常用根1,2, 江帆1, 陈潇1
(1.中国矿业大学 机电工程学院, 江苏 徐州 221116; 2.郑州煤炭工业 (集团) 有限责任公司 工程技术研究院, 河南 郑州 450042)
摘要:针对现有矿井提升装备健康状态监测系统采取单一的信号进行状态监测,易出现误判的问题,设计了基于信号融合的矿井提升装备健康状态监测系统。该系统分别采集矿井提升装备运行过程中的主轴扭矩信号、轴承座振动信号及钢丝绳张力信号,使用决策级的信号融合方法在主控上位机中进行计算融合,并显示融合判断结果。测试结果表明,该系统能够有效监测矿井提升装备健康状态。
关键词:矿井提升装备; 健康状态监测; 信号融合; 主轴扭矩; 轴承座振动; 钢丝绳张力
矿井提升装备沿井筒提升煤炭、矸石,升降人员和设备,是连接矿山井下生产系统和地面工业广场的纽带。在提升装备运行过程中,容易出现松绳、卡罐、张力不平衡等故障,给煤矿安全生产带来了极大威胁。为了及早发现故障隐患,防止断绳等恶性事故的发生,国内外学者对矿井提升装备健康状态监测系统进行了研究[1-4]。刘芬等[5]提出一种基于振动信号的矿井提升机故障诊断方法,通过监测减速箱振动实现对减速箱的故障诊断。刘云楷等[6]、时统军等[7]分别设计了矿井提升机钢丝绳张力监测系统,通过采集分析钢丝绳动张力信号,实现提升系统状态健康监测。李夏权等[8]提出使用光电编码器对提升系统运行状态进行监测的方法,并设计了详细的监测系统。这些监测系统虽然具有广泛的适用性,但是采取单一的信号进行状态监测,一旦信号受到外界干扰,容易出现误判。为了进一步保障矿井提升系统的安全稳定运行,结合实际的可操作性,本文设计了基于信号融合的矿井提升装备健康状态监测系统,在对主轴扭矩、轴承座振动及钢丝绳张力信号进行综合监测的基础上,利用信号之间的冗余关系构建专家系统,实现了更加准确的故障预警和诊断。
矿井提升装备健康状态监测系统包括主轴扭矩信号采集子系统、轴承座振动信号测量子系统、张力信号采集子系统,总体架构如图1所示。其中,主轴扭矩信号采集子系统布置在主轴处,用于测量主轴的扭矩;振动信号采集子系统设在提升机的轴承座处,用于测量提升机轴承的振动;张力采集子系统设在张力平衡装置处,用于测量钢丝绳张力。各子系统又包含供电模块、传感器、数据采集模块、数据通信模块等。
主轴扭矩信号采集子系统主要包括电源模块、应变片、采集模块等,如图2所示。其中,采集模块又包含变送器和信号采集板卡。在现场使用过程中,应变片选用BX120-3AA型电阻应变片,其灵敏度系数为2.08±0.01;变送器选用ZNBSQ型放大变送器,其精度为±0.1%;采集板卡选用STM32板卡,并配置USR-WIFI232无线子模块。

图1 矿井提升装备健康状态监测系统硬件结构
Fig.1 Hardware structure of health condition monitoring system of mine hoisting equipment

1-电源模块;2-转轴;3-胶带;4-采集模块;5-应变片; 6-无线网卡;7-主控上位机
图2 主轴扭矩信号采集子系统
Fig.2 Spindle torque signal acquisition subsystem
测量主轴扭矩时,首先利用胶带将电阻应变片均匀布置在转轴上,按全桥方式与采集模块连线。测量时,由于主轴扭矩变化,应变片的电阻值也发生变化,导致桥路两端形成电压差;变送器将电压差放大并传输给采集板卡,并通过无线子模块发射,由无线网卡接收并传送至主控上位机软件;主控上位机软件经过换算,显示并存储实时采集的主轴扭矩信号。该子系统使用STM32板卡进行数据采集,功耗小、成本低,且能达到较高的采样频率;使用USR-WIFI232无线子模块进行通信,无需编写协议;使用WiFi无线通信方式,灵活稳定。
张力信号采集子系统主要包括拉压力传感器、变送器、模拟量采集卡、串口无线收发器等, 如图3所示。其中,拉压力传感器选用ZSF-A传感器,其额定载荷可根据实际工况配置,灵敏度为2±0.002 mV/V;采集板卡选用ADAM4117模拟量采集卡,其含有8路可独立配置的差分通道;串口无线收发器选用S02收发器,最大视距传输距离可达2 000 m。

1-箕斗;2-串口无线发送器;3-模拟量采集卡;4-变送器; 5-拉压力传感器;6-张力平衡装置;7-提升钢丝绳; 8-串口无线接收器;9-主控上位机
图3 张力信号采集子系统
Fig.3 Tension signal acquisition subsystem
拉压力传感器安装在张力平衡装置内部,即液压缸活塞杆下端与垫块之间。变送器、模拟量采集卡;串口无线发送器等放置在箕斗上部的防爆控制箱内。测量时,拉压力传感器的输出电压随钢丝绳张力的波动而发生变化,变送器将电压信号放大并传输给ADAM4117模拟量采集卡;串口信号发送器接收采集卡信号,并发射出去,串口信号接收器接收信号并传输给主控上位机。
根据提升系统的结构,提升载荷产生的激励通过提升钢丝绳传递到滚筒并与之产生耦合,而后通过主轴和主轴承等传递到主轴装置的2个轴承座。不同的提升载荷对轴承座处振动的影响不一样,因而通过监测振动信号可以实现对提升载荷异常状态的识别。
轴承座振动信号测量子系统主要包括开关电源、振动加速度传感器、变送器、模拟量采集卡等,如图4所示。其中,振动加速度传感器使用AC133-1D型传感器,灵敏度为500 mV/g,动态测量范围为±10 g;模拟量采集卡使用LabJack U12采集板卡,采样频率最高可达1 000 Hz。测量轴承座振动加速度时,首先利用磁座使2个加速度传感器吸附在两轴承座上端,并连接导线;变送器将加速度传感器输出电压放大并传输给LabJack U12采集板卡,主控上位机经USB接口接入实时采集的振动信号数据并进行显示和存储。

图4 轴承座振动信号测量子系统
Fig.4 Bearing vibration signal measurement subsystem
按照信号融合的数据抽象层次进行分类,信号融合的级别可划分为数据级融合、特征级融合及决策级融合。数据级的传感器信号融合是最低层次的融合,直接提取底层同类传感器的观测数据进行特征提取,然后进行下一步的决策判断;特征级的传感器信号融合方法属于中等层次的融合,抽象出各传感器特征进行融合,经过数据关联和状态估计,实现最终的判断;决策级的传感器信号融合方法属于高层次的融合,基于每个传感器的决策结果进行综合的融合处理。考虑到提升系统传感器信号和模型的复杂性,本文使用决策级的信号融合方法。首先对应变片信号、张力传感器信号、加速度传感器信号进行分别决策,随后利用专家系统在主控上位机中对局部决策结果进行融合处理,最终实现矿井提升装备状态的可靠监测,整个融合处理流程如图5所示。

图5 信号融合处理流程
Fig.5 Signal fusion processing flow
设系统首次运行过程中,传感器最大观测值为ci(i=1,2,…,n,n为传感器数量),传感器转换系数为ki,则可计算得到每种传感器输出阈值上限αi和阈值下限βi:
(1)
设传感器的实时输出值为ai,通过归一化处理,得到传感器的信息输出及系统的状态监测指标分别为
(2)
![]()
(3)
通过信息输出指标di和状态监测指标pi进行阈值判断,可得到综合的状态监测结果。
系统上位机软件的功能主要是实现与下位机之间的数据通信,同时显示和保存所采集的数据。考虑到动载荷监测系统物理通信方式的多样性,使用LabVIEW软件进行开发。
系统软件结构如图6所示。针对主轴扭矩信号采集子系统的WiFi通信方式,可使用系统集成的“TCP Open Connection”、“TCP Write”、“TCP Read”和“TCP Close Connection”等函数实现上位机与STM32之间的无线网络通信;针对张力信号采集子系统的串口通信方式,可使用系统集成的“VISA Configure Serial Port”、“VISA Read”和“VISA Close”等函数实现上位机与无线串口接收器之间的数据通信;针对轴承座振动信号测量子系统的USB连接,可安装LabJack U12采集卡自带的驱动程序,使用“AIstream Start”、“AIstream Read”、“AIstream Close”等函数实现上位机与LabJack U12采集卡之间的数据通信。

图6 系统软件结构
Fig.6 Software architecture of the system
在实现数据采集功能后,数据处理模块根据式(2)和式(3)计算信号的状态指标并进行阈值判断,将数据及判断结果显示在上位机上。同时,数据保存模块将实时数据以txt形式保存在上位机中,以便后续的观察处理。
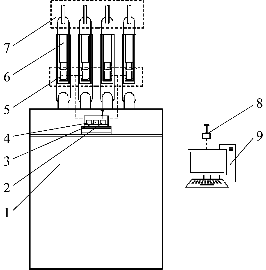
在郑煤集团新郑煤电有限责任公司对系统进行了测试。传感器现场布置如图7所示。

图7 传感器现场布置
Fig.7 Actual layout of the sensors
主井的提升机型号为JKMD-4×4(Z),设计最大静张力为680 kN,最大静张力差为220 kN;提升机提升高度为461.5 m,箕斗载质量为20 t,提升钢丝绳共4根,单位质量为8.23 kg/m,尾绳共3根,单位质量为8.87 kg/m。
出于煤矿安全生产的考虑,试验工况为系统正常运行,卡罐等难以再现的极端提升载荷未做相关试验。数据采集结果如图8所示。通过试验结果可以看出,在正常工况下,提升容器上下运行的过程中,4根提升钢丝绳的张力变化趋势基本一致,最大张力差值在提升钢丝绳张力均值±2%范围内波动。 主轴扭矩及轴承座振动的变化也符合正常运行工况,提升装备健康状态监测系统无故障报告。
设计了基于信号融合的矿井提升装备健康状态监测系统。基于现场工况的考虑,介绍了各子系统的结构及相关传感器的具体布置方式;提出了在决策级进行信号融合的方法,并使用LabVIEW软件设计了上位机软件。分别采集矿井提升装备运行过程中的主轴扭矩信号、轴承座振动信号及钢丝绳张力信号,在主控上位机中进行融合计算。测试结果表明,该系统能够有效监测矿井提升装备工作状态。

(a) 提升钢丝绳张力响应情况

(b) 最大张力差变化情况

(c) 振动及扭矩监测结果
图8 数据采集结果
Fig.8 Data collection results
参考文献(References):
[1] 聂仁东,高永新,张兰芬.基于LabVIEW的矿井提升机监控系统的研究[J].矿业工程,2009,7(3):39-41.
NIE Rendong,GAO Yongxin,ZHANG Lanfen. Research of LabVIEW-based monitoring system for mine shaft lifter[J].Mining Engineering,2009,7(3):39-41.
[2] 祁瑞敏,张国栋.基于LabVIEW的矿井提升机状态监测与健康诊断系统设计[J].电子设计工程,2012,20(24):106-108.
QI Ruimin,ZHANG Guodong.Condition monitoring and health diagnosing system for mine hoister based on LabVIEW[J].Electronic Design Engineering,2012,20(24):106-108.
[3] 申玉罡,魏士敬.立井提升机天轮全程松绳保护探索与实践[J].煤炭科学技术,2012,40(增刊1):91-92.
SHEN Yugang,WEI Shijing.Explore and practice on slack rope full protection of vertical shaft hoist sheave[J].Coal Science and Technology,2012,40(S1):91-92.
[4] 肖兴明,王鹏,黄继战.立井罐道测试方法浅析[J].煤炭科学技术,2004,32(12):36-38.
XIAO Xingming,WANG Peng,HUANG Jizhan.Brief analysis on test method for cage guide in mine shaft[J]. Coal Science and Technology,2004,32(12):36-38.
[5] 刘芬,孟淑琴.矿井提升机振动监测系统的设计及其故障诊断[J].工矿自动化,2008,34(2):108-110.
LIU Fen,MENG Shuqin.Design of vibration monitoring of mine hoist and its fault diagnosis[J].Industry and Mine Automation,2008,34(2):108-110.
[6] 刘云楷,徐桂云,张晓光.多绳摩擦式提升机钢丝绳张力在线监测系统[J].煤矿机械,2011,32(5):131-133.
LIU Yunkai,XU Guiyun,ZHANG Xiaoguang.Monitoring system for tension of wire rope used for multi-rope friction hoist[J].Coal mine Machinery,2011,32(5):131-133.
[7] 时统军,王朋,王博.矿井提升机钢丝绳张力监测系统设计[J].工矿自动化,2014,40(6):103-105.
SHI Tongjun,WANG Peng,WANG Bo.Design of wire rope tension monitoring system of mine hoist[J].Industry and Mine Automation,2014, 40(6):103-105.
[8] 李夏权.矿井摩擦提升安全监控系统设计[J].煤炭科学技术,2014,42(8):75-78.
LI Xiaquan.Design on safety monitoring and control system of mine friction hoisting[J].Coal Science and Technology,2014,42(8):75-78.
[9] 彭嫚,贾海朋,张正平,等.基于LabJack U12和LabVIEW的数据采集系统设计[J].仪表技术与传感器,2007(10):25-26.
PENG Man,JIA Haipeng,ZHANG Zhengping,et al.Design for data acquisition system based on LabJack U12 and LabVIEW[J].Instrument Technique and Sensor,2007(10):25-26.
[10] 罗开玉,李伯全,孙杰,等.基于虚拟仪器技术的应变测试系统[J].江苏大学学报(自然科学版),2005,26(2):106-109.
LUO Kaiyu,LI Boquan,SUN Jie,et al.Strain measurement system based on virtual instrument technology[J].Journal of Jiangsu University(Natural Science Edition),2005,26(2):106-109.
CHANG Yonggen1,2, JIANG Fan1, CHEN Xiao1
(1.School of Mechanical and Electrical Engineering,China University of Mining and Technology, Xuzhou 221116, China; 2.Engineering Technology Institute, Zhengzhou Coal Industry Group Co., Ltd., Zhengzhou 450042, China)
Abstract:In view of problem that health condition monitoring system of existing mine hoist equipment uses a single signal for condition monitoring which easily leads to misjudgment, health condition monitoring system of mine hoisting equipment based on signal fusion was designed. The system collects spindle torque signal, bearing vibration signal and wire rope tension signal during operation of mine hoisting equipment respectively. The signal fusion method of decision level was used to calculate and fuse in host computer, and fusion judgment result was displayed. The test results show that the system can effectively monitor health condition of mine hoisting equipment.
Key words:mine hoisting equipment; health condition monitoring; signal fusion; spindle torque; bearing vibration; wire rope tension
收稿日期:2017-09-11;
修回日期:2017-12-20;
责任编辑:胡娴。
基金项目:国家重点基础研究发展计划(973计划)项目(2014CB049404);国家自然科学基金项目(51605478);中国博士后科学基金面上资助项目(2016M590513)。
作者简介:常用根(1963-),男,河南林州人,高级工程师,博士研究生,从事矿山现场机电设备及安全检测检验方面的研究工作,E-mail:1739580123@qq.com。
引用格式:常用根,江帆,陈潇.矿井提升装备健康状态监测系统设计[J].工矿自动化,2018,44(2):38-42.
CHANG Yonggen,JIANG Fan,CHEN Xiao.Design of health condition monitoring system of mine hoisting equipment[J].Industry and Mine Automation,2018,44(2):38-42.
文章编号:1671-251X(2018)02-0038-05
DOI:10.13272/j.issn.1671-251x.2017090029
中图分类号:TD633
文献标志码:A 网络出版时间:2018-01-08 09:19
网络出版地址:http://kns.cnki.net/kcms/detail/32.1627.TP.20180106.2106.002.html