马宏伟, 吴少杰, 曹现刚, 徐博远, 张鑫媛
(西安科技大学 机械工程学院, 陕西 西安 710054)
摘要:针对煤矿综采设备运行状态数据量大、数据存在噪声和缺失值等问题,建立了一种基于MapReduce的煤矿综采设备运行状态大数据清洗模型。该模型采用双MapReduce协同工作:通过第1个MapReduce对数据中的噪声点和缺失值进行修正,输出多个清洗后的数据文件;通过第2个MapReduce对多个清洗后的数据文件按采集时间及日期进行排序,并合并成单个数据文件输出。实验结果表明,该模型能有效剔除噪声数据和补全缺失数据,具有较好的数据清洗效果。
关键词:综采设备; 设备运行状态; 大数据; 数据清洗; MapReduce
中图分类号:TD67
文献标志码:A
网络出版地址:http://kns.cnki.net/kcms/detail/32.1627.TP.20181026.1500.008.html
MA Hongwei, WU Shaojie, CAO Xiangang, XU Boyuan, ZHANG Xinyuan
(College of Mechanical Engineering, Xi'an University of Science and Technology, Xi'an 710054, China)
Abstract:In view of problems of large amount of data and noise and missing values existed in data of operation status of coal mine fully-mechanized coal mining equipment, a big data cleaning model of operation status of coal mine fully-mechanized coal mining equipment based on MapReduce was established. The model is composed of dual MapReduce. Noise points and missing values in data are corrected and multiple cleaned data files are output through the first MapReduce. The multiple cleaned data files are sorted according to collection time and date and combined into a single data file through the second MapReduce. The experimental results show that the model can effectively eliminate noise data and complement missing data with good data cleaning effect.
Key words:fully-mechanized coal mining equipment; equipment operation status; big data; data cleaning; MapReduce
收稿日期:2018-04-28;
修回日期:2018-10-12;
责任编辑:盛男。
基金项目:国家自然科学基金面上项目(51875451)。
作者简介:马宏伟(1957-),男,陕西兴平人,教授,博士,博士研究生导师,主要研究方向为智能检测与控制,煤矿机电设备及其自动化、智能化等,E-mail:mahw@xust.edu.cn。
引用格式:马宏伟,吴少杰,曹现刚,等.煤矿综采设备运行状态大数据清洗建模[J].工矿自动化,2018,44(11):80-83.
MA Hongwei,WU Shaojie,CAO Xiangang,et al.Big data cleaning modeling of operation status of coal mine fully-mechanized coal mining equipment[J].Industry and Mine Automation,2018,44(11):80-83.
文章编号:1671-251X(2018)11-0080-04
DOI:10.13272/j.issn.1671-251x.2018040090
在煤炭行业,随着机器智能化程度的不断提高,管理方式由粗放型转变为精细化,中国大中型煤矿企业由人产生的数据规模一般在TB级别,由设备产生的数据规模达PB级别[1-3]。煤矿综采设备工作环境复杂、恶劣,设备运行状态数据在采集、传输过程中会受到影响,使得噪声和缺失值存在于数据中[4-5],导致数据质量不能达到后续数据分析的要求。因此,对原始数据进行清洗是必不可少的[6-8]。
杨东华等[9]针对基于MapReduce的数据清洗过程中存在计算冗余的问题,提出了一种任务合并的优化技术,将数据中的冗余计算和利用统一输入文件的简单计算进行合并,从而减少数据清洗时间。陈少龙[10]建立了基于Hadoop平台的煤矿设备数据清洗系统,利用HDFS(Hadoop Distributed File System,Hadoop分布式文件系统)和MapReduce实现对煤矿设备数据的海量存储和异常点清洗。在上述研究的基础上,本文提出了一种基于MapReduce的煤矿综采设备运行状态大数据清洗模型,旨在提高数据清洗效果和清洗效率,为综采设备健康状态评估及故障诊断提供有效数据支撑。
MapReduce是Hadoop的核心之一,是面向海量数据并行处理的计算模型、框架和平台[11-12]。MapReduce的核心思想是Map(映射)和Reduce(归约),在MapReduce执行过程中包含Map阶段和Reduce阶段[13],数据以键值对(key,value)形式进行传输。用户通过Map函数实现对键值对的高度并行化处理,生成中间键值对进行输出,Reduce函数接收这些中间键值对,并按照键的相同与否进行适当合并,最终输出用户期望的结果。
在Map阶段,将数据划分成m块,并将数据块合理分配给各节点,通过节点的并行处理完成Map任务;在Reduce阶段,将数据划分为r块,同样通过节点的并行化处理完成Reduce任务。MapReduce工作流程[14-15]如图1所示,具体步骤如下。

图1 MapReduce工作流程
Fig.1 Work flow of MapReduce
(1) 用户程序中的MapReduce函数库自动将数据分割成m块,一般每个数据块为16~64 MB。随后,计算机集群复制执行程序,并在集群内的各计算机上启动程序副本。
(2) 在这些程序副本中,有特殊的程序master和普通的程序worker,master负责为worker分配工作——m个Map任务和r个Reduce任务。master选取空闲的worker,分配单个Map任务或Reduce任务。
(3) worker接收到Map任务时,读取相应数据块,从中解析出若干键值对并传递给用户提供的Map函数。Map函数进行处理后,将生成的中间键值对存储在内存中。
(4) MapReduce函数库周期性地将内存中的数据写入本地磁盘,并利用分区函数将数据分别写入r个不同的区域,最后将数据在磁盘上的位置发送给master。
(5) master将位置信息通知给执行Reduce函数的worker,后者利用远程过程调用(Remote Procedure Call,RPC)从Map阶段worker的本地磁盘读取数据。数据读取完毕后,按照键进行排序,使相同键的数据排列在一起。
(6) Reduce阶段worker对排序后的数据展开迭代,将每个键及其对应的值传递给用户提供的Reduce函数。然后将Reduce函数的输出附加到本分区的最终输出文件内。
当所有Map/Reduce阶段全部完成后,能够获得r个输出文件(每个Reduce任务输出1个文件)。
基于MapReduce的煤矿综采设备运行状态大数据清洗建模流程如图2所示,具体步骤如下。
(1) 用户程序中的MapReduce函数库将数据划分成m块,对需要清洗的数据进行初始化,生成能够被MapReduce处理的键值对(k1,v1),其中k1为数据采集时间,v1为采集时间对应的状态量等信息,将键值对以文件的形式存储在HDFS中。
(2) 第1个MapReduce中的Map函数接收步骤(1)产生的键值对(k1,v1),建立不含异常值的时间序列模型,根据时间序列模型计算残差:
(1)
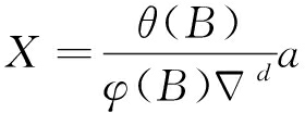
式中:B为延迟算子;θ(B)为没有公共因子的可逆算子;φ(B)为没有公共因子的平稳算子;
为差分次数;a为白噪声序列。
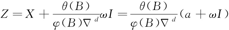
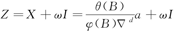
将不同时刻的残差组成残差序列,若残差序列从某时间点开始远大于之前值(出现水平迁移),拟合干预模型;否则计算残差序列中最大值所对应时刻的检验统计量λ,λ=maxTAO,TIO,其中TIO为附加异常值,TAO为新息异常值,判断λ是否大于常数C(3<C<4)。当λ<C时,输出键值对(k1,v1);当λ≥C时,若TAO>C,表明存在一个附加异常值,根据式(2)修正数据,若TIO>C,表明存在一个新息异常值,根据式(3)修正数据。
(2)

图2 基于MapReduce的煤矿综采设备运行状态
大数据清洗建模流程
Fig.2 Big data cleaning modeling flow of operation status of
coal mine fully-mechanized coal mining equipment
based on MapReduce
式中:Z为修正量;ω为异常值影响因子;I为描述是否存在异常值的示性函数。
(3)
在键值对(k1,v1)的基础上叠加修正量,得到修正后的键值对(k2,v2)。
(3) 第1个MapReduce中的Reduce函数接收键值对(k2,v2),判断数据是否被修正。若数据被修正,生成新的键值对(k3,v3),返回步骤(2),将键值对(k3,v3)作为输入进行循环计算;若数据未修正,则说明数据清洗完毕,由r个Reduce任务输出r个数据文件。
(4) 假设步骤(3)完成后,数据中的异常值都被识别并修复。第2个MapReduce接收r个数据文件并初始化后,将其转化成键值对(k4,v4),Map函数负责合并具有相同键的数据,并将合并后的数据按照采集时间的升序进行排列,输出键值对(k5,v5)。
(5) 第2个MapReduce中的Reduce函数接收键值对(k5,v5),按照数据采集日期的升序进行排序,输出键值对(k6,v6),并将其写入对应的r个数据文件中。
(6) 将r个数据文件合并为1个数据文件输出。
选取某煤矿企业采煤机牵引变频器20万条历史温度监测数据(监测时间为2016-07-23T00:22:21—2016-07-26T23:59:59),采煤机中途长时间停机3次,2016-07-24采煤机未运行,数据中含有噪声点和缺失值。采煤机牵引变频器温度原始数据如图3所示。

图3 采煤机牵引变频器温度原始数据
Fig.3 Raw temperature data of shearer traction inverter
利用基于MapReduce的煤矿综采设备运行状态大数据清洗模型对采煤机牵引变频器温度原始数据进行清洗,结果如图4所示,可看出原始数据中的噪声数据被剔除,缺失值被补全。
煤矿综采设备运行状态大数据清洗模型采用双MapReduce协同工作:通过第1个MapReduce对数据中的噪声点和缺失值进行修正,输出多个清洗后的数据文件;通过第2个MapReduce对多个清洗后的数据文件按数据采集时间及日期进行排序,并合并成单个数据文件输出。实验结果表明,该模型对原始数据中存在的噪声点和缺失值具有较好的清洗效果。

图4 采煤机牵引变频器温度原始数据清洗结果
Fig.4 Raw temperature data cleaning result of shearer traction inverter
参考文献:
[1] XU S,LU B,BALDEA M,et al.Data cleaning in the process industries[J].Reviews in Chemical Engineering,2015,31(5):453-490.
[2] 谭章禄,马营营.煤炭大数据研究及发展方向[J].工矿自动化,2018,44(3):49-52.
TAN Zhanglu,MA Yingying.Research on coal big data and its developing direction[J].Industry and Mine Automation,2018,44(3):49-52.
[3] 马小平,代伟.大数据技术在煤炭工业中的研究现状与应用展望[J].工矿自动化,2018,44(1):50-54.
MA Xiaoping,DAI Wei.Research status and application prospect of big data technology in coal industry[J].Industry and Mine Automation,2018,44(1):50-54.
[4] ZHANG Haikuo,LU Zhonghua,LIU Fang,et al.Design and implementation of mass alarm data oriented parallel processing system[J].Computer Engineering and Design,2018,39(2):407-413.
[5] BATINI C,CAPPIELLO C,FRANCALANCI C,et al.Methodologies for data quality assessment and improvement[J].ACM Computing Surveys,2009,41(3):1-52.
[6] LIU Y,LIU Y Z,ZHANG H,et al.An RFID data cleaning strategy based on maximum entropy feature selection[J].Journal of Digital Information Management,2015,14(2):86-91.
[7] YANG Xue,TANG Luliang,ZHANG Xia,et al.A data cleaning method for big trace data using movement consistency[J].Sensors,2018,18(3):824.
[8] 娄建楼,胥佳,陆恒,等.基于功率曲线的风电机组数据清洗算法[J].电力系统自动化,2016,40(10):116-121.
LOU Jianlou,XU Jia,LU Heng,et al.Wind turbine data-cleaning algorithm based on power curve[J].Automation of Electric Power Systems,2016,40(10):116-121.
[9] 杨东华,李宁宁,王宏志,等.基于任务合并的并行大数据清洗过程优化[J].计算机学报,2016,39(1):97-108.
YANG Donghua,LI Ningning,WANG Hongzhi,et al.The optimization of the big data cleaning based on task merging[J].Chinese Journal of Computers,2016,39(1):97-108.
[10] 陈少龙.基于Hadoop的煤矿设备数据规范化和清洗的研究[D].西安:西安科技大学,2016.
[11] ZHOU W,ZHONG Y,WANG Y.A data balance algorithm based on histogram in MapReduce[J].Journal of Northwestern Polytechnical University,2018,36(3):480-486.
[12] BENDRE M,MANTHALKAR R.Time series decomposition and predictive analytics using MapReduce framework[J].Expert Systems with Applications,2018,116:108-120.
[13] 齐玉东,何诚,司维超.MapReduce框架下的Skyline云资源选择算法[J].计算机科学,2018,45(增刊1):411-414.
QI Yudong,HE Cheng,SI Weichao.Cloud resource selection algorithm by Skyline under MapReduce frame[J].Computer Science,2018,45(S1):411-414.
[14] 沈小军,付雪姣,周冲成,等.风电机组风速-功率异常运行数据特征及清洗方法[J].电工技术学报,2018,33(14):3353-3361.
SHEN Xiaojun,FU Xuejiao,ZHOU Chongcheng,et al.Characteristics of outliers in wind speed-power operation data of wind turbines and its cleaning method[J].Transactions of China Electrotechnical Society,2018,33(14):3353-3361.
[15] 聂巧平,冯蕾.考虑结构突变的单位根检验程序研究——基于“新息异常值模型”的Perron检验分析[J].数量经济技术经济研究,2008(9):139-151.
NIE Qiaoping,FENG Lei.The research on the unit root test procedure with structural break[J].The Journal of Quantitative & Technical Economics,2008(9):139-151.