陈立, 杜文华, 曾志强, 王俊元, 王日俊
(中北大学 机械工程学院, 山西 太原 030051)
摘要:针对现有基于图像处理的煤矸石识别分选方法存在识别准确度较低、提取参数多、实时处理效率不高等问题,提出了一种基于小波变换的煤矸石自动分选方法。利用小波分析对采集到的煤与矸石图像进行降噪处理,并通过构造小波矩对煤和矸石进行特征提取分析,计算得到特征值,找出煤与矸石特征参数的明显差异,将其作为煤和矸石识别分选的依据。实验结果表明,该方法提高了煤与矸石在线识别分选的工作效率,准确度高。
关键词:煤矸石分选; 图像处理; 小波分析; 小波矩构造; 特征提取; 灰度值
中图分类号:TD67
文献标志码:A
文章编号:1671-251X(2018)12-0060-05
DOI:10.13272/j.issn.1671-251x.2018020047
网络出版地址:http://kns.cnki.net/kcms/detail/32.1627.TP.20181123.1007.001.html
收稿日期:2018-02-27;
修回日期:2018-07-18;
责任编辑:张强。
基金项目:山西省自然科学基金资助项目(20161D102025)。
作者简介:陈立(1993-),男,安徽安庆人,硕士研究生,主要研究方向为机器视觉及图像处理,E-mail:47245884@qq.com。
引用格式:陈立,杜文华,曾志强,等.基于小波变换的煤矸石自动分选方法[J].工矿自动化,2018,44(12):60-64.
CHEN Li, DU Wenhua, ZENG Zhiqiang, WANG Junyuan, WANG Rijun
(School of Mechanical Engineering, North University of China, Taiyuan 030051, China)
Abstract:In view of the problems of low recognition accuracy, multiple extraction parameters and low real-time processing efficiency of existing coal gangue recognition and separation methods based on image processing, an automatic separation method of coal gangue based on wavelet transform was proposed. The method uses wavelet analysis to do noise reduction processing of coal and coal gangue image, and adopts constructing wavelet moment to extract and analyze features of coal and gangue, calculates the feature value, and find out the obvious differences of characteristic parameters between coal and gangue, the characteristic parameters can take as the basis of coal and gangue recognition. The experimental results show that the method improves the efficiency and of on-line identification and separation of coal and gangue with high accuracy.
Key words:separation of coal and gangue; image processing; wavelet analysis; wavelet moment construction; feature extraction; grey value
高效、节能的选煤技术是提高煤炭资源利用率的关键所在。在目前,原煤分选后排弃的矸石中仍然存在一部分煤块,这些煤块与矸石一起被堆放在矸石山而得不到利用,既造成资源浪费,又污染环境[1]。因此,对这些煤和矸石进行分选具有重要的意义。
传统的煤矸石分选方法主要包括基于X光发射源的煤矸石分选方法、基于γ射线的煤矸石分选方法、重介法、跳汰法以及人工分选法,这些方法存在操作不便、分选效率低的问题,而且对资源造成极大的浪费[2-4]。近年来,随着图像处理技术的飞速发展,众多学者提出采用基于图像处理的方法对煤矸石进行分选。苏宝金等[5]对煤矸石图像处理进行了研究,通过对图像滤波和灰度转换等处理,分别得到煤与矸石的灰度直方图,从而对煤和矸石进行分选,但该方法准确率较低。谭春超等[6]提出基于煤和矸石图像灰度信息和纹理特征的提取方法,使用灰度共生矩得到特征参数,并与纹理特征相结合对煤和矸石进行识别,但该方法所提取的特征参数过多,计算过程繁琐,效率较低。程学珍等[7]提出了一种基于双能γ射线和图像处理技术相结合的煤矸石在线分析方法,将γ射线的反射强度差异与图像灰度特征差异相结合对煤和矸石进行分选,但该方法未能规避γ射线对人体的危害,图像识别处理过于简单。针对以上方法存在的问题,本文提出了一种基于小波变换的煤矸石自动分选方法,运用小波分析对煤与矸石图像进行预处理,通过小波矩的构造对煤和矸石图像进行特征分析,最后根据特征参数对煤和矸石进行分选。
煤矸石在线识别与分选系统工作原理如图1所示,煤和矸石组成的原料通过进料斗落入传送胶带上,传送胶带将原料送入排队机构,使煤和矸石排列有序,能够匀速通过检测装置。当原料被传送至采集图像装置下方时,CCD相机对其进行拍摄,并将图像数据传输给计算机;计算机使用预先设定好的程序对煤和矸石的图像进行处理识别,并将识别分类信号传输给高压气阀;当信号判断为煤块时,高压气阀不动作,煤块落入煤块料斗中,当信号判断为矸石时,高压气阀打开,将矸石吹落到矸石料斗,从而完成煤和矸石的自动识别与分选。

图1 煤矸石在线识别与分选系统工作原理
Fig.1 Working principle of on-line identification and separation system of coal and gangue
基于小波变换的煤矸石自动分选流程如图2所示,首先使用小波分析对图像进行降噪处理,然后通过构造小波矩对煤块和矸石图像进行特征提取与分析,最后根据选取的特征参数对煤和矸石进行分类识别。
![]()
图2 基于小波变换的煤矸石自动分选流程
Fig.2 Flow of automatic separation of coal and gangue based on wavelet transform
通过研究发现,煤块与矸石的灰度差异明显,煤块的颜色较暗,灰度级别较低,而矸石的光泽整体要比煤块亮,如图3所示。从图3可看出,煤块与矸石的灰度均值具有一定的差异,可将图像灰度值作为判断煤块与矸石的一个特征[8-10]。

(a) 煤块

(b) 矸石
图3 煤块与矸石原始图像
Fig.3 Original images of coal and gangue
图像噪声会直接影响到图像分割、特征边缘提取等的效果。根据噪声的数学分布规律可将其分为高斯噪声、脉冲噪声、泊松噪声、均匀分布噪声等。实际应用中,由于图像受到噪声的干扰类型以及干扰程度不同,图像去噪方法也各有不同,现有的图像去噪方法大多分为空间域法和频率域法,包括均值滤波、中值滤波、维纳滤波等。小波分析因具有低熵、多分辨率、解相关、灵活的选择性等特点,成为图像处理的一个强大工具[11-13]。
小波分析是时间(空间)频率的局部化分析,通过伸缩平移运算对信号逐步进行多尺度细化,能够自动适应信号分析的要求。因此,本文在对煤块与矸石进行图像处理时使用了小波分析这种快速、高效、高精度的方法。
首先用小波分析去噪算法对含有噪声的图像进行小波分解,然后选取合适的阈值对小波变换后的图像进行阈值处理,最后对处理后的小波系数进行重构,得到去噪后的图像。煤和矸石加噪图像及采用小波分析去噪后的图像如图4所示。去噪后的图像边缘更清晰。

(a) 煤块加噪图像

(b) 矸石加噪图像

(c) 煤块去噪图像

(d) 矸石去噪图像
图4 煤块和矸石加噪图像及采用小波分析去噪后的图像
Fig.4 Adding noise image of coal and gangue and denoising image by wavelet analysis
对所有图像进行归一化的目的是为了使图像的特征提取更加方便,保证所提取的矩具有旋转不变性、缩放性以及平移性,由于图形的质心具备上述特性,因此,可以通过确定图形的质心来实现归一化。对于二维离散图像f(x,y),将其质心表示为(X0,Y0),将缩放因子表示为α,则α应为当前大小与期望大小的比值,即
为当前图像的大小,AREA为所期望的图像的大小。可以通过坐标的变换来获取缩放或平移的标准图像的信息,其公式为
(1)
由于小波矩具有不变性,其在特征识别中应用广泛[14-15],现有小波矩的构造方法主要有基于小波逼近系数的小波矩构造、利用小波变换模极大值的小波矩构造及极坐标下的小波矩构造。本文采用极坐标下的小波矩构造。
在极坐标形式下,一幅图像的(p+q)阶矩特征的表达式为
Fpq=∬f(r,θ)gp(r)exp(jq θ)rdrdθ
(2)
式中:f(r,θ)为极坐标下的二维图像,其中θ为极角,r为极径;gp(r)为变换核的径分量;exp(jqθ)为变换核的角度分量。
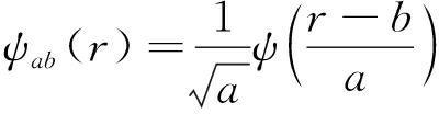
用小波基函数代替其中的gp(r),得到小波矩不变量,小波基函数表达式为
(3)
式中:a为膨胀因子;b为位移因子。
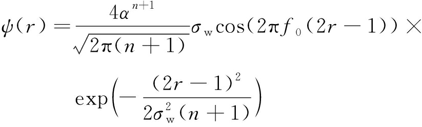
采用三次B样条小波函数作为母小波,其表达式为

(4)
式中:n为位移参数,n=3;缩放因子![]()
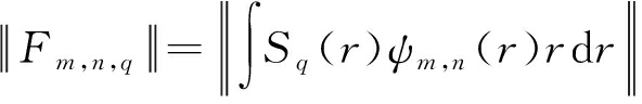
归一化后的图像(0≤r≤1)可以通过改变尺度因子m和位移参数n来获取不同尺度下的特征。一般情况下,a=0.5m,b=0.5mn,此时,小波函数可以定义为ψm,n(r)=2m/2ψ(2mr-n),小波矩的表达式为
(5)
式中:Fm,n,q为小波变换后的小波矩;Sq(r)为极坐标下图像f(r,θ)在频率为q时的特征值。
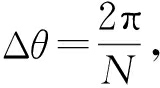
小波矩可由式(5)获得,但需选取合适的角度间隔
其中N表示图像的像素点数。所以,小波矩的具体表达式为
(6)
设置不同的尺度因子m值,可以实现对图像特征逐步提取,直到得到所需要的分辨率。
灰度直方图表示的是图像每个灰度级在频率和灰度像素数之间的统计关系。小波变换使用不同的尺度因子m实现对图像进行从粗到精的处理,煤块和矸石的灰度直方图如图5所示。由图5可以看出,煤块的灰度直方图的峰值出现在灰度级数为40~50时,而矸石的灰度直方图峰值出现在灰度级数为140~160时。可以将灰度值作为特征值进行煤块和矸石的识别。

(a) 煤块灰度直方图

(b) 矸石灰度直方图
图5 煤和矸石的灰度直方图
Fig.5 Grey level histogram of coal and gangue
在对采集到的图像进行小波分析处理后,对所有样本的灰度直方图进行分析并统计,结果见表1。实验中以15组样本为例进行分析。
表1 煤块和矸石直方图中最大频数所对应的灰度值
Table 1 Maximum value of frequency in gray level histogram of coal and gangue

由表1可知,煤块和矸石的灰度直方图中出现最大频数时所对应的灰度值差别较大,煤块的平均值为44.3,主要分布区间在40~60,而矸石的平均值为148.9,主要集中在140~160之间,两者差异明显。所以,可以将此特征作为区别煤块和矸石的特征条件。在具体识别过程中,可将阈值设置为100,把阈值小于100的视作为煤块,而大于100的视作为矸石。另选取15组煤块与矸石分别进行实验验证,结果表明,根据上述原理进行区别准确率达到100%。
(1) 提出了一种基于小波变换的煤矸石自动分选方法,首先根据小波分析的特性对煤和矸石图像进行滤波去噪,为特征识别打下良好基础;然后通过小波矩的构造,精准地提取出煤和矸石的特征,并计算得到特征值,找出煤与矸石特征参数的明显差异,作为煤与矸石分选依据, 可将阈值设为100,把阈值小于100的视作为煤块,而大于100的视作为矸石。
(2) 实验结果表明,基于小波变换的煤矸石自动分选方法分选效率高,准确率高,大大降低了工人的操作强度,具有较高的应用价值。
参考文献( References) :
[1] 梁金刚,赵环帅,何建新.国内外选煤技术与装备现状及发展趋势[J].选煤技术,2008(1):60-64.
[2] 耿秀云.基于X光图像处理的煤矸石自动分选系统的研究[D].沈阳:东北大学,2014.
[3] 张朴,孔力,黄心汉.基于双能γ射线的煤矸在线识别模型研究[J].工业仪表与自动化装置,2000(2):53-55.
ZHANG Pu, KONG Li, HUANG Xinhan.Research on an on-line coal & gangue identification model based on dual energy gamma-ray transmission[J].Industrial Instrumentation and Automation Equipment,2000(2):53-55.
[4] 张弘强.人工智能技术在选煤领域的应用[J].电子技术与软件工程,2015(24):261.
[5] 苏宝金,陈波,贺靖峰,等.煤与矸石灰度直方图的差异研究[J].洁净煤技术,2011,17(6):96-98.
SU Baojin,CHEN Bo,HE Jingfeng,et al.Research on the automatic identification technology of the coal and
gangue based on density histogram[J].Clean Coal Technology,2011,17(6):96-98.
[6] 谭春超,杨洁明.煤与矸石图像灰度信息和纹理特征的提取研究[J].工矿自动化,2017,43(4):27-31.
TAN Chunchao,YANG Jieming.Research on extraction of image gray information and texture features of coal and gangue image[J].Industry and Mine Automation,2017,43(4):27-31.
[7] 程学珍,王伟,卫阿盈.煤与矸石在线分选系统设计[J].工矿自动化,2013,39(8):95-98.
CHENG Xuezhen,WANG Wei,WEI Aying.Design of online separation system for coal and gangue[J].Industry and Mine Automation,2013,39(8):95-98.
[8] 程光坤.煤质在线分析技术应用现状和功能定位分析[J].热力发电,2009,38(2):71-73.
CHENG Guangkun.Status quo of utilizing coal quality on-line analysis technology and orientation analysis of its function[J].Thermal Power Generation,2009,38(2):71-74.
[9] 臧洁.小波分析在煤矸石图像识别ARM分选控制系统中的应用[D].西安:西安科技大学,2008.
[10] 邹熠.基于小波矩的图像内容识别技术研究[D].成都:西南交通大学,2007.
[11] 杨群.基于直方图和小波变换的图像分割方法的研究[D].南昌:南昌大学,2006.
[12] 马宪民.一种基于小波变换的煤矸石图像边缘检测方法[J].仪器仪表学报,2006,27(6):2030-2031.
MA Xianmin. Edge detection based on wavelet transform for coal gangue image[J].Chinese Journal of Scientific Instrument,2006,27(6):2030-2031.
[13] 刘刈文.基于小波分析和矩特征的车型识别研究[D].南京:南京工业大学,2006.
[14] 何通能,贾志勇.基于小波矩的车牌字符识别研究[J].浙江工业大学学报,2005,33(2):170-172.
HE Tongneng,JIA Zhiyong.A study of license plate character recognition based on wavelet moment[J].Journal of Zhejiang University of Technology,2005,33(2):170-172.
[15] 张虹,陈文楷.一种基于小波矩的图像识别方法[J].北京工业大学学报,2004,30(4):427-431.
ZHANG Hong,CHEN Wenkai.A method of image recognition based on wave moment [J].Journal of Beijing University of Technology,2004,30(4):427-431.