李兆平1, 张红娟1, 靳宝全2, 高妍1, 黄飞3, 王雨星3
(1.太原理工大学 电气与动力工程学院, 山西 太原 030024; 2.太原理工大学 新型传感器与智能控制教育部与山西省重点实验室, 山西 太原 030024; 3.山西汾西重工有限责任公司, 山西 太原 030027)
摘要:针对矿用高压变频器采用载波调制PWM控制法时存在开关损耗大、电能质量畸变的问题,在载波同相层叠PWM控制法的基础上,对正弦调制波进行优化。通过对正弦调制波叠加3次谐波和直流分量,得到正半周为马鞍形调制波、负半周为梯形调制波的优化调制波。仿真结果表明,优化调制波的应用提高了变频器直流电压利用率,减小了开关损耗,降低了输出线电压总谐波畸变率。
关键词:矿用高压变频器; 开关调制; 开关损耗; 载波调制PWM控制; 载波同相层叠PWM控制
中图分类号:TD611
文献标志码:A
网络出版地址:http://kns.cnki.net/kcms/detail/32.1627.TP.20181026.1500.005.html
LI Zhaoping1, ZHANG Hongjuan1, JIN Baoquan2, GAO Yan1, HUANG Fei3, WANG Yuxing3
(1.College of Electrical and Power Engineering, Taiyuan University of Technology, Taiyuan 030024, China; 2.Key Laboratory of Advanced Transducers and Intelligent Control System, Ministry of Education and Shanxi Province, Taiyuan University of Technology, Taiyuan 030024, China; 3.Shanxi Fenxi Heavy Industry Co., Ltd., Taiyuan 030027, China)
Abstract:For problems of high switching loss and power quality distortion when carrier modulation PWM control method were used in mine-used high-voltage frequency converter. Sinusoidal modulation wave was optimized based on carrier-in-phase disposition PWM control method. The sinusoidal modulation wave is superimposing with the third harmonic and direct current component, so as to obtain an optimized modulation wave with saddle-shaped modulation wave in positive half-cycle and trapezoidal modulation wave in negative half-cycle. The simulation results show that DC voltage utilization of frequency converter is improved, switching loss and total harmonic distortion of output line voltage is reduced by use of the optimized modulation wave.
Key words:mine-used high-voltage frequency converter; switching modulation; switching loss; carrier modulation PWM control; carrier-in-phase disposition PWM control
收稿日期:2018-05-10;
修回日期:2018-10-13;
责任编辑:盛男。
基金项目:山西省科技重大专项项目(MJ2016-01)。
作者简介:李兆平(1994-),女,山西运城人,硕士研究生,主要研究方向为电气节能控制,E-mail:lizhaoping0509@163.com。
引用格式:李兆平,张红娟,靳宝全,等.矿用高压变频器开关调制优化策略[J].工矿自动化,2018,44(11):91-95.
LI Zhaoping, ZHANG Hongjuan, JIN Baoquan, et al. Optimization strategy of switching modulation of mine-used high-voltage frequency converter[J].Industry and Mine Automation,2018,44(11):91-95.
文章编号:1671-251X(2018)11-0091-05
DOI:10.13272/j.issn.1671-251x.2018050033
煤矿井下电动机受限于应用环境的特殊性,存在严重的能源浪费、运行效率低等问题。随着电力电子技术的发展及国家节能降耗的需要,大量矿用变频器被广泛应用于对电动机进行变频调速[1-2]。由于煤矿井下电动机之间距离较远,一般采用1 140,3 300 V甚至更高电压等级矿用变频器来降低电路损耗[3]。
二极管箝位式(Nautral-Point-Clamped,NPC)三电平逆变电路在矿用高压变频器中应用广泛[4-7]。目前三电平逆变电路PWM控制法分为载波调制PWM控制法、消除特定谐波PWM控制法和空间电压矢量PWM控制法[8],其中载波调制PWM控制法因电路实现简单、控制效果良好,成为研究热点[9-10]。采用载波调制PWM控制法时,通常设置较高载波比来保证输出的PWM波不含低次谐波,仅有与载频相关的高次谐波[11]。然而,高载波比也意味着高开关频率,大量开关器件在高频工作状态下会产生大量开关损耗,带来严重的电能质量畸变问题。本文对矿用高压变频器开关调制策略进行优化,有效提高直流电压利用率,减少开关动作次数,降低开关损耗,改善输出电能质量。
载波调制PWM控制法基本原理:将逆变电路期望输出的正弦信号作为调制波,接受调制的信号作为载波,载波与正弦调制波进行比较,在载波与正弦调制波交点时刻对逆变电路中开关器件的通断进行控制[12]。载波调制PWM控制法主要分为载波同相层叠PWM控制法、载波反相PWM控制法和载波交替反相PWM控制法。考虑到载波同相层叠PWM控制时逆变电路输出线电压谐波畸变率较小[13],因此选用载波同相层叠PWM控制法。
以NPC三电平逆变电路A相为例,载波同相层叠PWM控制法原理如图1所示。三角载波uc1,uc2对称分布且相位相同。对正弦调制波ur的正半周与uc1进行比较,ur>uc1时A相输出相电压为+Ud/2(Ud为整流电路输出直流电压),否则输出相电压为0;对正弦调制波ur的负半周与uc2进行比较,ur>uc2时A相输出相电压为-Ud/2,否则输出相电压为0。

图1 载波同相层叠PWM控制法原理
Fig.1 Principle of carrier-in-phase disposition
PWM control method
载波同相层叠PWM控制法实现简单,保证了逆变电路的输出波形质量。但正弦调制波基波幅值不高,使得逆变电路输出线电压基波幅值低,导致直流电压利用率低,同时存在每个周期内开关动作次数较高的问题。
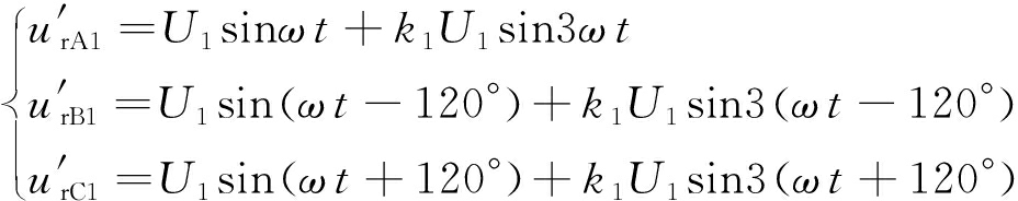
三相正弦调制波的电压表达式为

(1)
式中:U1为三相正弦调制波幅值;ω为角速度;t为时间。
为提高正弦调制波基波幅值,对正弦调制波叠加3次谐波,降低正弦调制波波峰,使正弦调制波变为马鞍形调制波
为A相马鞍形调制波),如图2所示。

图2 马鞍形调制波与正弦调制波波形
Fig.2 Waveforms of saddle-shaped modulation wave and
sinusoidal modulation wave
三相马鞍形调制波的电压表达式为

(2)
式中k1为3次谐波的幅值系数。
由文献[14]可知,k1取值为1/6时,对逆变电路输出线电压的谐波影响最小,则A相马鞍形调制波的电压表达式为
(3)
以ωt为自变量,对式(3)进行求导,可得ωt=60°,代入式(3)得
(4)
由式(4)可知,在叠加3次谐波后,马鞍形调制波幅值减小了约15%。对不同调制波下逆变电路输出线电压调制效果进行比较时,正弦调制波幅值与马鞍形调制波幅值需相等,因此对马鞍形调制波幅值线性放大1/0.866≈1.15倍,则马鞍形调制波的电压表达式为
(5)
由式(5)可知,马鞍形调制波基波幅值为正弦调制波基波幅值的1.15倍,从而可提高直流电压利用率。
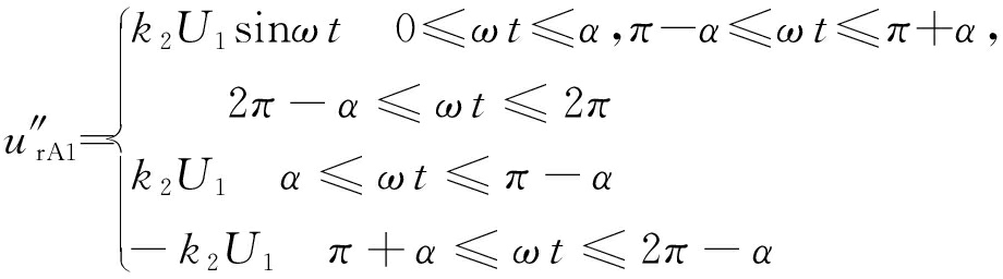
为减小开关动作次数,对正弦调制波叠加直流分量,使正弦调制波在波峰处保持1/3周期的幅值不变,此时正弦调制波变为梯形调制波,如图3所示
为A相梯形调制波)。

图3 梯形调制波与正弦调制波波形
Fig.3 Waveforms of trapezoidal modulation wave and
sinusoidal modulation wave
梯形调制波的电压表达式为

(6)
式中:k2为梯形调制波的幅值系数;α为梯形化的倾斜角度。
梯形调制波与三角载波进行比较时,有1/3周期的开关状态不进行调制控制,即开关有1/3周期不动作,减小了开关动作次数,降低了开关损耗。
基于以上分析,采用正半周为马鞍形调制波、负半周为梯形调制波的优化调制波。具体实现:对正弦调制波叠加组合信号波,组合信号波的电压表达式为
up=-min(urA1,urB1,urC1)-1
(7)
优化后的三相调制波电压表达式为

(8)
优化调制波、正弦调制波与三角载波波形如图4所示。与正弦调制波相比,优化调制波可在正半周实现调制波基波幅值的提高,在负半周实现开关次数的减小。

图4 优化调制波、正弦调制波与三角载波波形
Fig.4 Waveforms of optimized modulation wave, sinusoidal
modulation wave and triangular carrier
利用Matlab建立由12脉波整流电路和NPC三电平逆变电路相结合的高压变频器仿真模型,设定输入电源为线电压3 300 V的三相对称正弦电压,载波频率为750 Hz,调制波频率为50 Hz,载波比为15,载波幅值为1。
分别采用正弦调制波和优化调制波时逆变电路输出线电压有效值如图5所示。可看出采用正弦调制波时逆变电路输出线电压有效值为3 259 V,采用优化调制波时逆变电路输出线电压有效值为3 879 V。逆变电路输出线电压有效值与线电压基波幅值正相关[15],可见采用优化调制波后有效提高了直流电压利用率。

图5 不同调制波下逆变电路输出线电压有效值波形
Fig.5 Waveform of inverter output line voltage under
different modulation waves
分别采用正弦调制波和优化调制波时逆变电路输出相电压波形如图6所示。可看出在1个周期内,采用优化调制波时相电压有1/3周期保持不变,与采用正弦调制波时相比,减少了开关动作次数,达到了开关损耗优化的目的。
对逆变电路输出线电压进行傅里叶分解,得到谐波频谱分布,如图7所示。可看出采用正弦调制波时总谐波畸变率(Total Harmonic Distortion,THD)为35.32%,采用优化调制波时THD降低为25.16%,输出线电压中不含3,6,9,12次谐波,减小了低次谐波含量,保证了输出线电压的电能质量。

(a) 正弦调制波

(b) 优化调制波
图6 不同调制波下逆变电路输出相电压波形
Fig.6 Waveform of inverter output phase voltage under
different modulation waves

图7 逆变电路输出线电压谐波频谱
Fig.7 Harmonic spectrum of inverter output line voltage
在载波同相层叠PWM控制法的基础上,对正弦调制波进行优化:通过对正弦调制波叠加3次谐波和直流分量,得到正半周为马鞍形调制波、负半周为梯形调制波的优化调制波。仿真结果表明,与正弦调制波相比,优化调制波能显著提高直流电压利用率,减小开关损耗,有效降低输出线电压THD。
参考文献:
[1] 陈亚爱,陈成,周京华,等.110 kW隔爆型本质安全矿用变频器的研制[J].电机与控制应用,2014,41(5):68-72.
CHEN Yaai,CHEN Cheng,ZHOU Jinghua,et al.Development of 110 kW flameproof mine-used intrinsically safe frequency converter[J].Electric Machines & Control Application,2014,41(5):68-72.
[2] 李娜,许燕萍,何凤有.矿山高压多电平ANPC变频调速系统损耗分析[J].工矿自动化,2014,40(11):61-65.
LI Na,XU Yanping,HE Fengyou.Loss analysis of frequency-conversion speed-regulation system of mine high-voltage multilevel ANPC[J].Industry and Mine Automation,2014,40(11):61-65.
[3] 陈钊.矿用高压交流变频电传动负载特性试验装置设计[J].电机与控制应用,2015,42(4):75-79.
CHEN Zhao.Design on load characteristic test device of mine high-voltage alternating variable frequency electric drive[J].Electric Machines & Control Application,2015,42(4):75-79.
[4] MAO X,AYYANAR R,KRISHNAMURTHY H K.Optimal variable switching frequency scheme for reducing switching loss in single-phase inverters based on time-domain ripple analysis[J].IEEE Transactions on Power Electronics,2009,24(4):991-1001.
[5] 史晓锋,杜少武,姜卫东.中点钳位型三电平逆变器脉宽调制时的损耗特性[J].电工技术学报,2009,24(12):124-131.
SHI Xiaofeng,DU Shaowu,JIANG Weidong.Loss characteristics for NPC three-level inverter[J].Transactions of China Electrotechnical Society,2009,24(12):124-131.
[6] 曾君,吴佳磊,刘俊峰,等.一对基于开关电容原理的多电平高频逆变器[J].电工技术学报,2018,33(6):1312-1319.
ZENG Jun,WU Jialei,LIU Junfeng,et al.A pair of high-frequency multilevel inverters based on switched-capacitor technique[J].Transactions of China Electrotechnical Society,2018,33(6):1312-1319.
[7] RATHORE A K,HOLTZ J,BOLLER T.Generalized optimal pulsewidth modulation of multilevel inverters for low-switching-frequency control of medium-voltage high-power industrial AC drives[J].IEEE Transactions on Industrial Electronics,2013,60(10):4215-4224.
[8] SRIRATTANAWICHAIKUL W,KUMSUWAN Y,PREMRUDEEPREECHACHARN S,et al.A carrier-based PWM strategy for three-level neutral-point-clamped voltage source inverters[C]//IEEE Ninth International Conference on Power Electronics and Drive Systems,Singapore,2012:948-951.
[9] 王鸿雁.多电平逆变器PWM新方法及相关技术[D].杭州:浙江大学,2004.
[10] 刘建坤,张伦健,李晓迅.基于三电平的优化SPWM调制算法的研究[J].电气传动,2013,43(2):48-51.
LIU Jiankun,ZHANG Lunjian,LI Xiaoxun.Research on the three-level optimized SPWM modulation algorithm[J].Electric Drive,2013,43(2):48-51.
[11] 黄钰,张代润,段恋鸿.基于组合载波控制的三相电流型PWM逆变器研究[J].可再生能源,2016,34(7):1011-1016.
HUANG Yu,ZHANG Dairun,DUAN Lianhong.Research on three-phase current source PWM inverter based on combined carrier control[J].Renewable Energy Resources,2016,34(7):1011-1016.
[12] 刘军娜,赵成勇,李广凯.二极管箝位式三电平VSC损耗分析[J].电力自动化设备,2011,31(4):96-99.
LIU Junna,ZHAO Chengyong,LI Guangkai.Power loss analysis of diode-clamped three-level VSC[J].Electric Power Automation Equipment,2011,31(4):96-99.
[13] 李宁,王跃,王兆安,等.4种三电平载波调制策略对比研究[J].电气传动,2015,45(12):35-40.
LI Ning,WANG Yue,WANG Zhaoan,et al.Comparative study of four kinds of three-level carrier-based PWM strategies[J].Electric Drive,2015,45(12):35-40.
[14] MASWOOD A.Optimal harmonic injection in thyristor rectifier for power factor correction[J].IEE Proceedings - Electric Power Applications,2003,150(5):615-622.
[15] 刘凤君.多电平逆变技术及其应用[M].北京:机械工业出版社,2007:38-42.