实验研究
张波1, 谢雄刚1,2, 许石青1
(1.贵州大学 矿业学院, 贵州 贵阳 550025; 2.喀斯特地区优势矿产资源高效利用国家地方联合工程实验室, 贵州 贵阳 550025)
摘要:在综合考虑瓦斯流动惯性和滑脱效应的基础上,建立了瓦斯抽采流动模型。以松河煤矿15号煤层12150采煤工作面为工程背景,通过数值模拟分析了单一钻孔和多钻孔情况下瓦斯压力分布规律和渗透率变化情况,并结合钻孔抽采有效半径,得出了合理的抽采钻孔直径和钻孔布置参数。当单一钻孔瓦斯抽采240 d时,通过比较钻孔直径为40,65,75,94 mm时的瓦斯抽采效果,得出钻孔直径选取为65 mm较为适宜。当3个钻孔在钻孔间距分别为3,4,5 m时,进行不同时间段的瓦斯抽采的有效半径分析,得出当预抽采超过180 d时,选用5 m钻孔间距较为适宜;当抽采时间在120~150 d时,选择4 m钻孔间距较为适宜;当抽采时间少于120 d时,选用3 m钻孔间距较为适宜。煤层渗透率随抽采时间增加而逐渐增大,但增大幅度逐渐减小,抽采初期瓦斯压力梯度较大,大量吸附瓦斯解吸,瓦斯压力大于吸附膨胀应力,裂隙孔隙通道打开,此时煤层渗透率较大;抽采中后期,瓦斯压力持续降低,瓦斯压力相对吸附膨胀应力优势不大,孔隙裂隙增加量较小,造成在抽采中后期煤层渗透率增幅不大。
关键词:煤炭开采; 瓦斯抽采; 煤层渗透率; 钻孔抽采有效半径; 瓦斯流动惯性;瓦斯滑脱效应; 布孔间距; 瓦斯压力
中图分类号:TD821
文献标志码:A
网络出版地址:http://kns.cnki.net/kcms/detail/32.1627.TP.20181023.1709.001.html
ZHANG Bo1, XIE Xionggang1,2, XU Shiqing1
(1.Mining College,Guizhou University, Guiyang 550025, China; 2.National & Local Joint Laboratory of Engineering for Effective Utilization of Regional Mineral Resources from Karst Areas,Guiyang 550025, China)
Abstract:Based on comprehensive consideration of gas flow inertia and slippage effect, a gas drainage flow model was established. Based on engineering background of 12150 coal face of the No.15 coal seam in Songhe Coal Mine, the distribution law of gas pressure and the change of permeability under condition of single borehole and multi-borehole were analyzed by numerical simulation, and the reasonable diameter and the layout parameters of borehole were obtained combined with the effective radius of borehole drainage. When gas is extracted with single borehole for 240 days, it is more appropriate to select 65 mm diameter through comparing gas extraction effect of borehole with diameter among 40, 65, 75, 94 mm. When three boreholes are spaced at 3, 4 and 5 m respectively, it is concluded that when the pre-extraction time is more than 180 days, the boreholes spacing of 5 m is more appropriate on the basis of analysis of effective radius of gas extraction at different time periods. When the extraction time is between 120 days and 150 days, it is more appropriate to select the 4 m borehole spacing. When the extraction time is less than 120 days, it is more appropriate to select the 3 m borehole spacing. The permeability of coal seam increases gradually with the increasing of extraction time, but the increasing amplitude gradually decreases. At the initial stage of extraction, the gas pressure gradient is larger, a large amount of adsorption gas is desorbed, and the gas pressure is greater than the adsorption expansion stress, and the fracture-pore channel is opened, at this time the permeability is relatively large. In the middle and late stages of extraction, the gas pressure continues to decrease, the gas pressure has little advantage over the adsorption expansion stress, and the increase value of fracture-pore is small, resulting in a small increase of coal seam permeability during the middle and late stages of extraction.
Key words:coal mining; gas extraction; permeability of coal seam; effective radius of borehole extraction; gas flow inertia; gas slippage effect; spacing of borehole arrangement; gas pressure
收稿日期:2018-04-17;
修回日期:2018-06-21;
责任编辑:张强。
基金项目:国家自然科学基金资助项目(51864009);贵州省科技厅社发攻关项目(黔科合SY字[2015]3001);贵州省科技厅项目(黔科合支撑[2017]2821)。
作者简介:张波(1991-),男,河南商丘人,硕士研究生,主要研究方向为矿山安全与灾害防治,E-mail:784307834@qq.com。通信作者:谢雄刚(1971-),男,湖南郴州人,教授,博士,现主要从事煤矿安全开采技术和煤与瓦斯突出灾害防治等方面的研究工作, E-mail:414922360@qq.com。
引用格式:张波,谢雄刚,许石青.某矿顺层钻孔瓦斯抽采及布孔参数数值模拟[J].工矿自动化,2018,44(11):49-56.
ZHANG Bo,XIE Xionggang,XU Shiqing.Numerical simulation on gas drainage and borehole arrangement parameters of bedding borehole in a coal mine[J].Industry and Mine Automation,2018,44(11):49-56.
文章编号:1671-251X(2018)11-0049-08
DOI:10.13272/j.issn.1671-251x.2018040049
随着采煤工艺的升级和开采深度的增加,煤矿瓦斯涌出量也逐渐增大[1],易引发瓦斯事故。煤层瓦斯钻孔抽采能够降低瓦斯涌出量,防止煤矿瓦斯事故。瓦斯抽采钻孔的布置参数对瓦斯抽采效果具有重要影响,抽采间距过大,容易造成抽采盲区,抽采间距过小,浪费人力、物力[2]。因此,合理设置钻孔布置参数对煤矿瓦斯抽采具有重要意义。
在研究煤层中瓦斯的运移规律时,学者们分析了煤与瓦斯的作用机理,认为煤体有效应力的改变、瓦斯压力的变化会造成煤体变形,提出了各种数学模型,用以研究预抽钻孔对瓦斯压力的影响。尹光志等[3-4]引入瓦斯吸附膨胀应力,建立了含瓦斯煤岩固气耦合的煤体骨架变形和气体压缩变形的瓦斯抽采数学模型,得出钻孔抽采瓦斯的有效半径会随着时间推移逐渐变大,最后趋于一个定值的结论,但该模型未考虑滑脱效应。许江等[5]对不同温度条件下瓦斯压力升降过程中型煤对瓦斯渗流特性的影响进行了试验研究,得出了在升降压作用下煤层渗透率的变化规律,指出温度对瓦斯渗流的影响并不显著。魏国营等[6]推导出了卸压区和非卸压区瓦斯流动耦合方程,分析了钻孔周围瓦斯压力变化情况,但并未考虑流动惯性对瓦斯抽采的影响。
本文在前人研究的基础上综合考虑瓦斯流动惯性和滑脱效应,建立了考虑瓦斯流动惯性和滑脱效应的瓦斯抽采流动模型,试图分析单一钻孔和多钻孔情况下瓦斯压力分布规律和渗透率变化情况,结合钻孔抽采有效半径[7],得出合理的抽采钻孔直径和钻孔布置参数。
煤体应变由2个部分组成,包括瓦斯吸附膨胀引起的煤基质变形和瓦斯压力对煤体的压迫变形,两者共同作用、相互耦合使得煤体发生变形。单位煤体总应变可表示为[8]
εij=![]()
(1)
式中:G为煤体剪切模量,
为煤的泊松比,E为煤体弹性模量,MPa;σij为吸附膨胀应力和瓦斯压力共同作用下的总应力(i,j=1,2,3,分别表示力的x,y,z方向);K为煤体体积模量,
为有效体积应力(k=1,2,3,代表力的x,y,z方向);α为Biot系数,
为骨架体积模量,MPa;p为煤层瓦斯压力,MPa;εs为瓦斯吸附膨胀体积应变,εs=
为Langmuir吸附膨胀常数,p0为初始瓦斯压力,MPa,pL为Langmuir压力常数,MPa;δij为Kronecker算子。
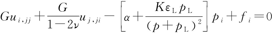
结合弹性力学中平衡微分方程和广义虎克定律,推导出煤体受力变形的应力应变本构方程[9]:
(2)
式中:u为x,y,z方向的位移分量;ui,jj可表示为
为Laplace运算符号;uj,ji为体积应变分别对x,y,z方向的一阶偏导数;pi为瓦斯压力分别对x,y,z方向的一阶偏导数;fi为x,y,z方向的外应力。
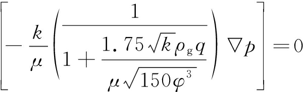
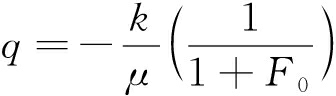
瓦斯在煤中的流动规律,在较大裂隙中符合菲克扩散定律,在小孔隙中遵循达西渗流定律,本文只研究瓦斯在煤体中的渗流特性,选择达西渗流定律计算渗透率。考虑到惯性作用,达西渗流定律可表示为[10]
▽p
(3)
式中:q为瓦斯渗流速度,m/s;k为煤层渗透率,m2;μ为瓦斯气体运动黏度,Pa·s;F0为瓦斯流动惯性因子;▽p为煤层气压力梯度,Pa/m。
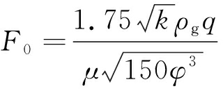
在瓦斯抽采过程中,瓦斯沿孔隙-裂隙流动时,瓦斯流动的惯性不可忽略[11],惯性因子F0可表示为
(4)
式中:ρg为煤层瓦斯密度,kg/m3;φ为煤层孔隙率。
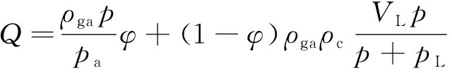
考虑到瓦斯的吸附和解吸过程,通过气体状态方程和Langmuir方程计算出单位体积煤层瓦斯含量为[12]
(5)
式中:ρga为标准状态下的瓦斯密度,kg/m3;pa为标准状态下的大气压力,取0.1 MPa;ρc为煤体密度,kg/m3;VL为Langmuir体积常数,m3/kg。
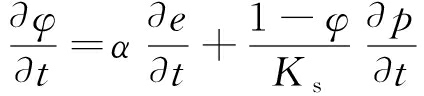
等温条件下,煤层孔隙率受瓦斯吸附膨胀和煤体变形的影响,孔隙率变化可表示为[13]
(6)
式中:e为煤体体积变形量,取为1;t为时间,s。
瓦斯在煤体中的流动方程为
▽ρgq=0
(7)
将式(3)—式(6)代入式(7),可得到考虑Klinkenberg效应和惯性作用的煤层瓦斯渗流场控制方程:
αp-paρc![]()
▽
(8)
若不考虑煤体温度变化对煤体形变的影响,因煤体骨架受瓦斯吸附膨胀应力和瓦斯压力的作用,使煤体发生变形[12],依据孔隙率的定义,孔隙率变化为
φ=![]()
(9)
式中:φ0为煤层初始孔隙率;Δp为煤层内瓦斯压力变化量,MPa。
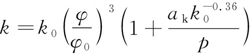
在实际情况下,较为致密的含瓦斯煤层在壁面的瓦斯流速不能被忽视,并且近壁面位置属于非均匀孔隙分布,使达西渗流定律在壁面并不适用。为了解决这个问题,Klinkenberg给出了考虑滑脱效应的煤层渗透率计算公式:
(10)
式中:k0为煤层初始渗透率,m2;ak为Klinkenberg影响因子,一般取0.251。
联立式(2)、式(8)和式(10),即得到了煤层瓦斯抽采渗流的流固耦合模型,利用Comsol Multiphysics的系数偏微分方程模块(PDE模块)和固体力学模块进行数值模拟。
以贵州省松河煤矿为数值模拟的研究对象,获取模拟参数。该煤矿生产能力为30万t/a,矿井相对瓦斯涌出量为44.18 m3/t,开采煤层为中厚煤层,煤层渗透性较低。
经鉴定,15号煤层为煤与瓦斯突出危险性煤层,选取15号煤层作为计算模型,模型长为50 m,宽为6 m。计算模型网格如图1所示。
瓦斯渗流场边界条件:瓦斯在煤层中流动的初始瓦斯压力p0=1 MPa,抽采钻孔压力pz=0.01 MPa,煤层顶底板为岩层,瓦斯流量为0。应力场边界条件:模型上下边界和左右边界位移为0,煤层受上覆岩层重力作用,上边界有均匀载荷,同时要考虑煤层的自身重力。数值模拟的基本参数见表1。

图1 计算模型网格
Fig.1 Calculation model grid
表1 数值模拟的基本参数
Table 1 Basic parameters of numerical simulation

2.2.1 单一钻孔瓦斯抽采
标准状态下的抽采孔瓦斯压力为0.01 MPa,与初始瓦斯压力1 MPa存在很大的瓦斯压力梯度,瓦斯从煤层内部运移到抽采孔,促进煤体内部瓦斯解吸释放,煤层内部瓦斯压力逐渐降低。根据数值模拟得到抽采240 d时,不同钻孔直径(40,65,75,94 mm)下的钻孔周围瓦斯压力变化曲线,如图2所示。从图2可看出,抽采240 d后,随着钻孔直径的增加,钻孔周围瓦斯压力逐渐减小,距离钻孔中心4 m处,钻孔直径为40,65,75,94 mm时瓦斯压力分别为0.852,0.838,0.825,0.817 MPa,预抽后瓦斯压力相对原始瓦斯压力分别下降了14.8%,16.2%, 17.5%,18.3%;随着钻孔直径增大,瓦斯压力降低更加明显,但降低速率逐渐减小。在钻孔直径大于65 mm后,瓦斯压力下降速率明显减小,因此,钻孔直径选取65 mm较为适宜,图3给出了钻孔直径为65 mm时的瓦斯压力变化云图。

图2 钻孔周围瓦斯压力变化曲线
Fig.2 Gas pressure changes curves around the borehole

图3 钻孔直径为65 mm时的瓦斯压力变化云图
Fig.3 Gas pressure change cloud of borehole with
borehole diameter of 65 mm
为了确定适宜的抽采时间,模拟得出了钻孔直径为65 mm时不同抽采时间下的瓦斯压力变化曲线,如图4所示。

图4 钻孔直径为65 mm时不同抽采时间下的
瓦斯压力变化曲线
Fig.4 Gas pressure change curves under different drainage
time with borehole diameter of 65 mm
由图4可看出,随着抽采时间的增加,瓦斯压力逐渐减小,在距离钻孔中心4 m处,抽采时间为60,120,180,240 d时瓦斯压力分别为0.950,0.899,0.854, 0.819 MPa,瓦斯压力相对初始瓦斯压力分别下降了5%,10.1%,14.6%,18.1%,在抽采时间大于180 d后,瓦斯压力下降速率逐渐变小,结合矿井生产需要,抽采时间选取180 d较为适宜。
随着抽采时间的增加,抽采瓦斯压力下降梯度逐渐减小,其原因是抽采初期瓦斯压力梯度较大,大量吸附瓦斯解吸,沿孔隙裂隙流动到抽采孔,瓦斯压力下降速度快;到了抽采中后期,瓦斯压力和吸附瓦斯含量降低,煤层内部和抽采孔间瓦斯压力梯度减小,使瓦斯压力下降速度相对变慢。
钻孔直径为65 mm时不同抽采时间煤层渗透率变化如图5所示。从图5可看出,煤层渗透率随抽采时间增加逐渐增大,但增幅逐渐减小。原因为抽采初期瓦斯压力梯度较大,大量吸附瓦斯解吸,瓦斯压力大于吸附膨胀应力,裂隙孔隙通道打开,此时煤层渗透率较大;抽采中后期,瓦斯压力持续降低,相对吸附膨胀应力优势不大,孔隙裂隙增加量较小,造成在抽采中后期煤层渗透率增幅不大。

图5 钻孔直径为65mm时不同抽采时间
煤层渗透率变化曲线
Fig.5 Permeability change curves under different drainage
time with borehole diameter of 65 mm
2.2.2 3个钻孔耦合瓦斯抽采
单一钻孔瓦斯抽采在钻孔周围很难把整个煤层瓦斯压力降低到安全值(0.74 MPa)以下,为了分析矿井多钻孔耦合作用下钻孔周围瓦斯压力变化和布孔参数,对3个钻孔同时抽采情况进行数值模拟。
瓦斯抽采有效半径是确定钻孔布置间距的基础参数和重要依据,抽采有效半径可以衡量瓦斯抽采效果。瓦斯压力在0.74 MPa以下为瓦斯抽采达标区,在此范围内距抽采孔的距离定义为瓦斯抽采有效半径。由于煤矿井下瓦斯顺层钻孔相互影响、相互叠加,瓦斯压力分布不同于单一钻孔,为了更符合井下实际情况,需要做3个钻孔耦合瓦斯抽采效果评估。孔距为3 m时的瓦斯压力变化云图如图6所示。

图6 孔距为3 m时的瓦斯压力变化云图
Fig.6 Gas pressure change cloud of borehole with
borehole spacing of 3 m
孔距为3 m时不同抽采时间下的瓦斯压力变化曲线如图7所示。 从图7可看出,钻孔间距为3 m时,随着抽采时间的增加,瓦斯压力下降较为明显,抽采180 d后, 瓦斯压力低于0.74 MPa的有效半径为3 m,抽采120 d的有效半径为1.5 m,抽采240 d的有效半径为3.8 m。由此可见,抽采180 d的效率最高。

图7 孔距为3 m时不同抽采时间下的瓦斯压力变化曲线
Fig.7 Gas pressure change curves under different drainage
times with borehole spacing of 3 m
用2钻孔中间位置瓦斯压力随时间变化规律来衡量钻孔耦合效果,如图8所示。当抽采时间在90 d左右时,瓦斯压力下降到0.74 MPa以下,抽采效果比较理想,并且在初始瓦斯压力从1 MPa降到0.74 MPa时下降速率很大,该阶段在抽采时间较短的情况下,能快速将瓦斯压力降到达标值以下。
2.2.3 钻孔布孔间距确定
钻孔间距对煤矿瓦斯抽采至关重要。孔间距过小,容易造成重复抽采,增加抽采成本;孔间距过大,存在抽采盲区,而且要花费大量时间成本才能达到抽采效果。为了确定合理的孔间距,选取钻孔间距为3,4,5 m,对煤层瓦斯进行抽采模拟,抽采过程瓦斯压力分布如图7、图9、图10所示。

图8 孔距为3 m时钻孔中间位置瓦斯压力随时间变化曲线
Fig.8 Gas pressure changes curves with time in middle
with borehole spacing of 3 m

图9 孔距为4 m时不同抽采时间下的瓦斯压力变化曲线
Fig.9 Gas pressure change curves under different drainage
times with borehole spacing of 4 m

图10 孔距为5 m时不同抽采时间下的瓦斯压力变化曲线
Fig.10 Gas pressure change curves under different drainage
times with borehole spacing of 5 m
从图7、图9、图10可以看出,钻孔间距为3 m时,抽采90 d以上,有效半径大于1.5 m; 钻孔间距为4 m时,抽采110 d以上,有效半径大于1.5 m; 钻孔间距为5 m时, 抽采150 d以上,有效半径大于1.5 m; 抽采240 d,钻孔间距为3,4,5 m时,钻孔周围瓦斯压力分别下降0.70, 0.65, 0.60 MPa,抽采间距越大,瓦斯压力下降越小;抽采180 d时,有效半径分别为3.52 ,3.48, 3.47 m,有效半径基本一致,当抽采超过180 d时,可选用5 m钻孔间距;抽采150 d时,钻孔间距为3 m和4 m时,有效半径分别为3.1,3.2 m,当抽采时间为120~150 d时,可选择钻孔间距为4 m;当抽采时间少于120 d时,可选用3 m钻孔间距。
选取15号煤层12150采煤工作面进行工程实例分析。15号煤层基本顶为中砂岩或粉砂岩,厚度为6 m。底板为砂岩,厚度为6.0~8.0 m,渗透性较强。15号煤层的煤为中灰、低磷、少硫的无烟煤,具有条带状结构,块状构造。煤岩类型以光亮型、半亮型煤为主。煤的平均密度为1.2 t/m3,普氏系数在0.06~0.38之间。
12150采煤工作面位于矿井井底车场西南部,工作面长为196 m,设计走向长度为1.4 km。煤层瓦斯含量为34 m3/t,瓦斯压力为1.2 MPa,煤层厚度为5.8~6.3 m,平均煤层厚度为6 m,倾角为8~11°,赋存较稳定。煤层透气性系数为0.060 5 m2/(MPa2·d),钻孔瓦斯流量衰减系数为0.324 4 d-1,属于较难抽采煤层。
测点选择在12150运输工作面,设计2组钻孔试验,1组用来测量单钻孔有效半径,1组用来测量3个钻孔布孔间距,钻孔孔径选为65 mm,孔距为4 m,钻孔布置如图11所示。

图11 钻孔布置位置
Fig.11 Borehole location
孔径为65 mm时瓦斯压力随时间变化曲线如图12所示,孔距为4 m时瓦斯压力随时间变化曲线如图13所示。从图12和图13可看出,抽采前期,瓦斯压力下降迅速,随着时间的推移,瓦斯压力下降速度逐渐稳定,与数值模拟结果相一致。单一钻孔抽采时孔径为65 mm,抽采180 d,距离钻孔1 m处瓦斯压力降为0.73 MPa。随着抽采时间的增加,瓦斯压力稳定在0.65 MPa左右,有效半径为1~1.5 m。多钻孔瓦斯抽采时,钻孔直径为65 mm,钻孔间距为4 m,抽采120 d时,距离钻孔2 m处, 钻孔瓦斯压力为0.72 MPa,随着抽采时间的增加,瓦斯压力稳定在0.62 MPa左右。以上数据与数值模拟结果基本一致,验证了抽采模型的正确性,为矿井预测瓦斯抽采时间和钻孔布置参数提供了理论依据。

图12 孔径为65 mm时瓦斯压力随时间变化曲线
Fig.12 Gas pressure changes curves with time at
borehole diameter of 65 mm

图13 孔距为4 m时瓦斯压力随时间变化曲线
Fig.13 Gas pressure change curves with time at
borehole spacing of 4 m
(1) 基于瓦斯渗流规律,建立了考虑瓦斯流动惯性和滑脱效应的流固耦合瓦斯抽采模型,并以贵州省松河煤矿为研究对象,验证了该模型的实用性,为合理设置矿井瓦斯抽采参数提供理论依据。
(2) 煤层渗透率随抽采时间增加而逐渐增大,但增大幅度逐渐减小,抽采初期瓦斯压力梯度较大,大量吸附瓦斯解吸,瓦斯压力大于吸附膨胀应力,裂隙孔隙通道打开,此时煤层渗透率较大;抽采中后期,煤层内瓦斯含量大量减少,瓦斯压力和吸附膨胀应力都比较小,瓦斯压力相对吸附膨胀应力优势不大,孔隙裂隙增加量较小,造成在抽采中后期煤层渗透率增幅不大。
(3) 单一钻孔直径为40,65,75,94 mm时分别对煤层瓦斯进行抽采,瓦斯压力分别下降了14.8%,16.2%,17.5%,18.3%,在钻孔直径大于65 mm后,瓦斯压力下降速率明显减小,钻孔直径选取65 mm较为适宜。
(4) 通过对比钻孔间距分别为3,4,5 m时的瓦斯抽采达标时间和有效半径,得出如下结论:当预计抽采时间超过180 d时,选用5 m钻孔间距较为适宜;当抽采时间为120~150 d时,选择4 m钻孔间距较为适宜;当抽采时间少于120 d时,选用3 m钻孔间距较为适宜。
参考文献:
[1] 田成金.煤炭智能化开采模式和关键技术研究[J].工矿自动化,2016,42(11):28-32.
TIAN Chengjin. Research of intelligentized coal mining mode and key technologies[J]. Industry and Mine Automation,2016,42(11):28-32.
[2] 鲁义,申宏敏,秦波涛,等.顺层钻孔瓦斯抽采半径及布孔间距研究[J].采矿与安全工程学报,2015,32(1):156-161.
LU Yi, SHEN Hongmin, QIN Botao, et al. Gas drainage radius and borehole distance along seam[J].Journal of Mining & Safety Engineering,2015,32(1):156-161.
[3] 尹光志,李铭辉,李生舟,等.基于含瓦斯煤岩固气耦合模型的钻孔抽采瓦斯三维数值模拟[J].煤炭学报,2013,38(4):469-472.
YIN Guangzhi, LI Minghui, LI Shengzhou, et al.3D numerical simulation of gas drainage from boreholes based on solid-gas coupling model of coal containing gas[J]. Journal of China Coal Society, 2013, 38(4): 469-472.
[4] 尹光志,李文璞,李铭辉,等.加卸载条件下原煤渗透率与有效应力的规律[J].煤炭学报,2014,39(8):1497-1503.
YIN Guangzhi, LI Wenpu, LI Minghui, et al. Permeability properties and effective stress of raw coal under loading-unloading conditions[J]. Journal of China Coal Society,2014, 39(8):1497-1503.
[5] 许江,张敏,李波波,等.不同温度条件下气体压力升降过程中瓦斯运移规律的试验研究[J].岩土力学,2016,37(6):1580-1585.
XU Jiang, ZHANG Min, LI Bobo, et al. Experimental study of migration laws of gas during loading-unloading process at different temperatures[J].Rock and Soil Mechanics, 2016, 37(6): 1580-1585.
[6] 魏国营,娄振,陶东东,等.钻孔瓦斯抽采气固耦合模型及其应用[J].中国安全科学学报,2017,27(2):76-80.
WEI Guoying, LOU Zhen, TAO Dongdong, et al. Solid-gas coupling model for gas drainage from boreholes and its application[J]. China Safety Science Journal, 2017,27(2):76-80.
[7] 韩颖,朱林剑,张飞燕.顺层钻孔瓦斯抽采有效半径确定方法研究进展及展望[J].河南理工大学学报(自然科学版),2016,35(2):156-161.
HAN Ying, ZHU Linjian, ZHANG Feiyan. Research process and prospect of determination methods of gas extraction effective radius of hole drilled along seam[J]. Journal of Henan Polytechnic University (Natural Science), 2016, 35(2):156-161.
[8] SHI J Q, DURUCAN S. Modelling laboratory horizontal stress and coal permeability data usingS & D permeability model[J]. International Journal of Coal Geology,2014, 131:172-176.
[9] 高帆,余磊,谭力海.低硬度煤体预裂爆破参数优化数值模拟分析[J].工矿自动化,2017,43(12):32-36.
GAO Fan, YU Lei, TAN Lihai. Analysis and numerical simulation on parameter optimization of low hardness coal pre-splitting blasting[J]. Industry and Mine Automation, 2017, 43(12):32-36.
[10] 肖伟晶,王晓军,李士超,等.渗透压力作用下岩石三轴压缩过程变形特性分析[J].中国安全生产科学技术,2017,13(12):38-42.
XIAO Weijing, WANG Xiaojun, LI Shichao, et al. Analysis on deformation characteristics of rock in triaxial compression process with seepage pressure[J]. Journal of Safety Science and Technology, 2017, 13(12):38-42.
[11] 马忠.基于热流固耦合的瓦斯抽采数值模拟研究[D].淮南:安徽理工大学,2014.
[12] XIA T Q, ZHOU F B, GAO F,et al. Simulation of coal self-heating processes in underground methane-rich coal seams[J]. International Journal of Coal Geology, 2015,141-142:1-12.
[13] WU Y S, PRUESS K, PERSOFF P. Gas flow in porous media with Klinkenberg effects[J]. Transport in Porous Media,1998, 32(1):117-137.
[14] 黄猛.基于吸附效应的顺层钻孔抽采瓦斯渗流规律数值模拟[D].西安:西安科技大学,2016.