张瑜1, 陈洪月2, 郝志勇2, 毛君2
(1.安阳工学院 机械工程学院, 河南 安阳 455000;2.辽宁工程技术大学 机械工程学院, 辽宁 阜新 123000)
摘要:针对刨煤机系统在启动、制动工况下存在较大冲击的问题,综合考虑链轮多边形效应、驱动链轮轴的水平振动及驱动装置与刨链之间的耦合特性等因素,建立了刨煤机系统动力学模型;运用数值分析方法分析了刨煤机系统在启动、制动、制动后反向启动等工况下的动力学特性,得到刨头前后端刨链张力的振动特性曲线。分析研究结果表明,反“S”型启动方式下刨头前后端刨链张力所产生的冲击最为平稳,该方式启动对刨煤机系统更有优势;刨头距离机头处越近,启动时对刨头前后端刨链张力的影响越大,产生的冲击越大;由于机头与机尾存在时间差,导致前后端刨链张力在启动过程中出现了较大的张力冲击;刨煤机制动后,刨链前后张力分布不均出现差值,刨头前端刨链张力在反向重新启动时刻出现张力冲击,且随着启动过程呈下降趋势。该研究结果为设计合理的刨煤机启动、制动系统提供了理论基础。
关键词:煤炭开采; 刨煤机动力学特性; 启动工况; 制动工况; 刨头; 刨链张力
刨煤机作为开采薄煤层、极薄煤层的大型采煤设备之一,在煤炭开采中发挥着重要作用[1-2]。国内外学者对刨煤机的动力学特性进行了一定的研究。如文献[3-4]基于非线性弹簧阻尼接触力模型,研究了刨头与滑架体的间隙接触碰撞特性。文献[5]对刨头进行了受力分析并建立了刨头的力学平衡方程,分析了刨头高度及刨削深度对刨头稳定性的影响规律。文献[6]建立了刨煤机刨头平面振动数学模型,对刨头扭摆振动及平面振动进行了相关分析。文献[7-8]建立了刨煤机系统动力学模型,并在此基础上研究了不同工况参数及结构参数对系统动态特性的影响。文献[9]对工作面有倾角、中部槽存在转角等工况下刨煤机系统动态特性进行了分析。文献[10]采用连续模型分析了刨煤机系统纵向振动特性。但上述文献仅对刨煤机刨头接触碰撞动态特性和不同刨深、刨速工况及工作面有倾角、中部槽存在转角等工况下的刨煤机系统动态特性进行了研究,均未提及启动、制动工况下系统动力学特性。然而受工作环境及启动方式的影响,刨煤机在频繁启动、制动时,会产生机械冲击,严重情况下会使刨链断裂、电动机烧坏等。可见,研究刨煤机在启动、制动工况下的系统动态特性具有实际意义。
本文采用有限元法构建了刨煤机系统动力学模型,采用数值分析方法研究了刨煤机系统在不同启动、制动工况下的动力学特性,为设计合理的刨煤机启动、制动系统提供了理论基础。
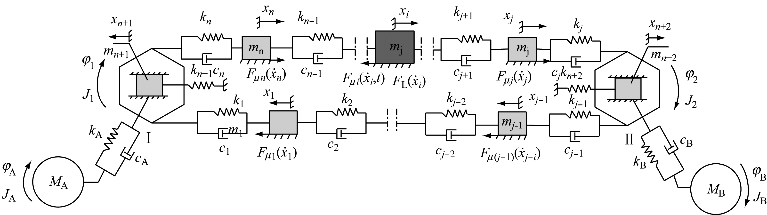
采用集中质量法,将刨头简化为较大的质量块,刨链划分为多个集中质量的有限元体,各有限元体之间采用Vogit模型连接[11-13],并与刨煤机两端驱动系统进行衔接。当驱动链轮轴刚度不足时,在电动机驱动及刨链牵引力的作用下将产生弹性变形,当驱动链轮轴转动时,会对刨链在水平方向上产生附加张力,将两端链轮轴及其弹性支撑等效成弹簧元件,其刚度设定为kn+1、kn+2。刨煤机的驱动链轮为齿形轮,具有多边形效应,驱动刨链时会产生周期性变速运动。本文综合考虑链轮多边形效应、驱动链轮轴弹性支撑的弹性变形及驱动装置与刨链之间的耦合特性,建立了刨煤机有限元动力学模型,如图1所示,系统多自由度动力学微分方程如式(1)所示。

JA,JB-前后驱动电动机的转动惯量,kg·m2;J1,J2-刨煤机头尾部链轮的转动惯量,kg·m2;MA,MB-前后驱动电动机的转矩,N·m;φA,φB-前后驱动电动机的转角,(°);kA,kB,cA,cB-头尾驱动装置的折算刚度及阻尼系数;φ1,φ2-头尾驱动链轮的转角,(°);m1(x1),m2(x2),…,mi-1(xi-1),mi+1(xi+1),…,mj-1(xj-1),mj(xj),…,mn(xn)-各端刨链等效质量,kg;xn+1,xn+2-头尾驱动链轮的位移,m;k1,k2,…,kn,c1,c2,…,cn-刨链的等效刚度系数及阻尼系数;kn+1,kn+2-驱动链轮轴等效刚度系数;x1,x2,…,xn-各单元段的位移,m;mi-刨头的质量,kg;Fμ1,Fμi,Fμj-1,…,Fμn-各段链条所受的摩擦力,N
图1 刨煤机有限元动力学模型
Fig.1 Finite element dynamics model of coal plow

(1)
式中:R为链轮半径,m;F1,F2,…,Fn为刨链之间的张力,且链条只承受拉力作用,N;FZ为刨削阻力,N;FL为装煤阻力,N。
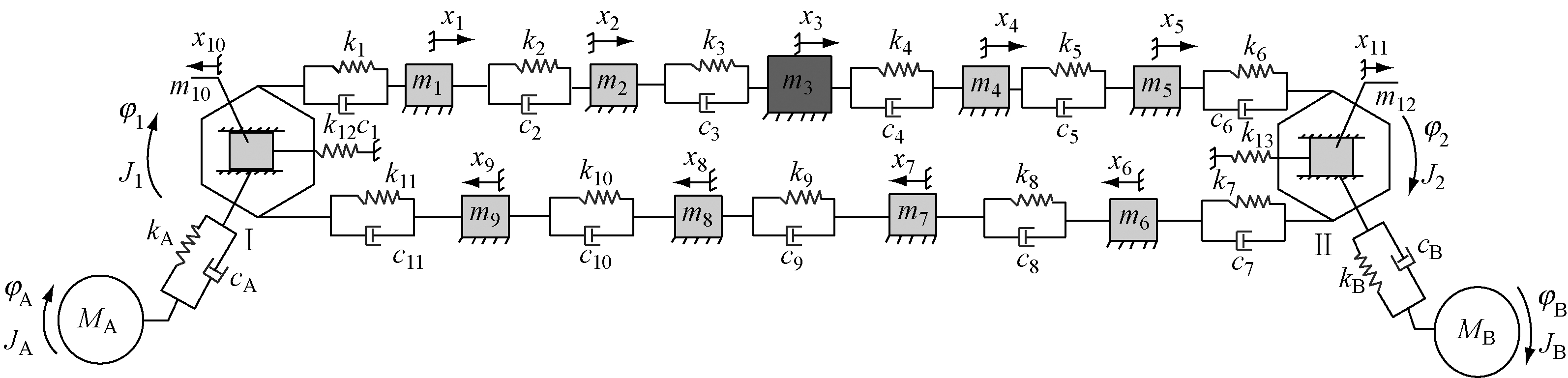
以BH38/2×400滑行式刨煤机为研究对象,采用数值分析方法对刨煤机系统在不同启动工况、制动工况下的动态特性进行分析。刨煤机系统基本参数:刨头质量为3.8×103kg,刨链规格为Φ38 mm×137 mm,刨头与滑道的摩擦系数μb=0.2,刨链与链道之间的摩擦系数μ1,2,…,n=0.25,单位长度刨链的质量q=0.29 kg/m。将系统动力学模型中刨链分为8个质量单元,其模型如图2所示。
2.1.1 4种启动方式下系统动态特性分析
4种启动方式分别为反“S”型启动、直线启动、正弦启动、抛物线启动,各启动方式的速度函数如式(2)—式(5)所示。

图2 包含8个质量单元的刨煤机有限元动力学模型
Fig.2 Finite element dynamics model of coal plow with eight elements
反“S”型启动[14-15]方式的速度函数如下:

(2)
直线启动方式的速度函数如下:

(3)
正弦启动方式的速度函数如下:

(4)
抛物线启动方式的速度函数如下:

(5)
式中:v0为刨煤机稳定运行时速度,m/s;T为启动周期,s;t为刨煤机运行时间,s。
设定初始条件:
动时间为5 s,采用4种启动方式启动时的刨头前后端刨链张力仿真结果如图3-图6所示。

图3 反“S”型启动时的刨头前后端刨链张力
Fig.3 Front and rear chain tension of plow head under starting with reverse S-shaped curve
从图3-图6可知,系统采用直线启动方式时,刨头前后端张力在启动时刻产生了较大冲击,采用正弦启动方式及抛物线启动方式时,刨头前后端刨链张力同样在启动过程中产生了较大的冲击,而以上3种启动方式中抛物线启动方式产生的冲击相对较小。反“S”型启动方式在4种启动方式中所产生的冲击最平稳。通过对比刨煤机系统4种启动方式下刨头前端刨链张力最大值可知,刨煤机采用反“S”型启动方式时,刨头前端刨链最大张力值最小,抛物线启动方式次之,采用直线启动方式则前端刨链张力产生的冲击最大。可见,反“S”型启动方式对刨煤机系统更有优势。

图4 直线启动时的刨头前后端刨链张力
Fig.4 Front and rear chain tension of plow head under starting with linear

图5 正弦启动时的刨头前后端刨链张力
Fig.5 Front and rear chain tension of plow head under starting with sine curve

图6 抛物线启动时的刨头前后端刨链张力
Fig.6 Front and rear chain tension of plow head under starting with parabola
2.1.2 不同刨头位置启动时系统动力学分析
基于反“S”型启动方式,设定刨头距离机头的位置分别为10,20,35 m,研究刨头距离机头不同位置对系统启动时的动力学特性的影响,仿真结果如图7-图9所示。
从图7-图9中可知,当刨头距离刨煤机机头10 m处启动时,刨头前后端刨链张力波动较大,产生了一定的载荷冲击。当刨头距离刨煤机机头20 m处启动时,刨链张力同样产生了一定的载荷冲击,但相对刨头距离刨煤机机头10 m处启动时的刨链张力有所减小。当刨头距离刨煤机机头35 m处启动时,刨链张力平稳波动,未产生较大的冲击,可见刨头在距离刨煤机机头处越近启动时对刨头前后端刨链张力的影响越大,产生的冲击越大。通过对比刨头在3种位置启动时的前端刨链张力最大值可知,刨头距离刨煤机机头35 m处启动时前端刨链张力值最小,距离机头10 m处启动时前端刨链张力值最大。

图7 刨头在距离刨煤机机头10 m处启动时的
前后端刨链张力
Fig.7 Front and rear chain tension when plow head started at 10 m from coal plow

图8 刨头在距离刨煤机机头20 m处启动时的
前后端刨链张力
Fig.8 Front and rear chain tension when plow head started at 20 m from coal plow

图9 刨头在距离刨煤机机头35 m处启动时的
前后端刨链张力
Fig.9 Front and rear chain tension when plow head started at 35 m from coal plow
2.1.3 顺序启动方式下系统动力学分析
为了研究顺序启动方式下刨煤机系统动力学特性,以机尾先启动,机头后启动的顺序为例进行分析。设定机尾、机头的启动速度函数分别为式(6)和式(7),启动时间均为7 s,机头相对机尾延迟1,2,4 s,通过求解得到3种延迟时间差条件下刨头前后端刨链张力的变化规律,如图10-图12所示。
v(t)=

(6)

(7)
式中:v1为预启动时速度,一般v1=0.1v0,m/s;t1为刨煤机顺序启动时间差,s。

图10 延迟1 s启动时的刨头前后端刨链张力
Fig.10 Front and rear chain tension of plow head delayed 1 s starting

图11 延迟2 s启动时的刨头前后端刨链张力
Fig.11 Front and rear chain tension of plow head delayed 2 s starting
由图10-图12可知,由于机头与机尾存在时间差,导致前后端刨链张力在启动过程中出现了较大的张力冲击,当时间差为4 s时,刨链张力产生的冲击最大。通过对比机头相对机尾延迟不同时间时刨头前端刨链最大张力值及后端刨链最小张力值可知,前端刨链最大张力值整体呈增大趋势,后端刨链最小张力值呈减小趋势,可见,在时间差为1 s时,前端刨链张力产生的冲击最小。

图12 延迟4 s启动时的刨头前后端刨链张力
Fig.12 Front and rear chain tension of plow head
delayed 4 s starting
当刨头还未进行刨削煤壁时,对刨煤机系统进行制动,研究刨煤机系统在制动工况及制动后反向启动下的动态特性。刨煤机电动机制动时的速度函数如式(8)所示,初始条件如下:
通过求解得到刨煤机制动工况下刨头前后刨链张力曲线,如图13所示。

(8)

图13 制动工况下刨头前后端刨链张力
Fig.13 Front and rear chain tension of coal plow under braking conditon
由图13可知,在刨煤机制动过程中,刨头前端刨链张力呈下降趋势,在5 s之后,张力趋于平稳,而刨头后端刨链张力在制动过程中则呈上升趋势,同样在5 s后趋于平稳。此外,从刨链张力数值分析可知,受摩擦力的影响,刨煤机在制动之后刨头前后刨链张力分布不均,当刨煤机制动后,刨头前端刨链张力大于后端刨链张力,此时刨煤机反向重新启动刨煤机,刨煤机刨链张力将产生较大冲击。
刨煤机制动后反向启动时刨头前后刨链张力曲线如图14所示。由图14可知,刨头前端刨链张力在反向重新启动时出现张力冲击,且随着启动过程呈下降趋势;刨头后端刨链张力在重新启动时同样产生了较大的冲击,且随着启动过程呈上升趋势,在启动完成时刻二者均趋于平稳。

图14 制动后反向启动下刨头前后端刨链张力
Fig.14 Front and rear chain tension of plow head under braking and reverse starting condition
(1) 在4种启动方式中,反“S”型启动方式下刨头前后端刨链张力所产生的冲击最为平稳,该方式启动对刨煤机系统更有优势。
(2) 刨头距离刨煤机机头处越近,启动时对刨头前后端刨链张力的影响越大,产生的冲击也越大。
(3) 由于机头与机尾存在时间差,导致前后端刨链张力在启动过程中出现了较大的张力冲击。
(4) 刨煤机制动后,刨链前后张力分布不均;刨头前端刨链张力在反向重新启动时刻出现张力冲击,且随着启动过程呈下降趋势。
(5) 研究结果为设计合理的刨煤机启动、制动系统提供了理论基础。
参考文献(References):
[1] 张建军,张二伟,王宁. 薄煤层全自动化刨煤机成套设备井下工业性试验[J]. 煤炭科学技术,2014,42(9):48-51.
ZHANG Jianjun,ZHANG Erwei,WANG Ning. Industrial trial of thin seam complete full automated coal plough equipment in underground coal mine[J]. Coal Science and Technology,2014,42(9):48-51.
[2] 吕金龙,张守祥. 中国薄煤层自动化刨煤机开采现状与展望[J]. 中国新技术新产品,2014(20):121-122.
LYU Jinlong,ZHANG Shouxiang. Current situation and prospect of mining automation planing coal machine in China [J]. China New Technologies and Products,2014(20):121-122.
[3] 毛君,张瑜,刘占胜,等.间隙条件下刨煤机刨头接触碰撞动态特性研究[J]. 振动与冲击,2015,34(19):224-229.
MAO Jun,ZHANG Yu,LIU Zhansheng,et al. Dynamic characteristics of plough head under contact-impact with clearances [J]. Journal of Vibration and Shock,2015,34(19):224-229.
[4] 陈洪月,张瑜,宋秋爽,等. 含侧向间隙条件下刨煤机刨头接触碰撞动态特性研究[J]. 机械设计,2016,33(11):44-48.
CHEN Hongyue,ZHANG Yu,SONG Qiushuang,et al. Dynamic characteristics study of contact-impact of plough plow body with lateral clearance [J]. Journal of Machine Design,2016,33(11):44-48.
[5] 康晓敏,李贵轩. 刨煤机刨头的稳定性分析[J]. 中国机械工程,2012,23(22):2739-2743.
KANG Xiaomin,LI Guixuan. Stability analysis of plow body of coal plow [J]. China Mechanical Engineering,2012,23(22):2739-2743.
[6] 贺洪华,陆俭. 刨煤机刨头的振动分析与仿真研究[J]. 煤矿机电,2013(2):5-7.
HE Honghua,LU Jian. Vibration analysis and simulation study of coal plough head [J]. Colliery Mechanical & Electrical Technology,2013(2):5-7.
[7] 康晓敏,李贵轩. 单自由度刨煤机动力学模型的建立与仿真研究[J]. 振动与冲击,2009,28(2):191-195.
KANG Xiaomin,LI Guixuan. Single-degree-freedom dynamic model for coal plough and its simulation[J]. Journal of Vibration and Shock,2009,28(2):191-195.
[8] 康晓敏,李贵轩. 多自由度刨煤机动力学模型的建立与仿真[J]. 振动与冲击,2010,29(7):139-144.
KANG Xiaomin,LI Guixuan. Multi-DOF dynamic model for a coal plough with its simulation[J]. Journal of Vibration and Shock,2010,29(7):139-144.
[9] 李晓豁,刘霞,焦丽,等. 不同工况下滑行式刨煤机的动态仿真研究[J]. 煤炭学报,2010,35(7):1202-1206.
LI Xiaohuo,LIU Xia,JIAO Li,et al. Dynamic simulation of sliding coal plow under different working conditions [J]. Journal of China Coal Society,2010,35(7):1202-1206.
[10] 刘芮葭. 刨煤机纵向振动特性分析[J]. 辽宁工程技术大学学报(自然科学版),2017,36(1):65-69.
LIU Ruijia. Longitudinal vibration characteristics analysis of plough [J]. Journal of Liaoning Technical University(Natural Science),2017,36(1):65-69.
[11] 吴凤彪.重型刮板输送机顺序启动问题的研究[D].太原:太原理工大学,2011.
[12] 谢苗,毛君,许文馨. 重型刮板输送机故障载荷工况与结构载荷工况的动力学仿真研究[J].中国机械工程,2012,23(10):1200-1204.
XIE Miao,MAO Jun,XU Wenxin. Dynamics simulation of heavy scraper conveyor in working condition of failure-load and structural load[J]. China Mechanical Engineering,2012,23(10):1200-1204.
基金项目:国家自然科学基金资助项目(51365033);内蒙古科技创新引导奖励基金项目(2015CXYD-3)。
作者简介:汪建新(1962-),男,内蒙古包头人,教授,硕士研究生导师,博士,主要从事机电一体化、选矿等方面的研究工作,E-mail:nkdwjx@imust.cn。通信作者:高鑫(1994-),男,内蒙古呼和浩特人,硕士研究生,研究方向为超声波传感器,E-mail:gaoxin130@126.com。
引用格式:汪建新,高鑫,张艳萍.超声波在尾矿浆传播中的衰减特性数值模拟分析[J].工矿自动化,2018,44(3):65-69. WANG Jianxin, GAO Xin, ZHANG Yanping. Numerical simulation analysis of attenuation characteristics of ultrasonic propagation in tailing slurry[J].Industry and Mine Automation,2018,44(3):65-69.
[13] 何柏岩,孙阳辉,聂锐,等. 矿用刮板输送机圆环链传动系统动力学行为研究[J]. 机械工程学报,2012,48(17):50-56.
HE Baiyan,SUN Yanghui,NIE Rui,et al. Dynamic behavior analysis on the ring chain transmission system of an armoured face conveyor[J]. Journal of Mechanical Engineering,2012,48(17):50-56.
[14] 张东升,赵西贝,于海洋.刨煤机多体动力学建模与仿真分析[J].煤炭科学技术,2016, 44(12):124-129.
ZHANG Dongsheng, ZHAO Xibei, YU Haiyang. Analysis on multibody dynamics modeling and simulation of coal plough[J].Coal Science and Technology,2016,44(12):124-129.
[15] 毛君. 刮板输送机动力学行为分析与控制理论研究[D].阜新:辽宁工程技术大学,2006.
ZHANG Yu1, CHEN Hongyue2, HAO Zhiyong2, MAO Jun2
(1.School of Mechanical Engineering,Anyang Institute of Technology,Anyang 455000,China;2.School of Mechanical Engineering,Liaoning Technical University,Fuxin 123000,China)
Abstract:In view of problems of large impact of coal plow system under starting and braking condition,dynamic model of the coal plow system was established comprehensively considering factors of sprocket wheel polygon effect, horizontal vibration of drive sprocket shaft, and coupling characteristics between driving device and plow chain. Dynamic characteristics of the system under condition of starting, braking and reverse starting after braking were analyzed by numerical analysis method, and vibration characteristics curves of the front and rear chain tension were obtained. The analysis results show that the system dynamic characteristic are the most stationary by using reverse "S" start scheme, the method is more advantageous to the coal plow system; the nearer the distance between the plow head and the machine head is,the larger plow chain tension impact is; due to time difference between nose and tail of the machine, tension in the front and back end of the chain has a great impact in the starting process; the plow chain tensions produce difference because of uneven distribution after the coal plow system barking,the plow chain tension of the front end has great impact at the reverse restart moment, and it falls with the starting process. The research results provide theoretical basis for designing reasonable start and brake system of the coal plow.
Key words:coal mining; dynamics characteristics of coal plow; starting condition; braking condition; plow head; plow chain tension
文章编号:1671-251X(2018)03-0059-07
DOI:10.13272/j.issn.1671-251x.2017050022
中图分类号:TD421
文献标志码:A 网络出版时间:2018-01-30 09:46
网络出版地址:http://kns.cnki.net/kcms/detail/32.1627.TP.20180129.1517.001.html
收稿日期:2017-05-10;
修回日期:2017-09-22;责任编辑:张强。
基金项目:国家自然科学基金项目(51674133)。
作者简介:张瑜(1987-),男,辽宁朝阳人,讲师,博士,现主要从事机械系统动态建模与结构优化方面的研究工作,E-mail:z13464238735@sina.com。
引用格式:张瑜,陈洪月,郝志勇,等.启动与制动工况下刨煤机系统动力学特性分析[J].工矿自动化,2018,44(3):59-65. ZHANG Yu,CHEN Hongyue,HAO Zhiyong,et al. Dynamics characteristics analysis of coal plow system under starting and braking condition[J].Industry and Mine Automation,2018,44(3):59-65.
收稿日期:2017-09-27;
修回日期:2017-12-27;责任编辑:张强。