科研成果
孙继平, 邵子佩, 刘毅
(中国矿业大学(北京), 北京 100083)
摘要:针对工作面光照强度低且不均匀、煤尘浓度大等问题,提出了一种采煤机视频压缩感知跟踪方法。该方法首先采用矩形滤波器对图像进行归一化处理,获取特征向量;然后依据压缩感知理论对目标样本和背景样本的Haar-like特征向量进行压缩处理,并基于压缩后的Haar-like特征向量建立目标模型并训练朴素贝叶斯分类器;最后采用朴素贝叶斯分类器识别目标图像和背景图像,实现采煤机动态跟踪。试验结果表明,该方法在采煤机移动、遮挡及环境照度不均匀、快速变化等情况下都能实现有效跟踪,平均跟踪帧速率达22 帧/s。
关键词:煤炭开采; 采煤机; 视频跟踪; 动态跟踪; 压缩感知; 特征提取
视频目标跟踪技术是计算机视觉领域的重要研究课题之一,目前已被应用于人员跟踪定位、智能交通系统、飞机跟踪监控、智能机器人等领域。将视频目标跟踪技术应用到煤矿井下,对提高煤矿自动化、信息化、智能化水平,减少煤矿井下作业人员具有重要的理论意义和实用价值[1-4]。煤矿井下环境特殊,如光照强度低且不均匀、采煤工作面煤尘浓度大、有喷雾等[5],将现有视频目标跟踪方法直接应用到煤矿井下容易造成目标丢失,跟踪效果不理想[6-10]。
近年来,由于目标检测技术研究取得了重大突破,检测式视频目标跟踪方法的定位准确率也大幅提高。检测式视频目标跟踪将任务分解为跟踪、检测、学习3个部分。跟踪器提取目标特征,建立目标外观模型,用于帧间跟踪目标;检测器根据外观模型训练分类器,用于检测下一帧图像中目标的位置;学习器用于评估检测器并更新。在目标跟踪过程中,提取的特征越多,越有利于跟踪的准确性,但提取的特征过多会增加时间复杂度。为降低时间复杂度,可在跟踪部分采用压缩感知方法来减少特征计算时间,即采用极低的采样频率进行数据采样,并从采样数据中精确地恢复原始信号。在检测部分,分类器的选择至关重要,不同类型的分类器会对目标检测精度产生不同影响。根据分类器外观模型不同,跟踪算法可分为判别式[11-12]和生成式[13-14]。判别式跟踪算法提取具有判别性的目标特征,依据目标特征找到目标边界,将其从背景中分离出来;生成式跟踪算法依据当前帧建立目标模型,在下一帧图像中对图像相关区域进行搜索,寻找与目标模型最匹配的区域。在煤矿井下特殊环境中,利用背景信息进行图像跟踪,可有效提升跟踪的稳定性和精确度,因此宜采用判别式跟踪算法。
本文针对工作面采煤机跟踪问题,采用检测式视频目标跟踪方法对目标进行图像跟踪处理,提出了一种采煤机视频压缩感知跟踪方法。首先采用矩形滤波器对图像进行归一化处理,获取特征向量;然后依据压缩感知理论,对目标样本和背景样本的Haar-like特征向量进行压缩处理,并采用压缩后的特征向量训练朴素贝叶斯分类器;最后通过训练好的分类器对目标图像和背景图像进行区分,实现目标动态跟踪。
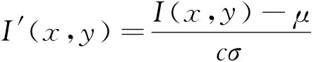
不同光照强度对于所处理图像有不同影响。为降低该影响,需要对图像进行归一化处理,即光照修正。归一化公式:
(1)
式中:(x,y)为图像像素坐标;I′(x,y)为归一化后的图像;I(x,y)为原始图像;μ为图像均值;c为常数,取为1;σ为图像标准差。
不同距离对所处理图像有不同影响。为降低该影响,采用1组不同尺度的矩形滤波器{h1,1(x,y),h2,2(x,y),…,hm,n(x,y)}(m,n分别为矩形滤波器的宽度和高度),对每个样本XA分别进行卷积处理,得到处理后的图像:
Xm,n=hm,n(x,y)⊗XA
(2)
归一化矩形滤波器形式:
(3)
将滤波处理后的图像依次展开成一个m×n维的列向量Xm,n,并将这些列向量首尾相连,得到原始样本XA的归一化特征向量X=(X1,X2,…,Xm)T,其维度为(mn)2。
提取的特征选择Haar-like特征。对于Haar-like特征来说,识别物体需要扫描得到大量的样本窗口,并计算每一个样本窗口对应的子图像特征值,该过程会产生较大的计算量。同时,为了实现尺度不变性,计算量将进一步增大。大量的计算会降低分类器训练和检测的速度。为保证系统实时性,采用稀疏随机测量矩阵进行特征降维,然后采用积分图像法快速计算矩形的相应特征值。
依据压缩感知理论,可通过采样尽可能少的观测信号来获取逼近原始信号所需的信息,从而实现对信号的降维处理。压缩感知中有2个重要的概念:随机投影和随机测量矩阵。一个位于高维的原始特征空间向量X∈Rn,利用矩阵P∈Rm×n将高维特征向量投影到低维压缩域,得到u=PX(u为低维压缩特征空间向量,u∈Rm,m≪n),这一过程就是随机投影,矩阵P即随机测量矩阵。文献[11]指出,如果随机测量矩阵满足Johnson-Lindenstrauss准则,就可以把图像从压缩域中以最小错误重新构建,并提出一种稀疏随机测量矩阵,其第i行,第j列元素:

(4)
式中s=n/4。
积分图像法中的积分定义:
(5)
式中J(x,y)为图像在(x,y)处的积分值;G(x′,y′)为图像在(x′,y′)处的灰度值。
式(5)只需在初始计算原始图像积分时运算1次,在之后的跟踪过程中,通过行的累计和(式(6))来进行积分计算,如式(7)所示。
S(x,y)=S(x,y-1)+I(x,y)
(6)
J(x,y)=J(x-1,y)+S(x,y)
(7)
对原始图像进行积分运算的初始条件为S(x,-1)=0,J(-1,y)=0。每一行都是先计算S(x,y),然后再每一列计算J(x,y)。
在井下目标跟踪过程中,动态目标跟踪比静态目标跟踪更有利于提高跟踪可靠性。本文采用目标样本和背景样本的特征建立目标模型,并对分类器进行更新,实现动态跟踪。
在第k帧图像中目标所在区域范围内采集若干目标正样本图片,在目标所在区域外采集若干背景负样本图片,然后对样本图片进行特征提取,构建高维的多尺度图像特征向量,然后通过一个固定的稀疏随机测量矩阵对特征向量进行降维,采用降维后的特征向量构建目标模型,并训练分类器。在第k+1帧图像中,首先对跟踪到的目标进行采样,在目标周围采样若干个扫描窗口并提取其特征,通过相同的稀疏随机测量矩阵进行降维,最后采用第k帧图像训练好的分类器分类,将其中得分最多的扫描窗口作为跟踪到的目标位置,并更新分类器。
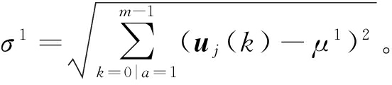
文献[15]指出,高维随机向量的随机投影几乎都是高斯分布的。选取正样本压缩后的第j个特征所服从高斯分布的均值
方差
以及负样本压缩后的第j个特征所服从高斯分布的均值
方差
来表示第k帧图像对应的目标模型![]()
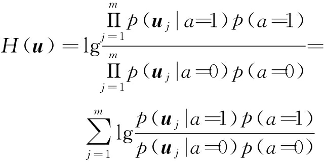
对每个样本XA(n维向量),设其低维特征向量为u(m维向量,m≪n)。假设u中的各个元素是独立分布的,用a∈{0,1}代表样本标签,a=1表示正样本,a=0表示负样本,并假定正负样本的先验概率相等,即p(a=1)=p(a=0)。通过简单的朴素贝叶斯分类器对特征分类,得到分类器响应:

(8)
式中uj为样本图像的第j个特征。
假设分类器响应H(u)中的条件概率
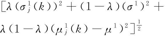
过在第k+1帧图像中目标周围采样若干正样本和负样本并进行提取特征,计算出所有样本的均值μ1和方差σ1,通过式(9)、式(10)对目标模型进行更新,实现动态跟踪。
(9)
![]()
![]()
(10)
式中:λ为学习因子,λ>0;
为第k帧样本图像的第j个特征;![]()
采用井下采煤机视频,在配置为i5处理器、8 GB内存的计算机上对采煤机视频压缩感知跟踪方法进行了试验。试验过程中,该方法的平均处理速度达22 帧/s。
为测试该方法对目标移动、遮挡,环境照度不均匀、快速变化等问题的处理效果,选取工作面采煤机跟踪图像的若干帧进行分析,如图1所示。第8帧图像出现强烈反光,第13帧、第34帧图像中煤尘浓度大,第48帧图像中煤块脱落造成遮挡,第113帧、第134帧图像中采煤机移动到边界。从图1可看出,针对跟踪过程中遇到的目标移动、遮挡及环境影响等问题,提出的方法都可以对采煤机进行有效跟踪。
针对采煤机工作环境中光照强度低且不均匀、煤尘浓度大等问题,提出了一种采煤机视频压缩感知跟踪方法。该方法采用矩形滤波器对图像进行归一化处理,获取特征向量,基于压缩感知理论对目标样本和背景样本的Haar-like特征向量进行压缩,采用朴素贝叶斯分类器对压缩后的特征向量进行识别。试验结果表明,该方法对采煤机移动、遮挡,环境照度不均匀、快速变化等具有较强的鲁棒性。

(a) 第8帧

(b) 第13帧

(c) 第34帧

(d) 第48帧

(e) 第113帧

(f) 第134帧
图1 采煤机跟踪结果若干帧图像
Fig.1 Several frames of shearer tracking result
参考文献(References):
[1] 孙继平.2016年版《煤矿安全规程》监控与通信条款解析[J].工矿自动化,2016,42(5):1-8.
SUN Jiping.Explanations for part of monitoring and communication ofCoal Mine Safety Regulationsof 2016 Edition[J].Industry and Mine Automation, 2016,42(5):1-8.
[2] 孙继平.煤矿物联网特点与关键技术研究[J].煤炭学报,2011,36(1):167-171.
SUN Jiping.Research on characteristics and key technology in coal mine Internet of things[J].Journal of China Coal Society,2011,36(1):167-171.
[3] 孙继平,田子建.矿井图像监视系统与关键技术[J].煤炭科学技术,2014,42(1):65-68.
SUN Jiping,TIAN Zijian.Image monitoring system and key technology in underground mine[J].Coal Science and Technology,2014,42(1):65-68.
[4] 孙继平.煤矿信息化与自动化发展趋势[J].工矿自动化,2015,41(4):1-5.
SUN Jiping.Development trend of coal mine informatization and automation[J].Industry and Mine Automation,2015,41(4):1-5.
[5] 孙继平.煤矿事故分析与煤矿大数据和物联网[J].工矿自动化,2015,41(3):1-5.
SUN Jiping.Accident analysis and big data and Internet of things in coal mine[J].Industry and Mine Automation,2015,41(3):1-5.
[6] 孙继平,贾倪.矿井视频图像中人员目标匹配与跟踪方法[J].中国矿业大学学报,2015,44(3):540-548.
SUN Jiping,JIA Ni.Human target matching and tracking method in coal mine video[J].Journal of China University of Mining & Technology,2015,44(3):540-548.
[7] 孙继平,杜东璧.基于随机特征的矿井视频图像中的人员跟踪技术[J].煤炭科学技术,2015,43(11):91-94.
SUN Jiping,DU Dongbi.Tracing technology of personnel in mine video images based on random features[J].Coal Science and Technology,2015,43(11):91-94.
[8] 赵谦.煤矿井下动态目标视频监测图像处理研究[D].西安:西安科技大学,2014.
[9] 吴海雁,王天龙,张旭辉,等.基于Quest3D和PLC的采煤机远程监控系统[J].工矿自动化,2015,41(11):14-17.
WU Haiyan,WANG Tianlong,ZHANG Xuhui,et al.Remote monitoring system of shearer based on Quest3D and PLC[J].Industry and Mine Automation,2015,41(11):14-17.
[10] 陈迎宾.基于视频流的井下采煤机检测及跟踪算法[D].长春:吉林大学,2013.
[11] ZHANG K,ZHANG L,YANG M H.Real-time compressive tracking[C]//European Conference on Computer Vision,Florence,2012:864-877.
[12] AVIDAN S.Support vector tracking[J].IEEE Transactions on Pattern Analysis & Machine Intelligence,2004,26(8):1064-1072.
[13] ZHANG K H,ZHANG L,LIU Q,et al.Fast visual tracking via dense spatio-temporal context learning[C]//European Conference on Computer Vision,Zurich,2014:127-141.
[14] ROSS D A,LIM J,LIN R,et al.Incremental learning for robust visual tracking[J]. International Journal of Computer Vision,2007,77(1):125-141.
[15] DIACONIS P,FREEDMAN D.Asymptotics of graphical projection pursuit[J].Annals of Statistics,1984,12(3):793-815.
SUN Jiping, SHAO Zipei, LIU Yi
(China University of Mining and Technology(Beijing), Beijing 100083, China)
Abstract:For problems of low illumination intensity, uneven illumination and high coal dust concentration in working face, a visual tracking method of shearer based on compressive sensing was proposed. The image is normalized by use of rectangular filter firstly to get feature vectors. Then compressed Haar-like feature vectors of target samples and background samples are gotten according to compressive sensing theory for building target model and training naive Bayes classifier. The target image and background image are identified by the naive Bayes classifier finally, so as to realize dynamic tracking of shearer. The experimental result shows that the method can track shearer effectively when the shearer is moving or covered in environment of uneven and varied illumination, and average tracking frame rate is 22 frames per second.
Key words:coal mining; shearer; visual tracking; dynamic tracking; compressive sensing; feature extraction
文章编号:1671-251X(2018)03-0008-04
DOI:10.13272/j.issn.1671-251x.17313
中图分类号:TD632
文献标志码:A 网络出版时间:2018-02-08 11:20
网络出版地址:http://kns.cnki.net/kcms/detail/32.1627.TP.20180211.1614.001.html
收稿日期:2018-01-31;
修回日期:2018-02-05;责任编辑:李明。
基金项目:国家重点研发计划资助项目(2016YFC0801800)。
作者简介:孙继平(1958-),男,山西翼城人,教授,博士,博士研究生导师,中国矿业大学(北京)信息工程研究所所长;获国家科技进步二等奖3项(其中作为第1完成人2项、第2完成人1项);作为第1完成人获省部级科技进步特等奖和一等奖8项;作为第1完成人主持制定中华人民共和国煤炭行业和安全生产行业标准26项;主持制定《煤矿安全规程》第十一章“监控与通信”;作为第1作者或独立完成著作12部;被 SCI和 EI检索的第1作者或独立完成论文80余篇;作为第1发明人获国家授权发明专利40余项;作为国务院煤矿事故调查专家组组长参加了10起煤矿特别重大事故调查工作;E-mail:sjp@cumtb.edu.cn。
引用格式:孙继平,邵子佩,刘毅.采煤机视频压缩感知跟踪方法[J].工矿自动化,2018,44(3):8-11. SUN Jiping,SHAO Zipei,LIU Yi.Visual tracking method of shearer based on compressive sensing[J].Industry and Mine Automation,2018,44(3):8-11.