赵世萍, 孙秀玲, 阚晓婷
(长春理工大学 光电信息学院, 吉林 长春 130000)
摘要:为了提高井下无线通信质量,保障有效通信,研究了井下煤尘浓度和湿度对电磁波传输的影响。通过理论分析给出了煤尘和水蒸气对井下电磁波的吸收计算公式,并得出煤尘的吸收效应是影响井下无线通信能力的主要因素。通过仿真分析了不同浓度、湿度与频率下的电磁损耗,得出煤尘浓度对电磁波传输的影响很明显,湿度对电磁波衰减的影响明显小于煤尘浓度。在此基础上,针对不同距离、不同煤尘浓度及不同湿度环境,在井下巷道中测试了点对点无线通信模块的数据传输性能。测试结果表明,在50 m以内,所有通信测试结果稳定,没有掉包现象;当距离达到100 m、煤尘浓度超过60 mg/m3时,开始出现掉包现象,且随着煤尘浓度增大,掉包现象加剧;湿度变化对掉包基本没有影响,但湿度较大时,数据传输正确率下降。
关键词:井下无线通信; 电磁波传输; 煤尘浓度; 湿度; 电磁损耗
中图分类号:TD655.3
文献标志码:A
网络出版地址:http://kns.cnki.net/kcms/detail/32.1627.tp.20181026.1451.004.html
ZHAO Shiping, SUN Xiuling, KAN Xiaoting
(College of Optical and Electronical Information, Changchun University of Science and Technology, Changchun 130000, China)
Abstract:In order to improve quality of underground wireless communication and ensure effective communication, influence of underground coal dust concentration and humidity on electromagnetic wave transmission was researched. Calculation formula of electromagnetic waves absorption of coal dust and water vapor were given through theoretical analysis, and it was concluded that coal dust absorption effect was the main factor affecting underground wireless communication capability. Electromagnetic losses at different coal dust concentrations, humidity and frequency were analyzed by simulation, and it was concluded that coal dust concentration had obvious influence on electromagnetic wave transmission, and the influence of humidity on electromagnetic wave attenuation was obviously less than that of coal dust. On this basis, data transmission performance of point-to-point wireless communication module was tested in underground roadway for different distances, different coal dust concentrations and different humidity environments. The test results show that within 50 m, all communication test results are stable and there is no packet loss; when distance reaches 100 m and the coal dust concentration exceeds 60 mg/m3, packet loss phenomenon begins to occur, and as coal dust concentration increases, the package lost phenomenon intensifies; humidity change has no effect on packet loss, but data transmission accuracy rate decreases when the humidity is high.
Key words:underground wireless communication; electromagnetic wave transmission; coal dust concentration; humidity; electromagnetic loss
收稿日期:2018-07-11;
修回日期:2018-09-28;
责任编辑:胡娴。
基金项目:国家自然科学基金项目(61572019)。
作者简介:赵世萍(1975-),女,吉林长春人,副教授,硕士,主要研究方向为数据处理与分析,E-mail:zhaoshipingnuc@sina.com。
引用格式:赵世萍,孙秀玲,阚晓婷.井下煤尘浓度和湿度对电磁波传输的影响研究[J].工矿自动化,2018,44(11):37-41.
ZHAO Shiping, SUN Xiuling, KAN Xiaoting. Research on influence of underground coal dust concentration and humidity on electromagnetic waves transmission[J].Industry and Mine Automation,2018,44(11):37-41.
文章编号:1671-251X(2018)11-0037-05
DOI:10.13272/j.issn.1671-251x.2018070031
由于井下环境随着开采层的推进而变化,不同矿区有不同的巷道结构,所以井下主要采用无线通信方式[1-2]。无线通信技术包括无线局域网、无线射频识别(Radio Frequency Identification, RFID)、ZigBee、超宽带(Ultra Wideband,UWB)及蓝牙等,这些技术在地面环境中的应用已非常成熟,但在封闭、潮湿、煤尘浓度很高的井下应用存在一定局限性[3-5]。掌握井下环境参数对无线通信能力的影响是合理安排节点距离分布、设置安全工作条件等的重要技术支撑。
井下环境参数对无线通信的影响实际上是对电磁波传输的影响,影响因素包括巷道尺寸及结构、巷道中煤尘浓度及粒子直径、空气湿度等[6-7]。由于巷道两壁一般为非平面,形状不规则,所以巷道尺寸参数主要取直径[8]。巷道直径非常容易获得,并且是固定参数,因此,在井下实时监测与通信中,影响电磁波传输距离及稳定性的主要是煤尘浓度和空气湿度[9-11]。本文主要对这2个参数进行建模分析,通过测试量化分析参数变化对通信距离及稳定性的影响规律,为保障井下有效通信提供技术支持。
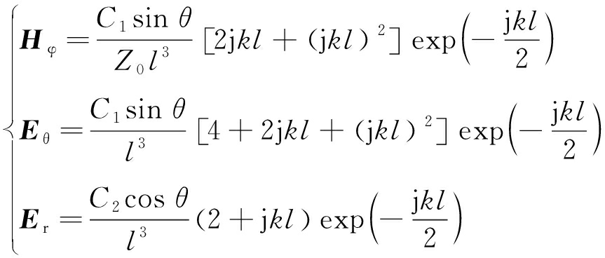
煤尘主要影响电磁波的吸收与散射,使巷道中传输的无线电波受到干扰[12]。本文重点讨论基于RFID技术的无线通信效果,在井下常用的特高频(Ultra High Frequency,UHF)波段[13]完成通信,井下煤尘粒径在0.2~10.0 μm内,故煤尘粒径l远小于波长λ,符合瑞利散射条件。散射函数为

(1)
式中:Hφ为时间变量的矢量函数;Eθ和Er为极坐标条件下的空间坐标矢量函数;C1和C2为常系数,C2=4C1;θ为极坐标的旋转角;Z0为电磁波阻抗;k为波数,k=2π/λ。
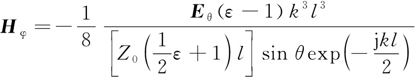
井下无线传输距离一般为十几米到几十米,可认为属于远场范围。设环境介电常数为ε,则有

(2)
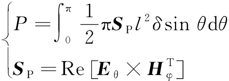
将Poynting矢量SP在[0,π]内积分,可求得煤尘颗粒的散射功率P:

(3)
式中δ为煤尘颗粒的总衰减截面。
在井下无线通信过程中,巷道截面积变化不大,设为A,则煤尘颗粒的散射截面和吸收截面可表示为
(4)
式中L=1 m。
煤尘颗粒的总衰减截面为
δ=δs+δx
(5)
设煤尘浓度为c,则单位体积(AL)中煤尘颗粒数Q为
Q=ALc
(6)
煤尘对电磁波的吸收与散射为
![]()
(7)
式中K为常系数,K=4 343。
通过式(4)可知,煤尘颗粒的吸收截面远大于散射截面,故影响井下无线通信能力的主要是煤尘的吸收效应。并且,当巷道尺寸固定时,井下电磁波传输主要受煤尘粒径和浓度的影响。
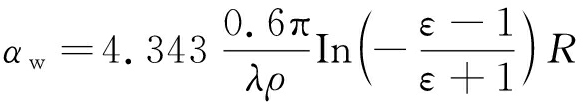
井下环境的湿度往往很高,甚至是饱和湿度,所以必须考虑巷道中水蒸气对电磁波的吸收。水蒸气的凝结雾滴尺寸在0.1~10.0 μm量级,故同样符合瑞利散射条件,单位体积内水蒸气对电磁波的吸收为
(8)
式中:ρ为水蒸气分子密度;R为空气相对湿度。
井下常用无线通信设备的使用频率主要介于1.0~3.0 GHz之间,2.4 GHz较为典型,故设定频率范围为1.0~3.0 GHz。煤尘微粒浓度原则上应低于10 mg/m3,但该数值表示总量,实际上采煤工作面某时刻的浓度要高很多,故设定浓度范围为0.1~100.0 mg/m3。对不同浓度与频率下的电磁损耗进行仿真,结果如图1所示。

图1 不同浓度与频率下的电磁损耗
Fig.1 Electromagnetic loss at different
concentrations and frequencies
从图1可知,煤尘浓度对电磁波传输的影响很明显,从0.1 mg/m3到100.0 mg/m3的变化过程中,衰减增大了约3个数量级,可见其干扰程度显著。除此之外,工作频率对衰减也有一定影响,但实际应用时该参数在选定后通常不会变化,可认为是常系数。
设置空气相对湿度为0~100%,对不同湿度与频率下的电磁损耗进行仿真,结果如图2所示。

图2 不同湿度与频率下的电磁损耗
Fig.2 Electromagnetic loss at different
humidity and frequencies
电磁波衰减与电磁波频率、作用距离均有关系,在以上2个因素固定的条件下,湿度从0提高到100%时,电磁波衰减将增强约2个数量级。但湿度对电磁波衰减的影响明显小于煤尘浓度,因为其整体衰减强度与浓度影响相比要小很多,在2.4 GHz位置上,衰减量最大值为1.257×10-9dB/m,比该频率位置上受浓度影响的衰减量最小值8.761×10-9dB/m还要小约1个数量级。
综合分析可知,井下煤尘浓度是电磁波通信衰减的主要影响因素。根据仿真数据可计算出当前环境的安全通信距离及信噪比,为井下有效通信提供技术支持。
在某矿井停止作业的巷道中进行无线通信测试,由于是刚结束开采作业,所以环境特性与正在开采时相近。采用ZigBee无线通信模块(频率为2.4 GHz)完成数据传输,煤尘浓度标定采用JCF-DQA型粉尘检测仪,湿度标定采用HT1292型湿度计。
测试过程中先关闭喷水降尘系统,通过JCF-DQA型粉尘检测仪确定煤尘浓度值,当煤尘浓度按照既定设置变化时,打开喷水降尘系统,当湿度达到预定要求时关闭系统,进行通信测试。煤尘浓度与湿度的设定值是分别测试获取的,而不是在环境中同时直接测量的。实际应用过程中,喷水降尘系统用于降低煤尘对矿工危害、防止爆燃等,所以,本测试也是针对实际情况进行的。
对2个ZigBee无线通信模块进行测试分析,在不同测试距离上每次发送100个数据包,观察是否能收到数据包及数据是否正确。记录通信数据的完整性、准确性及是否存在掉包的现象。测试数据见表1。其中掉包率计算公式:接收数据包数/发送数据包数×100%;正确率计算公式:接收数据包中正确码值总数/发送数据包中正确码值总数×100%。
由表1中数据可知,距离在50 m内时,即使湿度与煤尘浓度均有较大变化,依旧能保证较好的通信能力,掉包率为0,正确率为100%。而当距离为100 m时,煤尘浓度超过60 mg/m3时开始出现掉包现象,随着浓度增大,掉包现象加剧。湿度变化对掉包现象的影响在本次100个点对点数据包通信测试中没有体现,但其对数据传输的正确率有一定影响。当湿度较大时,数据传输正确率有所下降。分析认为,湿度增大导致电磁传播损耗增大,变相降低了信号强度,削弱了系统信噪比,所以通信过程中可能导致部分信号失真,而其衰减强度较低,故没有产生掉包现象。
表1 井下煤尘浓度和湿度对无线通信质量的影响
Table 1 Influence of underground coal dust concentration
and humidity on wireless communication quality

另外,随着煤尘浓度增大,电磁波能量存在明显的衰减趋势,当浓度从10 mg/m3增大至100 mg/m3时,功率损耗增大约1个数量级(根据距离与湿度条件不同略有差异)。由此可见,煤尘浓度增大会导致通信效能降低,而湿度增大虽然对传输能量的衰减作用不大,但对信号具有一定的干扰作用。
由实际测试结果可以看出,煤尘浓度与湿度对电磁波通信的影响与仿真分析结果基本一致。
对煤尘浓度与湿度对井下无线通信的影响进行了理论分析、仿真计算与测试。结果表明,煤尘浓度的变化对基于电磁波的无线通信具有明显的衰减效果,损耗强度随着浓度的增大而增大;随着煤尘浓度和距离的增加,会出现掉包现象;湿度增大对传输能量的衰减作用不大,不会导致掉包现象,但对信号具有一定的干扰作用;随着湿度增大,数据传输中会出现错误数据,导致正确率下降。
参考文献:
[1] 覃海明,吴燕清,肖勇.煤矿井下远程灾区侦测系统研制[J].煤矿安全,2015,46(11):111-113.
QIN Haiming,WU Yanqing,XIAO Yong.Development of long-distance detection system for underground disaster area[J].Safety in Coal Mines,2015,46(11):111-113.
[2] 李术才,李凯,翟明华,等.矿井地面-井下电性源瞬变电磁探测响应规律分析[J].煤炭学报,2016,41(8):2024-2032.
LI Shucai,LI Kai,ZHAI Minghua,et al.Analysis of grounded transient electromagnetic with surface-tunnel configuration in mining[J].Journal of China Coal Society,2016,41(8):2024-2032.
[3] 张妍玮,张记龙.巷道内粉尘对特高频电磁波传播特性的影响[J].煤炭学报,2009,34(11):1554-1557.
ZHANG Yanwei,ZHANG Jilong.Influence of mine dust on propagation characteristic of UHF electromagnetic wave in tunnel[J].Journal of China Coal Society,2009,34(11):1554-1557.
[4] 郑万波,吴燕清.矿山应急救援指挥综合通信系统设计[J].工矿自动化,2016,42(3):84-86.
ZHENG Wanbo,WU Yanqing.Design of integrated communication system of mine emergency rescue command[J].Industry and Mine Automation,2016,42(3):84-86.
[5] 孙建,李莎莎.降低煤矿井下作业场所粉尘浓度研究[J].煤炭与化工,2015,38(12):124-126.
SUN Jian,LI Shasha.Study on reducing dust concentration of mine underground working place[J].Coal and Chemical Industry,2015,38(12):124-126.
[6] 陈汝旭.井下作业场所粉尘浓度降低探究[J].江西煤炭科技,2016(2):36-38.
CHEN Ruxu.Downhole workplace dust concentration decreased inquiry[J].Jiangxi Coal Science & Technology,2016(2):36-38.
[7] 秦涧,谭迎新,王志青,等.管道内障碍物形状对瓦斯爆炸影响的试验研究[J].煤炭科学技术,2012,40(2):60-62.
QIN Jian,TAN Yingxin,WANG Zhiqing,et al.Experiment study on obstacle shape in pipeline affected to gas explosion[J].Coal Science and Technology,2012,40(2):60-62.
[8] 贺正泽,何长明.基于LabVIEW的井下弱磁信号检测系统[J].电子世界,2016(6):71-73.
[9] 余勇,梁华庆,史超,等.邻井距离随钻电磁探测系统的设计与实现[J].计算机测量与控制,2016,24(4):36-38.
YU Yong,LIANG Huaqing,SHI Chao,et al.Design and implementation of electromagnetic detection system for distance of adjacent wells[J].Computer Measurement & Control,2016,24(4):36-38.
[10] 钱建生,李双双,王莹莹.煤矿应急通信保障系统的设计[J].工矿自动化,2012,38(2):5-8.
QIAN Jiansheng,LI Shuangshuang,WANG Yingying.Design of emergency communication security system of coal mine[J].Industry and Mine Automation,2012,38(2):5-8.
[11] 吴佳轶.基于Zigbee的矿用人员定位标识卡[J].通讯世界,2016(16):35-36.
[12] 李杰,周喜.粉尘对UHF频段电磁波传播特性的影响[J].物联网技术,2016,6(4):37-38.
[13] 王福增.煤矿井下电机车巷道环境电磁噪声的研究[J].中北大学学报(自然科学版),2012,33(4):457-461.
WANG Fuzeng.Study on radio noise of electric locomotive roadway in coal mine[J].Journal of North University of China(Natural Science Edition),2012,33(4):457-461.