王清亮, 秦洁, 刘新茹
(西安科技大学 电气与控制工程学院, 陕西 西安 710054)
摘要:针对煤矿电网单相接地、单相断线和铁磁谐振这3类不对称故障极易发生误判,现有方法无法准确辨识这3类故障等问题,分析了单相接地、单相断线、工频铁磁谐振故障序特性,得出了序电流在煤矿电网中的分布规律:负序电流只在故障线路和上级电网中流过,非故障线路负序电流为零;发生铁磁谐振故障时电网中不产生负序电流,只有微弱的零序电流。在此基础上提出了一种煤矿电网不对称故障辨识与定位方法:根据负序电流判定铁磁谐振故障、零序电流区分单相接地与单相断线故障,根据负序电流分布系数进行故障定位。仿真结果表明,该方法可准确、可靠地实现煤矿电网单相接地、单相断线和铁磁谐振3种不对称故障的辨识与定位。
关键词:煤矿电网; 不对称故障; 故障辨识; 故障定位; 单相接地; 单相断线; 铁磁谐振; 序电流
中图分类号:TD60
文献标志码:A
文章编号:1671-251X(2018)12-0071-07
DOI:10.13272/j.issn.1671-251x.2018070061
网络出版地址:http://kns.cnki.net/kcms/detail/32.1627.TP.20181127.1624.003.html
收稿日期:2018-07-29;
修回日期:2018-11-01;
责任编辑:李明。
基金项目:陕西省自然科学基础研究计划资助项目(2015JM5211);陕西省教育厅科研计划资助项目(2013JK1007)。
作者简介:王清亮(1969-),女,山西永济人,教授,博士,长期从事煤矿电气安全方面的研究工作,E-mail:wangxjql@163.com。
引用格式:王清亮,秦洁,刘新茹.煤矿电网不对称故障辨识与定位方法[J].工矿自动化,2018,44(12):71-77.
WANG Qingliang,QIN Jie,LIU Xinru.Identification and location method of asymmetric faults in coal mine power network[J].Industry and Mine Automation,2018,44(12):71-77.
WANG Qingliang, QIN Jie, LIU Xinru
(School of Electrical and Control Engineering, Xi'an University of Science and Technology, Xi'an 710054, China)
Abstract:Three asymmetrical faults of singe-phase grounding, singe-phase line breakage and ferroresonance in coal mine power network are easily misjudged, and existing methods hardly identify the three faults correctly. In order to solve above problems, fault sequence characteristics of singe-phase grounding, singe-phase line breakage and power-frequency ferroresonance were analyzed, and distribution laws of sequence current in coal mine power network were obtained, which showed that negative-sequence current only flowed through fault line and preceding power network, while negative-sequence current in non-fault lines was zero , and there was no negative-sequence current and only weak zero-sequence current in power network under the condition of ferroresonance fault. On this basis, an identification and location method of asymmetrical faults in coal mine power network was proposed. The method uses negative-sequence current to judge ferroresonance fault, zero-sequence current to identify singe-phase grounding or singe-phase line breakage fault, and distribution coefficient of negative-sequence current to locate fault line. The simulation results show that the method can identify and locate the three asymmetrical faults in coal mine power network correctly and reliably.
Key words:coal mine power network; asymmetrical fault; fault identification; fault location; singe-phase grounding; singe-phase line breakage; ferroresonance; sequence current
煤矿电网主要采用中性点非有效接地的运行方式,运行中时常出现零序电压异常现象。零序电压异常时,正确判断故障类型并定位故障支路是提高煤矿供电可靠性的关键技术[1]。零序电压异常表明系统中发生了单相接地、单相断线、铁磁谐振故障中的一种。这3类不对称故障极易发生误判,导致事故处理延迟[2-4],主要原因:① 工频铁磁谐振与单相接地故障特性极其相似,被称为虚幻单相接地;② 单相接地和单相断线是铁磁谐振发生的主要诱因,多数情况下铁磁谐振的出现伴有单相接地或单相断线;③ 由于煤矿电网不设置单相断线保护,所以单相断线易被误判为单相接地来处理。
目前主要通过电压特征对上述3类不对称故障进行辨识。文献[5-6]通过比较三相电压辨识铁磁谐振与单相接地,文献[3,7]根据电压畸变率区分单相接地与铁磁谐振。上述方法一般只能区分2类故障,且不能对故障进行定位。文献[8-9]通过小波变换提取正序电流暂态分量,利用神经网络对单相接地与单相断线进行辨识和定位,该方法复杂,现场实现困难。文献[10-11]通过比较负序电流定位单相接地线路,文献[12-14]采用零序电流定位单相接地线路,但均不能区分单相断线和铁磁谐振故障。
针对以上问题,本文深入分析了单相接地、单相断线、工频铁磁谐振故障序特性及序电流在煤矿电网中的分布规律,提出了一种基于序电流特性的煤矿电网不对称故障辨识与定位方法,可同时对上述3类不对称故障进行区分和定位,自适应性强,可大幅提高煤矿电网运行的可靠性及安全性。
煤矿电网发生单相接地故障(以A相接地为例)时,以A相为基准相的复合序网如图1所示。k为接地点,b为线路首端,
为故障相电压,zT1,zT2,zT0分别为变压器的正序、负序和零序阻抗,zg为接地点阻抗,zN为中性点对地阻抗,zL1,zL2,zL0分别为线路的正序、负序和零序阻抗,
分别为系统正序、负序和零序电流,
分别为系统正序、负序和零序电压。
由图1可知:

图1 单相接地故障复合序网
Fig.1 Compound sequence network of single-phase grounding fault
(1)
式中zΣ0,zΣ1,zΣ2分别为A相的零序、正序、负序阻抗,zΣ0=zT0+zL0,zΣ1=zT1+zL1,zΣ2=zT2+zL2。
系统零序电压为
(2)
单相接地时的故障序特性:① 系统出现零序电压,零序电压最大值等于相电压,其数值随故障点接地阻抗的增大而减小;② 在接地点处,正序、负序和零序电流的数值相等;③ 由于煤矿电网零序阻抗远大于正序和负序阻抗,所以线路首端的零序电流小于正序和负序电流。
煤矿电网发生单相断线故障(以A相断线为例)时,以A相为基准相的复合序网如图2所示。m,n为线路的断口,
为m,n之间的电压,
分别为断线点至母线间线路的正序、负序和零序阻抗,
分别为断线点至负载间线路的正序、负序和零序阻抗,zm1,zm2,zm0分别为负载的正序、负序和零序阻抗。

图2 单相断线故障复合序网
Fig.2 Compound sequence network of single-phase line breakage fault
由于煤矿电网属单端电源供电,所以有
=
,A相电流
=0。
由图2可知:

(3)
(4)
(5)
(6)
式中:![]()
单相断线时的故障序特性:① 系统出现零序电压,零序电压等于相电压的1/3;② 线路首端的正序电流等于负序电流;③ 由于zΣ1=zΣ2≤zΣ0,所以线路上的零序电流为零。
铁磁谐振分为工频铁磁谐振、分频铁磁谐振和倍频铁磁谐振3类,其中工频铁磁谐振与单相断线、单相接地的故障特性较为相似,因此本文只分析工频铁磁谐振。
铁磁谐振发生在煤矿变电站的电压互感器和线路对地分布电容之间,以A相为基准相的工频铁磁谐振故障零序和负序网络如图3、图4所示。正序网络与负序网络相同。zPT0,zPT2分别为电压互感器的零序、负序阻抗,zC0为线路对地容抗,
分别为流向上级电网、线路首端和负载的零序电流,
分别为流向上级电网、线路首端的负序电流。

图3 铁磁谐振故障零序网络
Fig.3 Zero-sequence network of ferroresonance fault

图4 铁磁谐振故障负序网络
Fig.4 Negative-sequence network of ferroresonance fault
由于煤矿电网采用中性点非有效接地方式,负载中性点不接地,系统及负载的零序阻抗非常大,由图3可知:
(7)
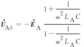
零序电压随电压互感器饱和情况而变化,发生概率最高的情况是电压互感器两相饱和,另一相不饱和,此时线路两相电压升高,一相电压降低。该特性与单相接地的电压特性非常相似。设电压互感器的A,B两相饱和,等效电感LA=LB,则系统零序电压为

(8)
式中:ω为电网频率;C为线路对地分布电容。
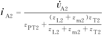
由图4可知:
(9)
铁磁谐振发生在零序回路中,不影响系统的负序特性,因此负序电压的变化量为零,则有
=0。
发生铁磁谐振时的故障序特性:① 系统出现零序电压,其值随电压互感器的饱和程度而变化,变化范围为0.5~1.15倍相电压;② 零序电流主要经电压互感器、线路首端流向对地分布电容,零序电流较小,却产生较高的谐振过电压;③ 线路上的负序电流为零。
由于3类不对称故障的零序电压受故障点阻抗、电压互感器饱和程度的影响较大,而这些因素存在极强的不确定性,所以不能作为故障识别的特征参数。正序电流受负载运行状况的影响大,线路首端的零序电流较小,测量灵敏性差。因此,本文选用负序电流作为主特征参数进行故障辨识及定位。
煤矿电网测量设备均安装在线路首端,故障辨识及定位可通过比较负序电流在故障线路首端与非故障线路首端的差异来实现。
为了描述负序电流在煤矿电网中的分布情况,量化差异,定义以下负序电流分布系数。
(1) 负序电流分布系数k1,即描述非故障线路首端流过的负序电流有效值Ihealth与故障线路首端流过的负序电流有效值Ifault之比:
(10)
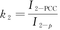
(2) 负序电流分布系数k2,即描述故障线路首端流过的负序电流有效值Ifault与流向上级电网的负序电流有效值Isystem之比:
(11)
2.1.1 单相接地
煤矿地面变电站的母线上有多条出线。当某条出线发生单相接地故障时,其负序电流主要经单相接地线路流向煤矿上级电网,非接地线路上无负序电流流过,详细分析见文献[15]。
记I2-f为流过接地线路首端的负序电流有效值,I2-i为流过非接地线路i首端的负序电流有效值,I2-S为流向上级电网的负序电流有效值。根据式(10)、式(11),发生单相接地故障时,负序电流分布系数![]()
2.1.2 单相断线
发生单相断线时,负序电流在电网中的分布情况如图5所示。
为断线线路断口之间的负序电压,zj2为非断线线路j的负序阻抗,zjm2为非断线线路j上负载的负序阻抗,zs2为上级电网的负序阻抗,B为母线,
为流过断线线路首端的负序电流,
为流过非断线线路j首端的负序电流,
为流向上级电网的负序电流。

图5 单相断线故障负序网络
Fig.5 Negative-sequence network of single-phase line breakage fault
根据式(10)、式(11),负序电流分布系数
分别为
有效值。根据煤矿电网阻抗的取值范围,可知k1≈0,k2≈1。
单相接地、单相断线及工频铁磁谐振时,负序电流在煤矿电网中的分布规律:① 单相断线与单相接地时负序电流的分布特性类似;② 铁磁谐振时,各线路中不产生负序电流;③ 单相接地或单相断线时,负序电流主要经故障线路首端流向上级电网,因此,故障线路首端流过较大的负序电流,而非故障线路首端无负序电流。
基于上述故障特性分析,本文提出以负序电流为主判据的煤矿电网不对称故障定位方法,首先辨识不对称故障的类型,然后根据负序电流分布系数定位故障线路。
煤矿电网主接线如图6所示。T为变压器,CT为进线电流互感器,PT为电压互感器,PCC为公共耦合点,CT1,CT2,…,CTm为支路电流互感器。

图6 煤矿电网主接线
Fig.6 Main wiring of coal mine power network
当零序电压超过整定值,确定系统发生了不对称故障。根据是否存在负序电流来判定铁磁谐振故障,根据是否存在零序电流区分单相接地与单相断线故障。故障类型辨识流程如图7所示,其中I2-PCC为PCC点的负序电流有效值,I0为零序电流有效值。

图7 故障类型辨识流程
Fig.7 Identification process of fault type
零序电压整定值U0,zd按系统允许的不平衡电压进行整定,即U0,zd=0.15UX,UX为相电压有效值。
由于煤矿电网三相电流存在不同程度的不平衡,需采用负序电流突变量计算PCC点的负序电流有效值:
(12)
式中
分别为PCC点正常运行和发生故障时的负序电流有效值。
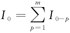
单相断线时,各线路首端均没有零序电流,而单相接地时在各线路的首端均有零序电流流过。对于这2类故障,通过计算零序电流有效值I0来区分。
(13)
式中I0-p为线路p流过的零序电流有效值。
由于煤矿电网在正常运行时不存在零序电流,所以无需采用零序电流突变量算法。
铁磁谐振是系统故障,不需要定位。发生单相断线和单相接地故障时,需进一步确认故障线路。
在各条出线上,只有故障线路流过负序电流,非故障线路不流过负序电流,据此可进行故障定位。为了避免PCC点电压不平衡对故障定位的影响,选用负序电流分布系数k2进行故障定位。
(14)
式中I2-p为线路p流过的负序电流有效值。
k2=1时,线路p为故障线路。故障定位流程如图8所示。

图8 故障定位流程
Fig.8 Fault location process
(1) 灵敏性。单相接地时,线路首端流过的负序电流大于零序电流;零序电流分布在系统各支路上,而负序电流只流过故障线路首端,其他支路上负序电流为零,因此,相比于目前的零序电流故障定位法,采用负序电流作为特征参数具有更高的灵敏性。
(2) 不平衡电流影响。负序电流主要受线路负荷不平衡的影响,采用负序电流突变量可有效避免不平衡负序电流的影响。
(3) 可靠性。负序电流的流通回路不包含线路对地分布电容、消弧线圈,因此本文方法不受系统中性点运行方式、线路对地参数及不稳定弧光的影响[8],但消弧线圈会影响负序电流计算精度。
(1) 仿真示例1。
以图6所示的煤矿电网为例进行仿真。m=3。线路参数:正序阻抗z1=0.17+j0.38 Ω/km,零序阻抗z0=0.23+j1.72 Ω/km,零序容纳b0=1.884 μS/km,线路长度l1=5 km,l2=2 km,l3=4 km,上级电网阻抗zs=0.25+j0.9 Ω,第3条线路上的负载不对称。分别仿真在中性点不接地和经消弧线圈接地方式下,线路发生单相接地、铁磁谐振、单相断线不接地、单相断线一侧接地这4类故障,单相接地时分别设置金属性接地、高阻接地和弧光接地等接地形式。
单相接地时故障线路和非故障线路的负序和零序电流波形如图9所示,单相断线和铁磁谐振时故障线路的正序、负序和零序电流波形如图10所示。仿真结果只显示故障进入稳态后的波形,可看出序电流规律与理论分析的故障序特性一致。

(a) 故障线路

(b) 非故障线路
图9 单相接地时序电流波形(A相)
Fig.9 Sequence current waveform under single-phase grounding fault(A phase)

(a) 单相断线

(b) 铁磁谐振
图10 故障线路序电流波形(A相)
Fig.10 Sequence current waveform of fault line (A phase)
第3条线路单相接地后,根据仿真数据得出的计算结果见表1。由于中性点的消弧线圈只对零序电流影响较大,对其他序电流影响较小,本文仅列出中性点不接地的故障分析结果。表1中zg=50 Ω表示发生金属性接地,zg=2 kΩ表示发生高阻接地。根据表1可知,只有发生铁磁谐振时I2-PCC=0,单相接 A地时I0=2.1 A,单相断线时I0=0.009 A,单相接地和单相断线时故障线路的k2均为1,非故障线路的k2均为0,可见本文方法可准确地辨识和定位故障。
表1 仿真分析结果
Table 1 Simulation analysis results

(2) 仿真示例2。
若图6中煤矿电网有5条出线,线路1—5长度分别为5,3,1,0.5,6 km,系统参数与仿真示例1相同。在线路5上分别发生单相接地、单相断线故障。单相接地及单相断线时流向上级电网的负序电流、故障线路负序电流、非故障线路负序电流、线路零序电流有效值分别如图11、图12所示。当系统零序电压异常时,根据本文方法可准确地区分。依据线路负序电流特性进行故障类型辨识及故障定位有较高的可靠性。

(a) 流向上级电网的负序电流

(b) 故障线路负序电流

(c) 非故障线路负序电流

(d) 各线路零序电流
图11 单相接地时序电流有效值
Fig.11 Effective value of sequence current under single-phase grounding fault
对煤矿电网3种不对称故障的序分量特性进行了理论分析,得出以下结论:

(a) 流向上级电网的负序电流

(b) 故障线路的负序电流

(c) 非故障线路的负序电流

(d) 各线路零序电流
图12 单相断线时序电流有效值
Fig.12 Effective value of sequence current under single-phase line breakage fault
(1) 负序电流只在故障线路和上级电网中流过,非故障线路负序电流为零。
(2) 发生铁磁谐振故障时电网中不产生负序电流,只有微弱的零序电流。
(3) 根据负序电流可实现不对称故障辨识与定位。与现有方法相比,该方法不受中性点运行方式、线路不平衡等因素的影响,为解决煤矿地面电网的故障选线难题提供了新思路。
参考文献( References) :
[1] 石文江,李春平,王睿,等.铁磁谐振在调度端的典型特征[J].电力系统自动化,2015,39(7):194-197.
SHI Wenjiang,LI Chunping,WANG Rui,et al.Typical characteristics of ferroresonance in dispatching center[J].Automation of Electric Power Systems,2015,39(7):194-197.
[2] 宗伟林,许文强,原亚雷,等.矿井配电网单相接地故障选线与定位新方法[J].工矿自动化,2016,42(11):45-50.
ZONG Weilin,XU Wenqiang,YUAN Yalei,et al.A new type of single-phase grounding fault line selection and location method for mine distribution network[J].Industry and Mine Automation,2016,42(11):45-50.
[3] 孙旭娜,张慧芬,田质广.接地点在变电站侧断线接地复故障分析[J].济南大学学报(自然科学版),2013,27(1):26-33.
SUN Xuna,ZHANG Huifen,TIAN Zhiguang.Analysis of single-phase line-broken with earth fault at substation side[J].Journal of University of Jinan(Science and Technology),2013,27(1):26-33.
[4] SAHA S, ALDEEN M, TAN C P. Unsymmetrical fault diagnosis in transmission/distribution networks[J].International Journal of Electrical Power and Energy Systems,2013,45(1):252-263.
[5] 张慧芬,桑在中.架空线单相断线接地复故障分析[J].中国电力,2013,46(2):65-71.
ZHANG Huifen,SANG Zaizhong.Analysis of single-phase grounding fault with line-broken on overhead transmission lines[J].Electric Power,2013,46(2):65-71.
[6] 齐郑,董迪,杨以涵.中性点不接地系统铁磁谐振与单相接地辨识技术[J].电力系统自动化,2010,34(1):55-58.
QI Zheng,DONG Di,YANG Yihan.Technique for differentiation between ferroresonance and single-phase-to-earth fault in isolated neutral point system[J].Automation of Electric Power Systems,2010,34(1):55-58.
[7] 姜杰,赵广泉,张肖,等.利用正弦拟合法的铁磁谐振与单相接地辨识[J].重庆大学学报,2014,37(8):34-40.
JIANG Jie,ZHAO Guangquan,ZHANG Xiao,et al.Discriminate ferroresonance from single-phase earth fault in sine fitting algorithm[J].Journal of Chongqing University,2014,37(8):34-40.
[8] 朱玲玲,张华中,王正刚,等.基于小波神经网络单相断线故障选线和定位[J].电力系统保护与控制,2011,39(4):12-17.
ZHU Lingling,ZHANG Huazhong,WANG Zhenggang,et al.Single-phase open-line fault selection and location based on wavelet neural networks[J].Power System Protection and Control,2011,39(4):12-17.
[9] HIMADRI L,SUBRATA K,SANJIB G.Fault detection and localization using continuous wavelet transform and artificial neural network based approach in distribution system[J].International Journal on Electrical Engineering & Informatics,2018,10(2):203-219.
[10] 图尔荪·依明,吴俊勇,陈占锋,等.配电网单相接地故障的负序电流纵联差动选线方法[J].电工电能新技术,2015,34(6):38-44.
TUERSUN Yiming,WU Junyong,CHEN Zhanfeng,et al.Fault line selection of single-phase to ground based on negative sequence current pilot differential in distribution network[J].Advanced Technology of Electrical Engineering and Energy, 2015,34(6):38-44.
[11] LIANG Rui,PENG Nan,YANG Zhi,et al.A novel single-phase-to-earth fault location method for distribution network based on zero-sequence components distribution characteristics[J]. International Journal of Electrical Power and Energy Systems,2018,10(2):11-22.
[12] 罗超,耿蒲龙,曲兵妮,等.矿井供电系统单相接地故障零模特征仿真研究[J].工矿自动化,2018,44(6):57-63.
LUO Chao,GENG Pulong,QU Bingni,et al.Simulation research grounding on zero-module characteristics of single-phase fault in mine power supply system[J].Industry and Mine Automation,2018,44(6):57-63.
[13] ZHANG Hai, LI Jianfang, LI Yajie,et al.A segmented network method based faulted line selection strategy for single-phase earth fault in small current grounding distribution network[C]//International Conference on Computer Systems, Electronics and Control,Dalian,2017:1582-1585.
[14] WANG Qingliang,LI Xiaoru,CHEN Yuanyi,et al.Research on intelligent recognition for weak single-phase-earth signal[C]//International Symposium on Computer, Consumer and Control,Xi'an,2016:152-155.
[15] 王清亮,赵东强,邵磊,等.适用于矿山电网的单相接地故障选线新方法[J].工矿自动化,2016,42(10):40-44.
WANG Qingliang,ZHAO Dongqiang,SHAO Lei,et al.A novel line selection method of single phase grounding fault suitable for coal mine power network[J].Industry and Mine Automation,2016,42(10):40-44.