梁荣1, 董丁稳2
(1.西安科技大学 计算机科学与技术学院, 陕西 西安 710054; 2.西安科技大学 安全科学与工程学院, 陕西 西安 710054)
摘要:针对矿井瓦斯监测数据采用小波消噪容易剔除有效信号成分的问题,提出了一种基于希尔伯特-黄变换的矿井瓦斯监测数据消噪方法。该方法将原始瓦斯监测数据序列通过经验模态分解处理成若干固有模态函数分量的集合,进而通过Hilbert变换得到边际谱,依据原始瓦斯监测数据序列与各固有模态函数分量边际谱中的幅频关系来分析二者的相关性,确定噪声信号序列并剔除。实例分析表明,通过经验模态分解处理使得瓦斯监测数据序列在时间尺度上特征明显,易于识别信号的高频噪声部分,通过Hilbert谱分析,可消除瓦斯监测数据序列中的高频噪声信号,并保留原始瓦斯监测数据的本征特征,在实现消噪处理的同时避免信号失真,保持了瓦斯监测数据的真实性。
关键词:矿井瓦斯; 瓦斯监测; 瓦斯监测数据消噪; 信号失真; 希尔伯特-黄变换; 经验模态分解
随着煤矿自动化水平的不断提高,中国煤矿矿井已普遍配备了安全监测监控系统[1]。加强对各类监测数据的处理能力不仅是煤矿安全监测监控系统升级改造中的重要内容,也是煤矿瓦斯灾害防治技术研究领域中提高煤矿瓦斯事故风险预控水平的重要技术手段[2]。然而,在井下数据采集与传输过程中,煤尘、有毒有害气体与水蒸气、高温等环境因素,设备开停、高压脉冲等电磁干扰因素,都会导致监测精度下降、产生噪声信号,噪声信号的存在会降低瓦斯监测数据后期处理的计算精度及其应用可靠性。因此,瓦斯监测数据消噪是监测数据处理和利用的重要前提。目前,针对瓦斯监测数据中的信号除噪问题,主要采用小波消噪方法[3],其缺点在于消噪过程中容易剔除有效信号成分。希尔伯特-黄变换(Hilbert-Huang Transform,HHT)是一种用于非线性、非平稳时间序列分析的方法[4],可精确表达非线性、非平稳时间序列中频率随时间的变化规律,同时可避免虚假频率和信号冗余等问题,已经在电力、通信、地理信息系统等领域的信号处理中得到了良好应用[5-9]。基于此,本文提出了一种基于HHT的矿井瓦斯监测数据消噪方法,可为监测数据的深度处理与利用奠定基础。
HHT是经验模态分解(Empirical Mode Decomposition,EMD)和Hilbert谱分析的统称[10]。对瓦斯监测数据序列进行时频分析,首先要利用EMD方法将瓦斯监测数据序列分解成固有模态函数(Intrinsic Mode Function,IMF)的累加,然后通过Hilbert变换获得序列的瞬时频率、Hilbert谱和Hilbert边际谱[11-12]。
EMD方法是一个反复筛分的过程,对瓦斯监测数据序列x(t)(t=1,2,…,N,N为序列长度)按照IMF假设条件[13]进行分解:
(1)
式中:ci(t)为第i(i=1,2,…,n,n为IMF分量个数)个IMF分量;rn(t)为余项,代表序列的平均趋势。
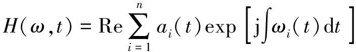
在HHT中表征信号突变的基本量是瞬时频率[14],对每个IMF分量进行Hilbert变换,得
z(t)=ci(t)+jH[ci(t)]=ai(t)exp[jφi(t)]
(2)
式中:H[·]表示希尔伯特变换;ai(t)为幅值函数,
;φi(t)为相位函数,![]()
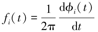
对相位函数求导,得到瞬时角频率ωi(t)和瞬时频率fi(t):
(3)
(4)
省略余项rn(t),瓦斯监测数据序列可表示为

(5)
式(5)称为Hilbert谱,即
(6)
Hilbert谱表达了各IMF的时间、瞬时频率和能量的关系,H(ω,t)对时间积分,得到Hilbert边际谱:
H(ω)=
H(ω,t)dt
(7)
边际谱表达了在整个时间长度内累积的波动幅度,即每个频率点的累积幅值分布。
依据HHT基本原理,瓦斯监测数据消噪处理过程如下:
(1) 瓦斯监测数据EMD处理。对于煤矿井下一定时间长度的原始瓦斯监测数据序列,首先通过EMD处理将其分解成n个IMF分量cl(t),c2(t),…,cn(t)。
(2) 瓦斯监测数据HHT谱分析。对每个IMF分量进行Hilbert变换,计算得到原始瓦斯监测数据序列的边际谱,从边际谱所呈现的幅频关系中,确定边际谱中能量集中的频率区间[H1,H2],作为原始瓦斯监测数据序列的有效频率分布范围。同样地,对每个IMF分量进行EMD处理和Hilbert变换,得到每个IMF分量的边际谱。
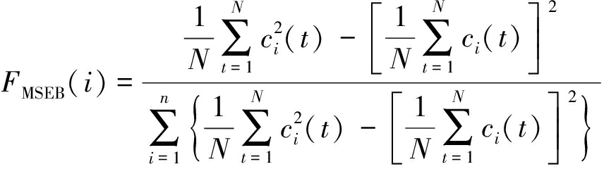
(3) 相关性分析。依据幅频特征来分析每个IMF分量与原始瓦斯监测数据序列的相关性。当IMF分量的边际谱中能量分布在原始瓦斯监测数据序列的有效频率分布范围内且有所集中时,可认为存在相关性,相关性的强弱依据幅频关系中能量在频率分布区间的集中程度来判定。当IMF分量的边际谱中能量分布较集中,且明显集中在区间[H1,H2]时,则相关性很强;若能量分布较分散,且不在区间[H1,H2]时,认为相关性很弱或近似没有相关性。
对于IMF分量的边际谱中能量分布较分散,且部分分布在区间[H1,H2]、部分不在区间[H1,H2]的情况,通过计算IMF分量对于原始瓦斯监测数据序列的方差贡献率来判定相关性。在区间[H1,H2]能量集中程度不明显是由于瓦斯监测数据序列较复杂,EMD处理过程中可能会产生虚假信号,虚假信号实际上是IMF分量之和与原始瓦斯监测数据的误差,且误差与序列长度有关。依据统计学原理[15],方差贡献率可衡量各IMF分量对于原始瓦斯监测数据序列的重要性,其值越高,说明该IMF分量与原始瓦斯监测数据序列的相关性越强,虚假信号成分越少。IMF分量对于原始瓦斯监测数据序列的方差贡献率为

(8)
(4) 瓦斯监测数据消噪。基于相关性分析,将没有相关性或相关性很弱的IMF分量及方差贡献率较小的IMF分量判定为噪声信号序列,消除噪声信号序列后的瓦斯监测数据序列可表示为
为IMF分量中噪声信号序列个数。
采集陕西某煤矿回采工作面上隅角10 d的瓦斯监测数据,该煤矿安全监测监控系统监测周期为30 s,由于实际获取的监测数据时间间隔不均匀,以每1 min重采样,构成原始瓦斯监测数据序列,如图1所示。瓦斯监测数据序列长度为14 400;瓦斯体积分数最大值为0.694%,最小值为0.200%,平均值为0.362%。

图1 原始瓦斯监测数据序列
Fig.1 Original gas monitoring data
采用式(1)对原始瓦斯监测数据序列进行EMD处理,得到14个IMF分量,如图2所示,其中c14为余项,代表瓦斯监测数据序列的平均趋势。从图2可看出,前5个IMF分量c1—c5表现出高频特征,可能包含噪声信号。采用式(2)—式(5)进行Hilbert变换,得到原始瓦斯监测数据序列及c1—c5的边际谱,如图3所示。
由图3(a)可知,原始瓦斯监测数据序列边际谱中能量基本上分布在30 Hz频率以内,因此确定有效频率区间为[0,30]Hz。由图3(b)可知,c1—c3边际谱中能量在有效频率区间内近乎为零,且在其他频率区间内能量分布较集中;c4,c5边际谱中能量在有效频率区间内有所集中,但比较分散。采用式(8)计算c4,c5对于原始瓦斯监测数据序列的方差贡献率,分别为0.081,0.402。因此,c1—c4与原始瓦斯监测数据序列近似无相关性或相关性很弱,符合高频噪声的特征,应当剔除,而余项反映了瓦斯监测数据的平均趋势,不能剔除。HHT消噪处理后的瓦斯监测数据序列如图4所示。

图2 IMF分量
Fig.2 IMF component

图3 边际谱
Fig.3 Marginal spectrum

图4 HHT消噪处理后的瓦斯监测数据序列
Fig.4 De-noised gas monitoring data by HHT
为验证本文所提方法的优越性,对同样的原始瓦斯监测数据序列进行小波消噪处理,结果如图5所示。

图5 小波消噪处理后的瓦斯监测数据序列
Fig.5 De-noised gas monitoring data by wavelet
从图4可看出,经HHT消噪处理后,瓦斯监测数据序列特征曲线变得较光滑,变化幅值与波动程度减小,且时频特征较明显,突变点数及其突变程度都有一定程度减小,在保留原始瓦斯监测数据序列低频部分有效信号的同时,没有损失高频信号分量,因此消噪处理结果接近实际值,确保了监测数据的真实性。从图5可看出,小波消噪较明显地剔除了瓦斯监测数据序列中的有效数据,导致信号失真。
(1) 利用EMD方法分解瓦斯监测数据序列,使其在时间尺度上特征明显,以辨识噪声信号,并且便于提取瓦斯监测数据序列的本征特征。
(2) 通过Hilbert变换得到边际谱,以边际谱中的幅频关系来确定有效频率区间,以相关性分析来判别噪声分量,不仅可保留瓦斯监测数据序列的低频分量,而且在剔除噪声信号的同时不损失信号的高频部分,避免信号失真。
参考文献(References):
[1] 董丁稳.基于安全监控系统实测数据的瓦斯浓度预测预警研究[D].西安:西安科技大学,2012:2-3.
[2] 董丁稳,屈世甲,王红刚.矿井瓦斯监测数据特征分析及预处理[J].工矿自动化,2015,41(6):1-5.
DONG Dingwen,QU Shijia,WANG Honggang.Characteristic analysis and preprocessing of mine gas monitoring data[J].Industry and Mine Automation,2015,41(6):1-5.
[3] PERCIVAL D B,WALDEN A T.Wavelet methods for time series analysis[M].Cambridge:Cambridge University Press,2006.
[4] CHEN Q H,HUANG N E,RIEMENSCHNEIDER S,et al.A B-spline approach for empirical mode decomposition[J].Advances in Computational Mathematics,2006,24(1/2/3/4):171-195.
[5] 曲从善,路廷镇,谭营.一种改进型经验模态分解及其在信号消噪中的应用[J].自动化学报,2010,36(1):67-70.
QU Congshan,LU Tingzhen,TAN Ying.A modified empirical mode decomposition method with applications to signal de-noising[J].Acta Automatica Sinica,2010,36(1):67-70.
[6] 李夕兵,张义平,左宇军,等.岩石爆破振动信号的EMD滤波与消噪[J].中南大学学报(自然科学版),2006,37(1):150-154.
LI Xibing,ZHANG Yiping,ZUO Yujun,et al.Filtering and denoising of rock blasting vibration signal with EMD[J].Journal of Central South University(Science and Technology),2006,37(1):150-154.
[7] 甘雨,隋立芬,王冰.经验模态分解阈值消噪方法及其在惯性导航系统数据处理中的应用[J].测绘学报,2012,41(4):504-509.
GAN Yu,SUI Lifen,WANG Bing.EMD threshold de-noising and its applications in INS data processing[J].Acta Geodaetica et Cartographica Sinica,2012,41(4):504-509.
[8] 李洪,孙云莲.基于EMD虚拟通道的ICA算法在信号消噪中的应用[J].北京邮电大学学报,2007,30(5):33-36.
LI Hong,SUN Yunlian.Denoising by ICA based on EMD virtual channel[J].Journal of Beijing University of Posts and Telecommunications,2007,30(5):33-36.
[9] 林瑞忠,林俊豪,李玉榕,等.HHT在多相流差压信号消噪上的应用[J].福州大学学报(自然科学版),2011,39(4):550-556.
LIN Ruizhong,LIN Junhao,LI Yurong,et al.Application of HHT to denoise the multiphase flow differential pressure[J].Journal of Fuzhou University(Natural Science Edition),2011,39(4):550-556.
[10] 朱丹丹,王鹏.EMD消噪在取样光栅滤波器设计中的应用[J].传感技术学报,2012,25(3):374-377.
ZHU Dandan,WANG Peng.The application of EMD denoise in design of sampled grating comb filter[J].Chinese Journal of Sensors and Actuators,2012,25(3):374-377.
[11] HUANG N E,SHEN Z,LONG S R,et al.The empirical mode decomposition and the Hilbert spectrum for nonlinear and non-stationary time series analysis[J].Proceedings: Mathematical, Physical and Engineering Sciences,1998,454(1971):903-995.
[12] HUANG N E,WU M L C,LONG S R,et al.A confidence limit for the empirical mode decomposition and Hilbert spectral analysis[J].Proceedings: Mathematical, Physical and Engineering Sciences,2003,459(2037):2317-2345.
[13] PENG Z K,TSE P W,CHU F L.An improved Hilbert-Huang transform and its applications in vibration signal analysis[J].Journal of Sound and Vibration,2005,286:187-205.
[14] QIN S R,ZHONG Y M.A new envelope algorithm of Hilbert-Huang transform[J].Mechanical Systems and Signal Processing,2006,20(8):1941-1952.
[15] 徐锋,刘云飞.基于EMD-SVD的声发射信号特征提取及分类方法[J].应用基础与工程科学学报,2014,22(6):1238-1247.
XU Feng,LIU Yunfei.Feature extraction and classification method of acoustic emission signals generated from plywood damage based on EMD-SVD[J].Journal of Basic Science and Engineering,2014,22(6):1238-1247.
LIANG Rong1, DONG Dingwen2
(1.School of Computer Science and Technology, Xi'an University of Science and Technology, Xi'an 710054, China; 2.College of Safety Science and Engineering, Xi'an University of Science and Technology, Xi'an 710054, China)
Abstract:In order to solve problem of easily eliminating effective signal component of mine gas monitoring data by wavelet de-noising, a de-noising method of mine gas monitoring data based on Hilbert-Huang transform was proposed. Original gas monitoring data sequence is decomposed into a set number of intrinsic mode function components by using empirical mode decomposition, and marginal spectrum is obtained through Hilbert transform. Correlation between the original sequence and each intrinsic mode function component is analyzed according to amplitude frequency relationship in the marginal spectrum between the original signal and each intrinsic mode function component, so as to determine and eliminate noise signal sequence. The case analysis shows that characteristics of the gas monitoring data is clear in time scale by empirical mode decomposition, which is good for identifing high frequency noise of the signal easily. The high frequency noise of gas monitoring data is eliminated through Hilbert spectrum analysis, and intrinsic characteristic of the original gas monitoring data is retained, which avoids signal distortion while de-noising is achieved, and maintains authenticity of the gas monitoring data.
Key words:mine gas; gas monitoring; de-noising of gas monitoring data; signal distortion; Hilbert-Huang transform; empirical mode decomposition
收稿日期:2017-09-01;
修回日期:2017-12-27;
责任编辑:盛男。
基金项目:陕西省教育厅科研计划资助项目(15JK1454)。
作者简介:梁荣(1979-),女,陕西渭南人,讲师,博士研究生,主要研究方向为矿山安全信息工程,E-mail:530790935@qq.com。
引用格式:梁荣,董丁稳.矿井瓦斯监测数据消噪方法[J].工矿自动化,2018,44(2):18-22.
LIANG Rong,DONG Dingwen.De-noising method of mine gas monitoring data[J].Industry and Mine Automation,2018,44(2):18-22.
文章编号:1671-251X(2018)02-0018-05
DOI:10.13272/j.issn.1671-251x.17288
中图分类号:TD712
文献标志码:A 网络出版时间:2018-01-19 09:38
网络出版地址:http://kns.cnki.net/kcms/detail/32.1627.TP.20180119.0925.001.html