郭雨1,3,4, 刘晓明1,2, 冯凯1,3,4, 丁恩杰1,3,4, 赵端1,3,4
(1.中国矿业大学 信息与控制工程学院, 江苏 徐州 221008; 2.南京林业大学 信息科学技术学院, 江苏 南京 210037; 3.中国矿业大学 物联网(感知矿山)研究中心, 江苏 徐州 221008; 4.矿山互联网应用技术国家地方联合工程实验室, 江苏 徐州 221008)
摘要:针对利用无线充电装置为井下无线可充电传感器网络进行能量传输的场景,将充电装置的部署转化为充电覆盖问题,并结合充电模型建立了最优充电覆盖模型。为求得最优充电覆盖模型的近似最优解,提出了一种基于网格划分的无线充电装置部署算法。该算法通过网格划分及扫描的方式确定充电装置的最优位置,在满足所有传感器节点充电覆盖的同时,最小化充电装置的数量。仿真结果表明,传感器节点数量较少时,网格大小对充电覆盖的影响不大,但充电半径对充电装置数量的影响较大;传感器节点数量较多时,网格大小对充电覆盖有一定的影响,但充电半径对充电装置数量的影响不大,当充电半径超过一定范围时,所需充电装置数量几乎不变。
关键词:井下无线充电; 井下无线充电装置部署; 无线可充电传感器网络; 无线充电装置; 网格划分; 充电覆盖
中图分类号:TD655
文献标志码:A
文章编号:1671-251X(2018)12-0078-05
DOI:10.13272/j.issn.1671-251x.17366
网络出版地址:http://kns.cnki.net/kcms/detail/32.1627.TP.20181127.1150.002.html
收稿日期:2018-09-03;
修回日期:2018-11-21;
责任编辑:盛男。
基金项目:国家重点研发计划项目(2017YFC0804400)。
作者简介:郭雨(1992-),女,江苏徐州人,硕士研究生,主要研究方向为煤矿井下无线可充电传感器网络,E-mail:1426169007@qq.com。
引用格式:郭雨,刘晓明,冯凯,等.基于网格划分的井下无线充电装置部署算法[J].工矿自动化,2018,44(12):78-82.
GUO Yu,LIU Xiaoming,FENG Kai,et al.Underground wireless charging device deployment algorithm based on grid division[J].Industry and Mine Automation,2018,44(12):78-82.
GUO Yu1,3,4, LIU Xiaoming1,2, FENG Kai1,3,4, DING Enjie1,3,4, ZHAO Duan1,3,4
(1.School of Information and Control Engineering, China University of Mining and Technology, Xuzhou 221008, China; 2.College of Information Science and Technology, Nanjing Forestry University, Nanjing 210037, China; 3.Internet of Things(Perception Mine) Research Center, China University of Mining and Technology, Xuzhou 221008, China; 4.The National and Local Joint Engineering Laboratory of Internet Technology on Mine, Xuzhou 221008, China)
Abstract:Aiming at scenario of using wireless charging device to carry out energy transmission for underground wireless rechargeable sensor networks, deployment of charging device was transformed into charging coverage problem, and the optimal charging coverage model was established based on charging model. In order to obtain the approximate optimal solution of the optimal charging coverage model, a wireless charging device deployment algorithm based on grid division was proposed. The optimal position of charging device is determined through grid division and scanning, and the number of charging devices is minimized while charging coverage of all sensor nodes is satisfied. The simulation results show that when the number of sensor nodes is small, grid size has little influence on charging coverage, while charging radius has a great influence on the number of charging devices. When the number of sensor nodes is large, grid size has a certain influence on charging coverage, while charging radius has little influence on the number of charging devices. When charging radius exceeds a certain range, the number of charging devices required is almost constant.
Key words:underground wireless charging; underground wireless charging device deployment; wireless rechargeable sensor networks; wireless charging device; grid division; charging coverage
煤矿井下环境复杂,灾害频繁发生,通过部署无线传感器网络(Wireless Sensor Networks,WSNs),井下工作场所的安全及运营服务在很大程度上得到了维护和改善[1]。矿井环境中传感器节点繁多,为保证煤矿井下安全生产,要求传感器节点持续稳定地工作。但常用的传感器节点一般采用电池供电,这种供电方式会带来维护难、污染重等问题。同时,传感器节点的尺寸逐渐微小型化,导致可使用的电量受限,影响传感器节点的使用寿命、网络稳定性、应用范围、服务质量等,制约WSNs生命周期[2]。
无线充电技术[3-6]与传统WSNs的结合应用构成了无线可充电传感器网络(Wireless Rechargeable Sensor Networks,WRSNs)[7],其通过无线充电装置为传感器节点提供稳定、充足的能量[8],与传统WSNs相比更加可靠。目前,无线充电装置的部署方法研究集中在地面WRSNs的应用中。He Shibo等[9]确定了经验充电模型,在传统WSNs区域覆盖问题的基础上,研究如何部署固定的充电装置来保证网络中所有节点都能持续工作,然后进一步减少充电装置的数量。Zhang Sheng等[10]主要考虑了充电装置放置及功率分配的问题,在二维目标区域内优化充电质量,认为充电装置的最大覆盖距离取决于功率和环境。Lin Tuliang等[11]考虑了功率失衡的因素,提出了一种功率平衡感知部署方法来解决WRSNs中的功率不平衡问题,并设计了具有最大充电效率的充电装置部署方案。然而,针对煤矿井下特殊环境的无线充电装置部署研究很少。
在煤矿井下环境,传感器节点分布较集中时,可采用位置固定的无线充电装置(固定部署方式)覆盖区域中所有传感器节点[12],与移动充电方式[13-14]相比,固定部署方式操作简单、有效。针对采用固定部署方式的煤矿井下WRSNs,本文将充电装置的部署转化为充电覆盖问题,并结合充电模型建立了最优充电覆盖模型,同时提出了一种基于网格划分的无线充电装置部署算法,用于求解最优充电覆盖模型的近似最优解;通过仿真分析了不同传感器节点数量下,网格大小和充电半径对充电覆盖的影响。
井下巷道中,传感器节点一般分布在巷道中上部,从巷道纵向的剖面图来看,整个传感器网络呈带状分布。为了简化分析,本文仅考虑二维矩形巷道的场景,设其区域为Ω,有M个用于监测环境信息的可充电传感器节点s1,s2,…,sM分布其中,传感器节点的集合记为S={s1,s2,…,sM},同时每个节点的位置已知,并根据实际情况进行部署。有待部署的N个无线充电装置c1,c2,…,cN,充电装置的集合记为C={c1,c2,…,cN},每个充电装置可安装在Ω中的任一点,充电覆盖范围为以该点为中心、充电装置可覆盖的最大距离R为半径(即充电半径)的圆。
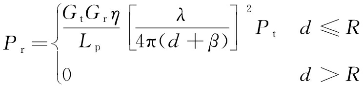
本文参考文献[9]中的经验充电模型,距离充电装置d处节点的充电模型可表示为

(1)
式中:Pr为节点的充电功率;Gt为充电装置的发射天线增益;Gr为节点的天线增益;η为节点的整流效率;λ为电磁波波长;Pt为充电装置的发射功率;Lp为极化损失;β为近距离时用于调整Friis自由空间传输方程的参数。
对于井下布置的可充电传感器节点,采用充电装置为节点充电的问题可抽象为最优充电覆盖:保证所有节点持续运行;所需充电装置的数量最少。
由1.1节所描述的WRSNs模型可知,至少需要N个充电装置来完成充电覆盖,则整个WRSNs被划分为N个区间。在每个区间内放置1个充电装置,所有充电装置的集合改写为C={ci(xi,yi),i=1,2,…,N},其中ci(xi,yi)为第i个充电装置在区域Ω中的位置坐标。
为了保证所有节点持续运行,在每个区间内应满足:充电装置提供给每个节点的充电功率不小于每个节点的消耗功率[15-16]。假设在第i个区间内,充电装置所能覆盖的节点数为q(q≤M),则应满足
{Prij≥Pj|j=1,2,…,q}
(2)
式中:Prij为ci提供给第j个节点的充电功率;Pj为第j个节点的消耗功率。
为了最大化能量传递效率,必须满足在每个区间内,所有节点获得的充电功率最大化,即
(3)
式中Pri为第i个区间内充电装置提供给每个节点的充电功率。
因此,最优充电覆盖模型即在满足式(1)—式(3)的条件下,利用最少的充电装置实现井下最优充电覆盖。
对于最优充电覆盖模型,很难用计算推导的方式求解一个确定的结果。网格划分是一种常用的传感器节点部署方法[17],利用正方形或六边形网格去划分目标区域,通过逐行扫描的方式在合适网格放置节点,来实现兴趣区域覆盖。网格划分方法的求解精度、速度及所需节点数量都与网格的边长呈负相关。
本文借鉴网格划分的思想,将可充电传感器节点作为区域中的兴趣点,选用等距的正方形网格对巷道矩形区域进行划分。然后对划分后形成的网格进行逐行扫描,从中选择满足式(1)—式(3)的最优网格作为下一个充电装置的部署位置。选择放置下一个充电装置的网格应满足2个条件:充电覆盖的传感器节点最多;传递到传感器节点的充电功率总和最大。当放置了1个充电装置后,将被覆盖的传感器节点从传感器节点的集合S中移除,防止重复覆盖。继续扫描网格,直到传感器节点的集合S为空,此时所有充电装置的部署位置就是最优充电覆盖模型的一个近似最优解。
基于网格划分的井下无线充电装置部署算法描述如下。
(1) 初始化巷道参数:巷道长度L、巷道高度H、正方形网格边长D。
(2) 初始化WRSNs参数:可充电传感器节点的集合S。
(3) 初始化充电参数:充电半径R、充电装置的集合C(初始为空)。
(4) 设置中间变量:网格位置grid(m,n)、网格位置处充电覆盖的最大节点数K(初始为0)、网格位置处充电装置提供给节点的充电功率总和P、网格的行号l和列号h。
(5) 网格扫描:
while (S不为空)
form=1:l%网格行号
forn=1:h%网格列号
count=grid(m,n)处充电覆盖的节点数;
if count>K
K=count; %更新网格位置处充电覆盖的最大节点数
C=grid(m,n);
P=grid(m,n)处充电装置提供给节点的充电功率总和;
从S删除被覆盖的节点;
else if count=K
选取P最大时对应的网格位置;
C=更新的网格位置;
从S删除被覆盖的节点;
end
end
end
end
(6) 输出C。
设置实验巷道为10 m×3 m的矩形区域,采用随机的方式在区域内分别生成10,20个点来表征可充电传感器节点的位置。充电模型中,设置Pt=1 W,η=0.125,Gt=8 dBi,Gr=2 dBi,λ=0.33 m,Lp=1,β=0.23。
3.2.1 不同网格大小对充电覆盖的影响
当充电半径R=1 m时,分别设置网格边长D=0.05,0.50 m,充电覆盖情况如图1和图2所示(圆心为充电装置所在位置),可看出本文算法很好地实现了所有可充电传感器节点的充电覆盖。从图1可看出,网格大小对充电覆盖的影响不大,这与节点数量较少、分布较稀疏有关。从图2可看出,网格增大后,充电装置的数量增加了1个,同时充电装置的位置略有变化,说明网格大小对充电覆盖有一定的影响,网格越小,充电覆盖越接近最优。
3.2.2 不同充电半径对充电覆盖的影响
当网格边长D=0.05 m时,分别设置充电半径

(a)D=0.05 m

(b)D=0.50 m
图1 不同网格大小下10个节点的充电覆盖情况
Fig.1 Charging coverage of 10 nodes under different grid sizes

(a)D=0.05 m

(b)D=0.50 m
图2 不同网格大小下20个节点的充电覆盖情况
Fig.2 Charging coverage of 20 nodes under different grid sizes
R=1,2 m,充电覆盖情况如图3和图4所示。从图3可看出,节点数量较少时,增大充电半径会使充电装置的数量减少。从图4可看出,节点数量较多时,不同的充电半径对所需充电装置的数量影响不大,但对充电装置的分布位置有一定的影响。
3.2.3 不同充电半径对充电装置数量的影响
充电装置数量随充电半径的变化趋势如图5所示。可看出在相同的充电半径下,传感器节点的数量越多,所需充电装置的数量基本上越多;节点数量较少时,所需充电装置的数量随充电半径的增加而逐渐下降;节点数量较多时,充电半径增加到一定程度,所需充电装置的数量不再变化。

(a)R=1 m

(b)R=2 m
图3 不同充电半径下10个节点的充电覆盖情况
Fig.3 Charging coverage of 10 nodes under different charging radius

(a)R=1 m

(b)R=2 m
图4 不同充电半径下20个节点的充电覆盖情况
Fig.4 Charging coverage of 20 nodes under different charging radius

图5 充电装置数量随充电半径的变化趋势
Fig.5 Variation trend of the number of charging devices with charging radius
(1) 基于网格划分的井下无线充电装置部署算法将巷道区域划分为若干正方形网格,通过网格扫描的方式确定充电装置的最优位置,在满足所有传感器节点充电覆盖的同时,最小化充电装置的数量。
(2) 传感器节点数量较少时,网格大小对充电覆盖的影响不大,但充电半径对充电装置数量的影响较大;传感器节点数量较多时,网格大小对充电覆盖有一定的影响,但充电半径对充电装置数量的影响不大,当充电半径超过一定范围时,所需充电装置数量几乎不变。
参考文献( References) :
[1] MORIDI M A,SHARIFZADEH M,KAWAMURA Y,et al.Development of wireless sensor networks for underground communication and monitoring systems (the cases of underground mine environments)[J].Tunnelling & Underground Space Technology,2018,73:127-138.
[2] 傅凌焜.可充电传感器网络能量优化研究[D].杭州:浙江大学,2015.
[3] LI Songyuan,FU Lingkun,HE Shibo,et al.Near-optimal co-deployment of chargers and sink stations in rechargeable sensor networks[J].ACM Transactions on Embedded Computing Systems,2017,17(1):1-19.
[4] 刘晓明.煤矿巷道移动微波输能关键技术研究[D].徐州:中国矿业大学,2017.
[5] 满忠诚,刘晓明,赵端.共信道下微波输能与数据通信干扰机制研究[J].工矿自动化,2016,42(8):21-24.
MAN Zhongcheng,LIU Xiaoming,ZHAO Duan.Research on interference mechanism between microwave power transmission and data communication in co-channel[J].Industry and Mine Automation,2016,42(8):21-24.
[6] 刘晓明,满忠诚,赵端.用于井下电磁能量收集的功率传输模型[J].工矿自动化,2016,42(5):56-63.
LIU Xiaoming,MAN Zhongcheng,ZHAO Duan.Power transfer model of electromagnetic energy harvesting used in mine tunnels[J].Industry and Mine Automation,2016,42(5):56-63.
[7] YANG Y,WANG C,LI J.Wireless rechargeable sensor networks:current status and future trends[J].Journal of Communications,2015,10(9):696-706.
[8] CHEN Feiyu,ZHAO Zhiwei,MIN Geyong,et al.Speed control of mobile chargers serving wireless rechargeable networks[J].Future Generation Computer Systems,2018,80:242-249.
[9] HE Shibo,CHEN Jiming,JIANG Fachang,et al.Energy provisioning in wireless rechargeable sensor networks[C]//Proceedings IEEE INFOCOM,Shanghai,2011:2006-2014.
[10] ZHANG Sheng,QIAN Zhuzhong,KONG Fanyu,et al.P3: Joint optimization of charger placement and power allocation for wireless power transfer[C]//IEEE Conference on Computer Communications,Hong Kong,2015:2344-2352.
[11] LIN Tuliang,LI Shenglin,CHANG Hongyi.A power balance aware wireless charger deployment method for complete coverage in wireless rechargeable sensor networks[J].Energies,2016,9(9):695.
[12] 何灏,陈永锐,易卫东,等.无线可充电传感器网络中固定充电器的部署策略[J].通信学报,2017,38(增刊1):156-164.
HE Hao,CHEN Yongrui,YI Weidong,et al.Deployment strategy for static chargers in WRSN[J].Journal on Communications,2017,38(S1):156-164.
[13] SANGARE F,XIAO Yong,NIYATO D,et al.Mobile charging in wireless-powered sensor networks: optimal scheduling and experimental implementation[J].IEEE Transactions on Vehicular Technology,2017,66(8):7400-7410.
[14] 叶晓国,程羽波.无线可充电传感器网络中的移动充电调度算法[J].计算机应用,2017,37(增刊1):13-17.
YE Xiaoguo,CHENG Yubo.Mobile charge scheduling algorithm for wireless rechargeable sensor networks[J].Journal of Computer Applications,2017,37(S1):13-17.
[15] 贺诗波.无线传感器网络覆盖理论与资源优化研究[D].杭州:浙江大学,2012.
[16] 舒元超.无线可充电传感器网络系统分析与优化[D].杭州:浙江大学,2015.
[17] 郭秀明,赵春江,杨信廷,等.基于网格扫描的实现目标点覆盖的确定性传感器节点部署方法[J].传感技术学报,2012,25(1):104-109.
GUO Xiuming,ZHAO Chunjiang,YANG Xinting,et al.A deterministic sensor node deployment method with target coverage based on grid scan[J].Chinese Journal of Sensors and Actuators,2012,25(1):104-109.