吴根水1,2, 余伟健1,3, 刘泽1,2, 刘芳芳1,2, 黄钟1,2
(1.湖南科技大学 煤矿安全开采技术湖南省重点实验室, 湖南 湘潭 411201; 2.湖南科技大学 资源环境与安全工程学院, 湖南 湘潭 411201; 3. 安徽理工大学 煤矿安全高效开采省部共建教育部重点实验室, 安徽 淮南 232001)
摘要:为提高地下岩石工程参数的计算效率,采用正交试验方法进行岩体力学参数反演计算,并将弹性模量、黏聚力、内摩擦角和岩体抗拉强度选作试验参数,建立了巷道岩体等效力学参数反演优化模型。以曲江煤矿-850 m水平软岩运输大巷为工程背景,在现场监测数据的基础上,用建立好的巷道围岩计算模型进行数值计算与回归分析,准确地建立了巷道围岩位移与岩体力学参数的函数关系。等效岩体力学参数识别结果表明,东大巷1 500 m处,原支护情况下的安全系数Fs为0.97,巷道围岩处于不稳定状态,必须进行重新加强支护。最后,针对曲江煤矿-850 m水平东运输返修巷道进行了稳定性评价,试验段巷道监测数据表明,东大巷返修后的围岩体力学强度大大提高,安全系数Fs为1.58,巷道围岩处于稳定状态,说明提出的“锚杆、金属网、喷浆、锚索、注浆和底板锚索”修复方案能很好地抑制巷道变形,从而也验证了软岩巷道岩体力学参数反演方法的有效性。
关键词:软岩巷道; 岩体力学; 参数反演计算; 正交试验; 稳定性评价
中图分类号:TD325
文献标志码:A
网络出版地址:http://kns.cnki.net/kcms/detail/32.1627.TP.20181031.1624.001.html
WU Genshui1,2, YU Weijian1,3, LIU Ze1,2, LIU Fangfang1,2, HUANG Zhong1,2
(1.Hunan Provincial Key Laboratory of Safe Mining Techniques of Coal Mines, Hunan University of Science and Technology, Xiangtan 411201, China; 2.School of Resource & Environment and Safety Engineering, Hunan University of Science and Technology, Xiangtan 411201, China; 3.Key Laboratory of Safety and High-efficiency Coal Mining, Ministry of Education, Anhui University of Science and Technology, Huainan 232001, China)
Abstract:In order to improve calculation efficiency of underground rock engineering parameters, displacement inversion calculation of rock mass parameters was carried out by orthogonal experiment. An optimal model of equivalent mechanical parameters of roadway rock mass was established taking elastic modulus, cohesion force, internal friction angle and tensile strength of rock mass as test parameters. Based on field monitoring data of -850 m horizontal soft rock haulage roadway in Qujiang Coal Mine, function relationship between step displacement and rock mass parameters was established accurately using the established numerical model for numerical analysis and regression analysis. The equivalent rock mass parameter identification results show that at the location of 1 500 m of the east roadway, the safety factorFsis 0.97 under the original supporting condition, which is in unstable state, so it is necessary to re-strengthen the supporting. Finally, stability evaluation of -850 m horizontal east haulage reworking roadway in Qujiang Coal Mine was carried out. The monitoring data of the roadway in the test section shows that the mechanical strength of the surrounding rock mass after the repair of east roadway is greatly improved, and the safety factorFsis 1.58, which shows the roadway is in a stable state. It is indicated that the repair scheme of "screw, metal mesh, shotcrete, anchor cable, grouting and floor anchor cable" can well inhibit deformation of the roadway, which also verifies effectiveness of the rock mass mechanical parameter inversion method in soft rock roadway.
Key words:soft rock roadway; rock mechanics; parameter inversion calculation; orthogonal test; stability evaluation
收稿日期:2018-04-24;
修回日期:2018-09-12;
责任编辑:胡娴。
基金项目:国家自然科学基金项目(51574122);湖南省研究生科研创新基金项目(CX2017B647)。
作者简介:吴根水(1993-),男,福建将乐人,硕士研究生,主要研究方向为深部岩石力学与围岩控制,E-mail:Wu_genshui@163.com。
引用格式:吴根水,余伟健,刘泽,等.软岩巷道岩体力学参数反演方法及工程应用[J].工矿自动化,2018,44(11):41-48.
WU Genshui,YU Weijian,LIU Ze,et al.Inversion method of mechanical parameters of rock mass in soft rock roadway and its engineering application[J].Industry and Mine Automation,2018,44(11):41-48.
文章编号:1671-251X(2018)11-0041-08
DOI:10.13272/j.issn.1671-251x.2018040081
岩体力学参数的选择对岩体工程支护、稳定性评价及数值分析起着至关重要的作用[1-3]。关于岩体力学参数的准确取值,通过几十年的工程实践已经逐渐发展了几十种方法,主要包括反演分析法、经验方法、岩石力学试验法等[4-6]。其中,通过经验方法或试验法确定的岩体力学参数与实际情况有较大的偏差,加上工程本身所处环境的复杂性,使得试验结果缺乏足够的代表性[7-8]。反演分析法以现场实测值为基础信息,通过反演计算岩体等效识别参数中的位移,该方法已日臻成熟,并逐步走向与工程集成的智能化应用阶段[9]。
岩体力学参数反演方法已经在露天边坡工程中广泛应用。例如,杜景灿等[10]针对岩体结构的特殊性质, 在位移反演分析的基础上,提出了加权位移反演法;高谦等[11-12]利用边坡的变形监测信息,开展了边坡岩体力学参数的等效模型识别研究;翟淑花等[13]通过将遗传规划、遗传算法及数值分析方法相结合,根据现场监测信息进行计算和对比分析,结果显示了较好的一致性。
在巷道工程稳定性评价方面,软岩巷道的大变形机理及控制是目前各煤矿进入深部开采所面临的不可避免、也是非常重要的科学问题之一,而巷道的稳定性分析,特别是进行返修巷道的稳定性评价往往都要以准确的巷道围岩力学参数为基础[14-17]。在软岩巷道中,以现场量测位移为基础,应用位移反演方法对巷道周边岩体进行等效参数识别,不仅可以对巷道周边岩体的等效特性参数做出估计,更重要的是,将其与稳定性分析相结合,能够对工程进行预报或事后检验,建立动态反演及预测(或事后检验)模型,为工程决策提供较可靠的依据[18-19]。因此,本文建立了巷道岩体等效参数优化模型,并以曲江煤矿-850 m水平软岩运输大巷为工程背景,根据实际工程阶段所监测的岩体位移数据,建立了软岩巷道围岩的参数反演模型,在返修巷道中进行了稳定性评价。
影响巷道周边围岩变形的主要因素是围岩复杂的扰动应力场,而其稳定性更多地取决于岩体本身的力学与变形性质。能反映岩体力学特性的参数非常多,为了减小分析计算工作量,可采用正交试验方法来进行岩体力学参数反演计算。
根据经验,主要考虑对巷道岩体变异性影响较大的力学参数。巷道岩体的密度γ和泊松比μ的变异性相对较小,对岩体变形分析影响不明显,故在数值分析中将其取作确定性的常量,仅将弹性模量E、黏聚力C、内摩擦角φ和岩体抗拉强度Rt选作试验参数,并对每个参数选取3个变化值(即3个水平),分别为E1—E3,C1—C3,φ1—φ3,R1—R3。基于巷道岩体类别,可以确定相应的巷道岩体力学参数范围和对应的正交试验表。根据4因素、3水平正交试验表(表1),可以建立地下巷道工程岩体的数值分析模型,即根据表中试验方案(不同设计水平参数的组合)进行数值分析。
表1 4因素、3水平正交试验
Table 1 Orthogonal test table of 4 factors and 3 levels

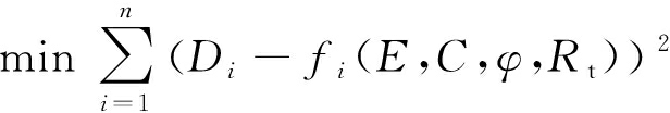
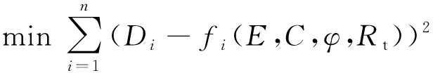
按照表1进行计算,每次计算分析都可以获得对应试验变量(岩体力学参数)的巷道周边围岩位移,依次进行试验,可以获得9组基本试验数据。设Di(i=1,2,…)为巷道岩体监测点的实测位移值,
为数值分析得到的对应监测点的计算位移值,其值是巷道岩体力学参数E、C、φ、Rt的函数,取决于岩体力学参数设计水平。根据9组数据进行回归分析,可建立试验变量参数与巷道岩体位移之间的函数关系:
(1)
由于计算参数与实际巷道的岩体力学参数存在差异,必然有
当Di和
之差的平方和达到最小时,对应的参数称为巷道岩体等效力学参数。由此,可以建立如下巷道岩体等效力学参数反演优化模型:
(约束条件:sub.gi≥0)
(2)
式中gi为模型参数的约束函数,gi≥0表示各物理力学性质参数不得小于零。
根据式(1),可将式(2)表示为
(约束条件:sub.gi≥0)
(3)
以曲江煤矿-850 m水平软岩运输大巷为工程背景,在现场监测数据的基础上进行数值计算与回归分析。
曲江煤矿-850 m运输大巷沿煤层走向布置在煤层底板岩层中,巷道断面形状为半圆拱形。巷道周边普遍为泥质粉砂岩,节理发育,钙泥质胶结,硬度中等偏低。贯穿于该地区的主要断层包括DF4,DF5,DF9和BF1,均为正断层。
为更准确地分析该巷道岩体力学参数,选择3个典型变形的开挖断面(图1),采用地质力学总评分进行估计,各典型岩段的岩体地质力学分类(Rock Mass Rating, RMR)参数和评分值见表2。

(a) 西大巷650 m处

(b) 东大巷1 050 m处

(c) 东大巷1 500 m处
图1 3个典型断面巷道围岩
Fig.1 Surrounding rock of three typical sections of roadway
表2 各典型断面巷道围岩的地质力学分类参数及评分值
Table 2 RMR parameters and scoring of surrounding rock in typical section roadways

由表2可知,该巷道围岩的RMR评分值为30,在21~40之间,按地质力学总评分值进行岩体分类[10],该围岩属于Ⅳ类不稳定岩体。
-850 m东大巷延伸段沿煤层走向布置在煤层底板岩层中,大巷延伸段断面形状为半圆拱形。巷道首先采用锚杆进行临时支护,使用每排不少于3根锚杆等强螺纹钢式树脂锚杆,杆体直径为20 mm,长度为2.0 m。永久支护采用锚、梁、网、喷、锚索组合支护。具体参数:锚杆直径为20 mm,长度为2.0 m,间排距为700 mm×700 mm,扭矩≥150 N·m;托盘尺寸为150 mm×150 mm×10 mm;梯子梁主筋是直径为12 mm 的钢筋,间距为80 mm;锚索为7股直径为15.24 mm的钢绞线,长度为6.3 m,间排距为1 000 mm×1 400 mm,初锚力≥58.8 kN。
以曲江煤矿-850 m东大巷1 500 m处为例,建立运输巷道的计算模型,如图2所示。

图2 -850 m水平运输巷道计算模型
Fig.2 Calculation model of -850 m horizontal
haulage roadway
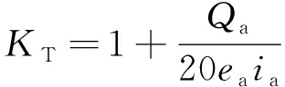
考虑锚杆(索)间排距对支护的影响,根据式(4)修正系数KT:
(4)
式中:ea,ia分别为锚杆(索)的间距和排距,m;Qa为单根锚杆(索)施加的预应力,kN。
为了更加均匀地考虑力学参数的分布,计算时分别考虑RMR=25,35,45的3类围岩,选取计算参数作为正交试验变量,这样就可以获得正交数值试验3个水平的计算参数。尽量考虑均匀分布所得到的参数见表3。
表3 东运输大巷道正交数值试验各水平计算参数
Table 3 Calculation parameters of each level of orthogonal
numerical test of east haulage roadway

基于表1和表3,可得到9组组合方案,为了使计算参数更加可靠,还考虑了不同参数的亚方案。亚方案以主方案为根据,适当地改变计算参数。基于巷道围岩的监测位移分析,对于每次计算,提取对应于监测点的位移。限于篇幅,在此简要说明计算方案结果,列出东大巷1 500 m处部分方案的组合计算参数和计算结果,见表4。其中,1-1,2-1,3-1,4-1,5-1代表主方案,其余均为对应的亚方案。
以巷道实测变形位移和计算位移之差的平方达到最小作为识别准则,巷道等效岩体力学参数反演计算的优化模型可表示为
(约束条件:![]()
(5)
表4 东运输大巷数值分析计算参数与计算结果(部分)
Table 4 Calculation parameters and results of the numerical analysis of the east haulage roadway (partial)

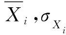
式中:Xi为待确定位置的巷道岩体计算参数;
分别为第i个岩体力学参数的均值和均方差。
采用十字型现场监测方法,分别在巷道3个断面(西大巷650 m处、东大巷1 050 m处和东大巷1 500 m处)进行监测。为了优化参数,只列出各断面测点位移量的最大稳定值,见表5。
表5 各断面实际监测最大位移值
Table 5 Maximum displacement value of actual
monitoring of each section

根据正交数值计算的结果,采用最小二乘法进行回归分析,建立断面3(东大巷1 500 m处)巷道围岩位移与岩体力学参数之间的函数关系:

(6)
式中:
分别为拱顶、帮部、底板位移。
同理可得另外2个巷道断面围岩位移与岩体力学参数之间的函数关系。令实测位移与计算位移相等,并关联其余2个测点函数拟合关系式,可得到东大巷1 500 m处等效岩体力学参数拟合函数的一个最小二乘解的矩阵关系式:


(7)
通过巷道等效岩体力学参数反演分析,可得上述各具有代表性断面巷道围岩的岩体等效参数:西大巷650 m处,E=1.71 GPa,C=0.30 MPa,φ=21.14°,Rt=0.19 MPa;东大巷1 050 m处,E=1.78 GPa,C=0.50 MPa,φ=22.51°,Rt=0.63 MPa;东大巷1 500 m处,E=1.69 GPa,C=0.34 MPa,φ=22.99°,Rt=0.90 MPa。
将实际岩体力学参数与破坏状态的岩体力学参数的比值表示为相应的安全系数:
(8)
理论上,Fs<1时为不安全状态,Fs≥1时为安全状态。实际工程应用中,通常要求安全系数大于理论阈值,即Fs>1时为工程安全稳定状态。
根据巷道围岩稳定安全系数与岩体力学参数的关系,可得到东大巷1 500 m处岩体力学参数与稳定安全系数Fs的拟合关系式:
(9)
结合式(9)和已经获得的等效岩体力学参数可知,在东大巷1 500 m处,原支护情况下的安全系数Fs=0.97,处于不稳定状态。因此,该段巷道必须重新加强支护。
曲江煤矿-850 m 水平运输大巷埋深为886 m,巷道处于高应力条件。巷道原支护方案为“锚、梁、网、喷”组合支护方案,主要支护参数:选用长度为2 000 mm、直径为20 mm的等强度螺纹钢锚杆,间排距为700 mm×700 mm;梯子梁主筋是直径为12 mm的钢筋,间距为80 mm;喷浆厚度为100 mm。通过调查该巷道变形与破坏情况发现,在原支护方案下,围岩的主要变形与破坏形式如下:① 水平侧向压力大,引起两帮内挤严重,侧墙张裂严重;② 高应力作用下,巷道上覆岩层下沉之后,使锚杆、混凝土喷层、混凝土衬砌甚至可缩性钢棚架部分或完全失效;③ 底鼓引起的底板和底角破坏;④ 岩体碎胀变形严重,导致部分巷道拱顶及两帮围岩松散,常发生冒落和较大范围的片帮。
针对-850 m 水平运输大巷原支护条件下的围岩变形特点,选择该大巷东向延伸段进行返修支护试验。由稳定性评价可知该段岩体处于不稳定状态。因此,根据现场实际变形特征分析,选用了“锚杆、金属网、喷浆、锚索、注浆和底板锚索”综合支护方式。试验段巷道支护与加固方案如图3所示。

(a) 全断面锚杆与锚索支护

(b) 全封闭注浆
图3 试验段巷道支护与加固方案
Fig.3 Roadway support and reinforcement
scheme in test section
主要支护参数:选用长度为2 500 mm、直径为22 mm的左旋无纵筋普通螺纹钢锚杆,间排距为800 mm×800 mm;锚索选用长度为7.3 m、直径为17.8 mm的钢绞线,间排距为1 600 mm×1 600 mm,锚固长度为2 000 mm。
主要支护方案:底板采用连体锚索支护。对于稳定性等级为Ⅳ类的底鼓严重的巷道,巷道底板用底板连体锚索或锚杆,必要时需采用全封闭性反拱支护。底板锚索直径为17.8 mm,长度为4.3 m,间排距为2 400 mm×2 400 mm。每2根锚索采用高强度钢带或梯子梁相连接,形成一体。
壁后注浆方案:采用3.5 m注浆孔,顶拱和两帮的间排距均为2 000 mm×1 500 mm。
采用十字交叉法对试验巷道的位移量进行观测,经过173 d的监测,巷道帮部平均位移量为63 mm,顶板下沉平均值为133 mm,底板鼓出量平均值为198 mm。试验段巷道位移监测曲线如图4所示。

图4 试验段巷道位移监测曲线
Fig.4 Displacement monitoring curve of
roadway in test section
根据测试数据可求出东大巷返修后的围岩体参数:E=1.72 GPa,C=0.74 MPa,φ=19.10°,Rt=1.91 MPa。可知,该巷道经过返修后,岩体力学强度大大提高,安全系数Fs=1.58,说明巷道处于稳定状态,从而验证了“锚杆、金属网、喷浆、锚索、注浆和底板锚索”修复方案能很好地抑制巷道变形。
(1) 提出了地下软岩巷道岩体力学参数反演方法,根据实际工程阶段所监测的岩体位移,建立当前实际工程阶段的数值计算模型,并进行岩体等效参数和等效边界条件的计算。
(2) 在现场监测数据的基础上,分别对曲江煤矿西大巷650 m处、东大巷1 050 m处和东大巷1 500 m处3个典型巷道断面的安全系数进行数值计算与回归分析,建立了曲江煤矿-850 m水平巷道围岩位移与岩体力学参数的函数关系。
(3) 岩体等效力学参数识别结果表明,东大巷1 500 m处,在原支护情况下的安全系数Fs为0.97,巷道处于不稳定状态,必须重新加强支护。
(4) 将反演分析应用到返修巷道中,结果表明,返修后巷道的安全系数为1.58,说明所提出的“锚杆、金属网、喷浆、锚索、注浆和底板锚索”综合修复方案能很好地抑制巷道变形。
参考文献:
[1] 张志刚,乔春生.改进的节理岩体强度参数经验确定方法及工程应用[J].北京交通大学学报,2006,30(4):46-49.
ZHANG Zhigang, QIAO Chunsheng. Improved empirical determination of strength parameter for jointed rock masses and its application in engineering[J]. Journal of Beijing Jiaotong University, 2006,30(4):46-49.
[2] 胡盛明, 胡修文. 基于量化的GSI系统和Hoek-Brown准则的岩体力学参数的估计[J]. 岩土力学, 2011, 32(3):861-866.
HU Shengming, HU Xiuwen. Estimation of rock mass parameters based on quantitative GSI system and Hoek-Brown criterion [J]. Rock and Soil Mechanics, 2011,32(3):861-866.
[3] 田泽润, 李守巨, 于申. 白山抽水蓄能泵站地下厂房的岩体力学参数反演[J]. 岩土力学, 2014, 35(增刊2):508-513.
TIAN Zerun, LI Shouju, YU Shen. Inversion of rock mass mechanical parameter in underground powerhouse of Baishan pumped storage station [J]. Rock and Soil Mechanics, 2014,35(S2):508-513.
[4] 刘宗建, 王羽, 黄钦瀚,等. 岩体力学参数取值方法对比研究[J]. 重庆建筑, 2012(3):39-41.
LIU Zongjian, WANG Yu, HUANG Qinghan,et al. Estimation of geotechnical parameters [J]. Chongqing Architecture, 2012(3):39-41.
[5] 何满潮, 薛廷河, 彭延飞. 工程岩体力学参数确定方法的研究[J]. 岩石力学与工程学报, 2001,20(2):225-229.
HE Manchao, XUE Tinghe, PENG Yanfei. A new way of determining mechanical parameters of engineering rock masses [J]. Chinese Journal of Rock Mechanics and Engineering, 2001,20(2):225-229.
[6] 牛连超, 高永涛, 高斌. 某露天矿边坡岩体力学参数反演及稳定性分析[J]. 金属矿山, 2011(3):140-143.
NIU Lianchao, GAO Yongtao, GAO Bin. Back analysis of rock mechanical parameters of open-pit mine slope and stability analysis [J].Metal Mine, 2011(3):140-143.
[7] 刘清芳, 李至悦, 韦秉旭,等. 散体围岩力学参数位移反演优化[J]. 中南大学学报(自然科学版), 2014,45(7):2410-2415.
LIU Qingfang, LI Zhiyue, WEI Bingxu, et al. Optimization of back analysis of displacement for mechanical parameters of granular rock [J]. Journal of Central South University (Science and Technology), 2014,45(7):2410-2415.
[8] 黄书岭, 冯夏庭, 张传庆. 岩体力学参数的敏感性综合评价分析方法研究[J]. 岩石力学与工程学报, 2008, 27(增刊1):2624-2630.
HUANG Shuling,FENG Xiating,ZHANG Chuanqing.Study of method of comprehensive evaluation for parameters of constitutive model of rock mass [J].Chinese Journal of Rock Mechanics and Engineering, 2008, 27(S1):2624-2630.
[9] 南英华, 徐能雄, 武雄,等. 安家岭井工一矿开采沉陷数值模拟岩体力学参数反演[J]. 煤炭技术, 2015, 34(1):109-112.
NAN Yinghua, XU Nengxiong, WU Xiong, et al.Back-analysis of rock mechanical parameters on numerical simulation of mining subsidence in Anjialing No.1 Coal Mine [J]. Coal Technology, 2015, 34(1):109-112.
[10] 杜景灿, 陆兆溱. 加权位移反演法确定岩体结构面的力学参数[J].岩土工程学报,1999,21(2):209-212.
DU Jingcan, LU Zhaozhen. A new method to determine the parameters of structural planes in rock masses-the weighted displacement back analysis[J]. Chinese Journal of Geotechnical Engineering, 1999, 21(2):209-212.
[11] 高谦, 薛改利, 杨志强,等. 等效岩体力学参数识别及边坡稳定性数值模拟研究[J]. 中国矿业大学学报, 2015,44(3):423-429.
GAO Qian, XUE Gaili, YANG Zhiqiang, et al. Study of the equivalent identification of rock mass mechanical parameters and numerical simulation of the slope stability[J]. Journal of China University of Mining & Technology, 2015,44(3):423-429.
[12] 杨志强, 吴永博, 高谦. 高陡矿山边坡稳定性动态分析及工程应用研究[J]. 露天采矿技术,2008(3):1-5.
YANG Zhiqiang, WU Yongbo, GAO Qian. Dynamic analysis method of stability of high and steep mine slope stability and its application and study on a slope engineering [J]. Opencast Mining Technology,2008(3):1-5.
[13] 翟淑花, 高谦. 基于进化算法的岩体参数智能识别[J]. 煤炭学报, 2011,36(1):34-38.
ZHAI Shuhua, GAO Qian. Intelligent identification of rock mass parameters based on evolutionary algorithm [J]. Journal of China Coal Society, 2011, 36(1):34-38.
[14] 余伟健, 王卫军, 黄文忠,等. 高应力软岩巷道变形与破坏机制及返修控制技术[J]. 煤炭学报, 2014, 39(4):614-623.
YU Weijian, WANG Weijun, HUANG Wenzhong, et al. Deformation mechanism and rework control technology of high stress and soft rock roadway [J]. Journal of China Coal Society, 2014, 39(4):614-623.
[15] 孙闯, 张向东, 李永靖. 高应力软岩巷道围岩与支护结构相互作用分析[J]. 岩土力学, 2013,34(9):2601-2608.
SUN Chuang,ZHANG Xiangdong, LI Yongjing. Analysis of interaction between surrounding rock and support structure in high stressed soft rock roadway[J]. Rock and Soil Mechanics, 2013,34(9):2601-2608.
[16] 杜少华, 余伟健, 张田莲,等. 极破碎软弱大变形煤岩巷道变形机理及支护技术[J]. 煤炭科学技术, 2016, 44(12):15-21.
DU Shaohua, YU Weijian, ZHANG Tianlian, et al. Deformation mechanism and support technology of soft and extremely fractured coal-rock roadway with large deformation [J]. Coal Science and Technology,2016, 44(12):15-21.
[17] 黄文忠, 王卫军, 余伟健. 深部高应力碎胀围岩二次支护参数研究[J].采矿与安全工程学报,2013,30(5):665-672.
HUANG Wenzhong, WANG Weijun, YU Weijian. Analysis on secondary support parameter of deep high-stress & broken-expand surrounding rock[J].Journal of Mining and Safety Engineering,2013,30(5):665-672.
[18] 孙钧, 戚玉亮. 隧道围岩稳定性正算反演分析研究——以厦门海底隧道穿越风化深槽施工安全监控为例介绍[J]. 岩土力学, 2010, 31(8):2353-2360.
SUN Jun, QI Yuliang. Normal calculation-back analysis of surrounding rock stability of subsee tunnel [J]. Rock and Soil Mechanics, 2010, 31(8):2353-2360.
[19] 龚玉锋, 周创兵, 梁轶,等. 参数反演在岩质高边坡变形与稳定分析中的应用[J].岩土力学,2002,23(5):570-574.
GONG Yufeng, ZHOU Chuangbing, LIANG Yi,et al. Application of parameter back analysis method to deformation and stability analysis of rock high slope [J]. Rock and Soil Mechanics,2002,23(5):570-574.