Study on vibration experiment of artificial rock wall cutting with longitudinal shaft type mine roadheader[J].Coal Science and Technology,2011,39(8):76-78.
[5] 毛君,宋宝新,姚丽明,等.掘进机工作装置动态特性研究与仿真[J].微计算机信息,2011,27(4):16-17.
MAO Jun,SONG Baoxin,YAO Liming,et al.The dynamics characteristics research and simulation for cutting components of roadheader[J].Microcomputer Information,2011,27(4):16-17.
[6] 胡玉龙,杨阳,吴淼.悬臂式硬岩掘进机振动强度分布研究[J].工矿自动化,2015,41(8):35-37.
HU Yulong,YANG Yang,WU Miao.Study on vibration intensity distribution of boom-type hard rock roadheader[J].Industry and Mine Automation,2015,41(8):35-37.
[7] 李晓豁.掘进机截割头随机载荷的模拟研究[J].煤炭学报,2000,25(5):525-529.
LI Xiaohuo.Simulation study of random loads on a cutting head of roadheader[J].Journal of China Coal Society,2000,25(5):525-529.
[8] 张克建.车辆地面力学[M].北京:国防工业出版社,2002.
[9] FOX B,JENNINGS L S,ZOMAYA A Y.Numerical computation of differential-algebric equations for non-linear dynamics of multibody systems involving contact forces[J].Mechanical Design,2001,123:272-281.
[10] 李晓豁,何洋,林其岳,等.基于Proe/Adams的纵轴式掘进机虚拟样机建模[J].现代矿业,2009,25(12):38-40.
LI Xiaohuo,HE Yang,LIN Qiyue,et al.Virtual prototype modeling of longitudinal-axial-roadheader based on Proe/Adams[J].Modern Mining,2009,25(12):38-40.
[11] 李晓豁.掘进机截割头的关键技术研究[M].北京:机械工业出版社,2008.
HE Yang1, LI Xiaohuo2
(1.College of Engineering, Bohai University, Jinzhou 121013, China; 2.Department of Mechanical and Electrical Engineering, Guangdong Institute of Arts and Sciences, Zhanjiang 524400, China)
Abstract:In order to research random vibration characteristics of longitudinal roadheader under random cutting load, a multi-rigid-body dynamics model of the longitudinal roadheader was established by use of ADAMS software. Vibration characteristics of cutting head, boom and body under axial drilling, vertical cutting and horizontal cutting were simulated. The simulation results show that axial drilling has the greatest influence on vibration of each part of the longitudinal roadheader, and vertical displacement response of random vibration is greater than horizontal displacement response of random vibration under axial drilling. There is little difference between horizontal displacement response and vertical displacement response of random vibration under vertical cutting and horizontal cutting. Horizontal cutting has the least influence on vibration of the body.
Key words:coal mining; longitudinal roadheader; random vibration; displacement response; random cutting load; multi-rigid-body dynamics
文章编号:1671-251X(2018)03-0087-05
DOI:10.13272/j.issn.1671-251x.2017100038
中图分类号:TD421.5
文献标志码:A 网络出版时间:2018-02-09 13:41
网络出版地址:http://kns.cnki.net/kcms/detail/32.1627.TP.20180209.1146.001.html
收稿日期:2017-10-20;
修回日期:2018-01-20;责任编辑:盛男。
基金项目:国家自然科学基金资助项目(59774033);中国煤炭工业科技计划项目(MTKJ2009-254)。
作者简介:何洋(1982-),男,辽宁锦州人,讲师,博士,主要研究方向为现代机械设计理论与方法、机电液系统仿真与应用等,E-mail:heyang121000@163.com。
引用格式:何洋,李晓豁.纵轴式掘进机随机振动响应分析[J].工矿自动化,2018,44(3):87-91. HE Yang,LI Xiaohuo.Random vibration response analysis of longitudinal roadheader[J].Industry and Mine Automation,2018,44(3):87-91.
收稿日期:2017-09-07;
修回日期:2018-01-30;责任编辑:盛男。