沈凤龙1,2, 满永奎2, 王建辉2, 边春元2
(1.辽东学院 机械电子工程学院, 辽宁 丹东 118003; 2.东北大学 信息科学与工程学院, 辽宁 沈阳 110004)
摘要:针对现有全阶状态观测器的反馈自适应率PI参数的设计中存在寻找最优解困难的问题,提出了一种基于改进粒子群算法的反馈自适应率PI参数优化算法。首先根据频域方法给出反馈自适应参数的设计准则及影响其参数设计的主要因素;然后将利用设计准则设计好的几组参数值编码后混入随机初始种群,增加初始种群中优良品质个体的数量,提高收敛速度和搜索效率;最后通过编码、初始化种群及参数设置、适应度评价、更新粒子速度和位置得到PI参数最优值。实验结果表明,在斜坡给定0.2,0.6 pu转速时,无论空载启动还是负载运行,采用优化算法得到的PI参数进行速度估算时精度明显高于传统试凑法,能够满足矿井提升机的技术指标要求。
关键词:矿井提升机; 变频调速; 全阶状态观测器; 速度估算; 反馈自适应率; PI参数优化; 改进粒子群优化算法
中图分类号:TD633
文献标志码:A
网络出版地址:http://kns.cnki.net/kcms/detail/32.1627.TP.20180919.1817.003.html
文章编号:1671-251X(2018)10-0065-07 DOI:10.13272/j.issn.1671-251x.2018040062
收稿日期:2018-04-18;
修回日期:2018-08-16;
责任编辑:张强。
基金项目:国家自然科学基金资助项目(60474040)。
作者简介:沈凤龙(1975-),男,黑龙江肇东人,副教授,博士,研究方向为电机控制及电气传动,E-mail:shenlu-2000@126.com。
引用格式:沈凤龙,满永奎,王建辉,等.全阶状态观测器反馈自适应率参数优化[J].工矿自动化,2018,44(10):65-71.SHEN Fenglong, MAN Yongkui, WANG Jianhui,et al.Feedback adaptive rate parameters optimization of full-order state observer[J].Industry and Mine Automation,2018,44(10):65-71.
SHEN Fenglong1,2, MAN Yongkui2, WANG Jianhui2, BIAN Chunyuan2
(1.College of Mechatronic Engineering, Eastern Liaoning University, Dandong 118003, China;2.College of Information Science and Engineering, Northeastern University, Shenyang 110004, China)
Abstract:It is difficult to find the optimal solution in existing design of feedback adaptive rate PI parameters of full-order state observer, a feedback adaptive rate PI parameter optimization algorithm of full-order state observer based on improved particle swarm optimization algorithm was proposed. Firstly, according to frequency domain design method, design criterion of the feedback adaptive rate parameters and the main factors affecting parameter design were given. Then several sets of parameter values designed and encoded by the design criterion were mixed into the random initial population to increase the number of fine individuals in the initial population, so as to improve convergence speed and search efficiency. Finally, the optimal value of PI parameters was obtained by coding, initializing population and parameter setting, fitness evaluating and updating particle velocity and location. The experimental results show that the speed estimation accuracy of PI parameters obtained by the optimization algorithm is obviously better than that of the traditional trial method when the slope is given 0.2 pu and 0.6 pu rotational speed, regardless of no-load startup or load operation,and the accuracy can meet requirements of technical indexes of mine-used hoist.
Key words:mine-used hoist; frequency-conversion speed-regulation; full-order state observer; speed estimation; feedback adaptive rate; PI parameters optimization; modified particle swarm optimization algorithm
采用全数字变频调速技术的现代交流提升机因运行效率高、可靠性强而被广泛应用于现代矿山,其调速系统通过交-直-交变频器对提升电动机进行控制,变频器主电路由进线侧三电平整流器、中间直流电路、电动机侧三电平逆变器构成。调速系统采用矢量控制思想,通过旋转编码器检测电动机的转速信号。但矿井提升机调速系统应用于高温、多粉尘的环境,使得旋转编码器的维护和更换变得很困难,同时,转速信号在传输过程中容易被干扰,传输距离很有限,而且容易产生传输信号的时间延迟,在此环境下不适合安装旋转编码器[1-3],需要对电动机的转速进行估算。目前电动机转速估算方法主要有两类:一类是基于理想化的电动机模型,通过检测电动机端电流和电压信息来估算电动机的速度[3-8];另一类是基于电动机的非理想特性来检测电动机转子位置和速度或者转子磁链的位置。 全阶状态观测器估算方法属于第一类,回避了纯积分问题,保证了参考模型的准确性,在全速度域的稳定性和动态特性较好,降低了对电动机参数的敏感性[9-12]。在全阶状态观测器转速估算系统中,为保证整个转速估算系统在电动机运行时有较好的动态特性,同时具有较好的抗干扰能力及适当的稳定裕度,设计合理的全阶状态观测器反馈自适应率PI(Proportional-Integral,比例-积分)参数至关重要[13-14]。在实际的转速估算控制系统中,PI参数的设计缺乏系统的理论,对于不同的系统,往往都是利用经验,通过试凑的方法得到,既麻烦,又具有很大的盲目性[5-8]。文献[15]对基于定子磁场定向的全阶状态观测器矢量控制系统中PI调节器参数的设计进行了研究,给出了影响其参数设计的主要因素及参数的设计范围,这对于参数的设计具有重要意义,但是设计的参数之间相互制约,往往得不到最优的设计参数。针对设计中获取最优PI参数困难的问题,本文提出了一种全阶状态观测器反馈自适应率参数优化算法。该算法利用粒子群算法的优化能力,实现了全阶状态观测器反馈自适应率PI参数的离线优化。 与传统试凑法相比,该算法的转速估算精度更高,实验结果验证了该算法的有效性。
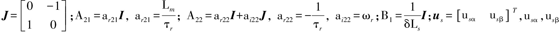
当以定子电流和转子磁链为状态变量时,两相静止坐标系下三相异步电动机的状态方程[14-15]为
(1)
(2)
式中:is为定子电流,
分别为两相静止坐标系直轴和交轴定子电流;ψr为转子磁链,
分别为两相静止坐标系直轴和交轴磁链;
为定子电阻,σ为总漏感系数,
分别为定子电感、转子电感和互感,τr为转子时间常数,
为转子速度,
分别为两相静止坐标系直轴和交轴电压;A为全阶状态观测器的状态矩阵,
为全阶状态观测器的输入矩阵,![]()
全阶状态观测器的实质是基于模型参考自适应(Model Reference Adaptive System,MRAS)的思想,其中参考模型为三相异步电动机本身,可调模型为闭环全阶状态观测器,实际定子电流和观测电流误差作为校正项,原理如图1所示。

图1 全阶状态观测器原理
Fig.1 Principle of full-order state observer
由于电动机的状态方程是完全能观测的,利用电流的估算值
和磁链的估算值
构成状态观测器,根据定子电流的测量值is和估算值
的偏差来修正磁链和观测的速度。因此,当x为状态变量时,三相异步电动机的全阶状态观测器的方程为


(3)
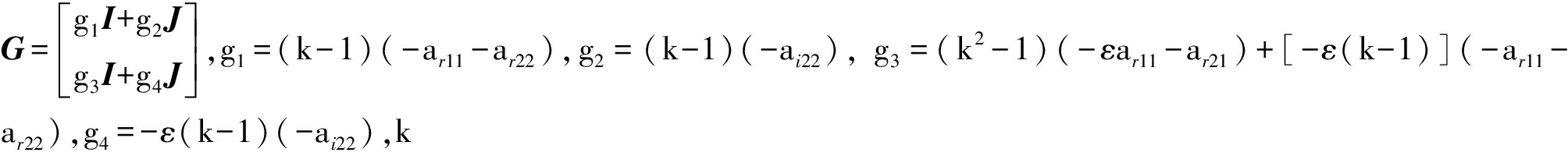
式中:G为全阶状态观测器的反馈增益矩阵,
为常数,
分别为反馈矩阵参数A11,A12,A21,A22的估算值。
基于波波夫超稳定性理论可得电动机估算转速为
![]()
![]()
(4)
式中:kp和ki分别为比例和积分系数。
文献[2]针对基于定子磁场定向的全阶状态观测器矢量控制系统,通过频域分析的方法对全阶状态观测器反馈自适应率参数设计给出了指导。将其分析方法用于基于转子磁场定向的全阶状态观测器矢量控制系统,可得到全阶状态观测器闭环控制系统,如图2所示。

图2 转子磁场定向的全阶状态观测器闭环控制系统
Fig.2 Closed-loop control system of full-order state observer based on rotor-flux oriented control
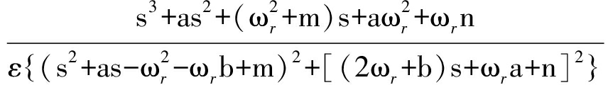
传递函数
可表示为
≅
(5)
式中:a=-g1+Rs/σLs+Rr/σLr;b=-g2-ωr;m=Rr/Lr(-g1+Rs/σLs-g3/ε)+ωr(-g2-g4/ε);n=Rr/Lr(-g2-g4/ε)-ωr(-g1+Rs/σLs-g3/ε)。
如图1所示,该系统为一个双输入、单输出系统,从两方面对整个系统进行理论分析:其一是忽略高频噪声干扰,分析当转速动态变化时控制系统估算转速的跟踪能力;其二是假设给定转速为零,分析当只有电流高频干扰噪声时,控制系统的抗噪声能力[4]。
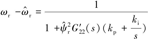
假设噪声扰动为零,由图1可得到转速估算差值与给定值之间的传递函数为

(6)
假设输入信号为斜坡信号,R为斜率,则可得稳态误差为
E=
(7)
可以近似为恒定值,因此,稳态误差由ki决定,且与ki成反比,当积分系数较大时,估算转速的跟踪性能较好。 可求得ki为
(8)
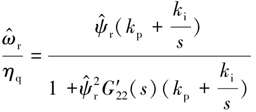
假设转速给定值为零,则此时系统的传递函数为

(9)
式中ηq为扰动输入。
在高频段
可近似为零,因此,式(9)可简化为
≅![]()
(10)
由式(10)可知,当kp较小时,估算系统对电流高频噪声的抑制能力越强。
综合上面2种情况,可得到反馈自适应率设计准则为

(11)
由文献[15]可知,理论上,比例系数kp越小,转速估算系统抗高频电流噪声的能力越强;积分系数ki越大,转速估算系统的稳态误差越小,估算转速的跟踪能力越强。但是,同时文献[15]也指出,并不是kp越小,ki越大,系统的动静态性能越好,而是要保持ki/kp的比值不能太大,否则将使系统稳定性变差。
根据全阶状态观测器反馈自适应率设计准则得到的反馈自适应率PI参数只能对系统中的实际参数值起到一个指导作用,而无法求出各自的最优PI参数。针对该问题,利用改进粒子群算法在自寻优方面的优势,提出了基于改进粒子群算法的PI参数离线优化算法。
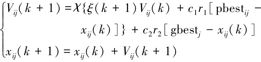
标准粒子群算法速度更新迭代公式为

(12)
式中:xij(k)和Vij(k)分别代表第i个粒子在第k时刻所处的第j维位置分量和速度分量;xij(k+1)和Vij(k+1)分别代表第i个粒子在第k+1时刻所处的第j维位置分量和速度分量;χ为限制因子;c1和c2分别为认知因子和社会因子,ξ为惯性权重;pbestij和gbestj分别为第i个粒子和全局粒子当前所经过的第j维最好位置分量;r1和r2是2个[0,1]区间的随机因子。
由式(12)可知,粒子的搜索速度由3个部分组成,前2个部分描述的是粒子自身因素对搜索能力的影响,其中ξ(k+1)Vij(k)表示粒子当前迭代速度,它主要起到平衡全局搜索和局部搜索的作用,当ξ过大时,可能无法得到最优解,当ξ过小时,粒子可能会陷入局部最优的情况;c1r1[pbestij-xij(k)]是粒子对自身情况的学习,决定粒子的全局搜索能力;c2r2[gbestj-xij(k)]是粒子对群体的认知,是粒子群间的信息共享,决定了粒子的局部搜索能力。
为了提高算法的收敛性和避免算法陷入局部最优,采用了文献[9]提出的限制因子和惯性权重,如式(13)和式(14)所示。
(13)
(14)
式中:φ=c1+c2;λ为目前的迭代次数;λmax为算法设置的最大迭代次数。
将待整定的参数集(κn-1,κn-2,…,κ1)作为粒子在寻优空间位置的坐标p(κn-1,κn-2,…,κ1)。
改进后的粒子搜索速度计算公式如式(15)所示。改进粒子群算法在寻优过程中,既充分发挥了粒子自身的全局搜索能力,又能兼顾群体信息的共享。为了进一步提高算法搜索到最优解的概率和群体的搜索效率,在初始化种群上进行改进,主要根据频域法整定的PI参数值和范围设计几组PI参数,编码后混入随机初始种群。由于这些参数的选取是在一定理论分析指导下进行的,所以,参数的选取避免了盲目性,使得初始种群中优良品质个体的数量大大增加,可以提高收敛速度和搜索效率。

(15)
采用基于给定部分初始种群的改进粒子群算法对反馈自适应率参数进行优化,具体实现步骤如下:
(1) 将待整定的PI参数(kp,ki)作为粒子在寻优空间的位置坐标p(kp,ki)。为了减小初始化种群所代表参数取值的盲目性,根据PI参数设计准则(式(11))进行计算,得到ki和kp,并折中选取二者的值,以保证速度估算系统具有一定的稳定裕度。取计算得到的参数值的0.1~10倍之间的随机数,初始种群的大小选为50,最大迭代次数选为100。限制因子χ=0.73,惯性权重最大值ξmax=0.9,惯性权重最小值ξmin=0.4,认知因子和社会因子分别取c1=2.0,c2=2.3。
(2) 适应度函数的选取。适应度函数为给定转速及估算转速差值的积分函数,即为
其中ts为优化时间。
(3) 计算出每个粒子的适应度值并进行排序,确定局部最优和全局最优。
(4) 根据式(15)更新当前每个粒子的速度和位置。
(5) 判断是否达到结束条件,如未达到结束条件,则返回步骤(3),直到满足终止条件,得到kp和ki的值。
反馈自适应率参数优化终止条件为
和N分别为设定电动机转速和采样次数。改进粒子群算法的流程如图3所示。

图3 改进粒子群算法流程
Fig.3 Flow of improved particle swarm optimization algorithm
将优化得到的PI参数和传统试凑法得到的PI参数分别应用于转速估算系统进行实验,以检验所提优化算法的有效性和实用性。实验条件:开关频率fs=3 kHz ,直流母线电压Udc=600 V ,感应电动机采用三角形连接方式,采用直流电动机作为负载。分别利用本文提出的优化算法得到的PI参数和文献[1]计算得到的PI参数(得到初步参数后试凑,以下简称试凑法)进行转速估算实验,实验结果如图4—图7所示。图4中感应电动机空载启动,0时刻转速斜坡给定0.2 pu,1 s之后感应电动机转速稳定。由图4可知,利用本文提出的优化算法得到的感应电动机的估算转速动态特性明显好于试凑法计算得到的估算转速,误差约为1.5 r/min,而试凑法计算得到的估算误差约为7.5 r/min。当转速稳定后,给感应电动机加载0.2 pu的负载,感应电动机的估算转速如图5所示。由图5可知,利用本文提出的优化算法得到的感应电动机的估算转速更准确,更接近于实际转速,误差约为2.5 r/min,利用试凑法计算得到的估算转速误差较大,约为15 r/min。将给定转速增加到0.6 pu,图6、图7 分别为感应电动机空载启动和稳定运行后带0.2 pu负载时2组PI参数下对应的估算转速波形,采用本文提出的优化算法得到的PI参数时,转速估算误差很小,空载时误差约为3 r/min,负载时误差约为15 r/min,而利用试凑法计算的PI参数时,转速估算误差均增大,空载时稳态误差约为10 r/min,负载时误差约为45 r/min。

(a) 优化算法估算转速波形

(b) 试凑法估算转速波形
图4 给定转速为0.2 pu空载启动时2种算法的估算转速波形
Fig.4 Estimation speed waveform of the two algorithms of induction motor with 0.2 pu reference speed when no-load startup

(a) 优化算法估算转速波形

(b) 试凑法估算转速波形
图5 感应电动机加0.2 pu 负载时2种算法的估算转速波形
Fig.5 Estimation speed waveform of the two algorithms of induction motor with 0.2 pu load

(a) 优化算法估算转速波形

(b) 试凑法估算转速波形
图6 给定转速为0.6 pu空载启动时2种算法的估算转速波形
Fig.6 Estimation speed waveform of the two algorithms of induction motor with 0.6 pu reference speed when no-load startup

(a) 优化算法估算转速波形

(b) 试凑法估算转速波形
图7 感应电动机加0.6 pu 负载时2种算法的估算转速波形
Fig.7 Estimation speed waveform of the two algorithms of induction motor with 0.6 pu load
(1) 基于改进粒子群算法的反馈自适应率PI参数优化算法利用粒子群算法的优化能力,实现了全阶状态观测器反馈自适应率PI参数的离线优化,可以得到最优PI参数。
(2) 将通过优化算法得到的PI参数和传统试凑法得到的PI参数用于基于全阶状态观测器的转速估算系统,前者具有更高的转速估算精度。斜坡给定为0.2,0.6 pu转速时,无论空载启动还是负载运行,采用优化算法得到的PI参数进行速度估算时精度明显好于传统试凑方法,能够满足矿井提升机的技术指标要求,使矿井提升机能够适应恶劣的使用环境。
参考文献(References):
[1] QU Zengcai, HINKKANEN M. Gain scheduling of a full-order observer for sensorless induction motor drives [J]. IEEE Transactions on Industry Application, 2014, 50(6):3834-3845.
[2] SUN Xiaohui, HAN Zengjin. Model reference adaptive identification of induction motor parameters [C]//Proceeding of the 3rd World Congress on Intelligent Control and Automation, 2000: 3082-3086.
[3] 张永昌,赵争鸣,张颖超,等. 基于全阶观测器的三电平逆变器异步电机无速度传感器矢量控制系统[J].电工技术学报, 2008,23(11):34-40.
ZHANG Yongchang, ZHAO Zhengming,ZHANGYingchao, et al. Sensorless vector control system of induction motor fed by three-level inverter using a full order observer[J]. Transactions of China Electrotechnical Society, 2008,23(11):34-40.
[4] 宋文祥,周杰,朱洪志,等. 基于自适应全阶观测器的感应电机低速发电运行稳定性[J]. 电工技术学报, 2014,29(3):196-205.
SONG Wenxiang, ZHOU Jie, ZHU Hongzhi, et al . Regenerating-mode stabilization of induction motors based on adaptive full-order observer [J]. Transactions of China Electrotechnical Society, 2014, 29(3):196-205.
[5] 滕青芳,柏建勇,朱建国,等. 基于滑模模型参考自适应观测器的无速度传感器三相永磁同步电机模型预测转矩控制[J]. 控制理论与应用, 2015,32(2):150-161.
TENG Qingfang, BAI Jianyong, ZHU Jianguo,et al. Sensorless model predictive torque control using sliding-mode model reference adaptive system observer for permanent magnet synchronous motor drive systems[J]. Control Theory & Applications, 2015,32(2):150-161.
[6] 高艳霞,陈静,范应鹏,等.一种用于异步电机无速度传感器控制的自适应滑模观测器[J].电机与控制学报,2017,21(4):8-16.
GAO Yanxia, CHEN Jing, FAN Yingpeng, et al. Adaptive sliding mode observer based sensorless control system of induction motor[J]. Electric Machines and Control,2017,21(4):8-16.
[7] 张虎,张永昌,夏波,等.基于空间矢量调制的感应电机无速度传感器模型预测磁链控制[J].电工技术学报,2017,32(3):97-104.
ZHANG Hu, ZHANG Yongchang, XIA Bo, et al. Speed sensorless model predictive flux control of induction motor drives based on space vector modulation[J]. Transactions of China Electrotechnical Society, 2017,32(3):97-104.
[8] 倪启南,杨明,董翔,等.基于霍尔位置传感器的PMSM转速观测器状态估算误差抑制方法[J].电工技术学报,2017,32(17):189-198.
NI Qinan, YANG Ming, DONG Xiang, et al. State estimation error suppression for PMSM speed observer based on Hall position sensor[J]. Transactions of China Electrotechnical Society, 2017,32(17):189-198.
[9] 王惠民,张颖,葛兴来.基于全阶状态观测器的直线牵引电机励磁电感在线参数辨识[J].中国电机工程学报,2017,37(20):6101-6108.
WANG Huimin, ZHANG Ying, GE Xinglai. On-line parameter identification of linear induction motor magnetizing inductance based on full-order observer[J]. Proceedings of the CSEE, 2017,37(20):6101-6108.
[10] 尹忠刚,张延庆,杜超,等. 基于双辨识参数全阶自适应观测器的感应电机低速性能[J].电工技术学报,2016,31(20):111-121.
YIN Zhonggang, ZHANG Yanqing, DU Chao, et al. Low-speed performance of sensorless vector control for induction motor based on two-parameter identified adaptive full-order observer[J]. Transactions of China Electrotechnical Society, 2016,31(20):111-121.
[11] 郭云珺,王东,刘德志,等. 变频驱动三相感应电机系统稳定性的数学推导与分析[J]. 电工技术学报,2010,25(9):47-55.
GUO Yunjun, WANG Dong, LIU Dezhi, et al. Mathematical deduction and stability analysis of inverter-fed three-phase induction motor drive system[J]. Transactions of China Electrotechnical Society, 2010,25(9):47-55.
[12] 吴文进,苏建徽,刘鹏,等.感应电机全阶磁链观测器设计及其控制性能对比分析[J].电机与控制学报,2016,20(4):78-83.
WU Wenjin, SU Jianhui, LIU Peng, et al. Design of full-order flux observer and comparison analysis for its control performance[J]. Electric Machines and Control, 2016,20(4):78-83.
[13] 肖仁鑫,张海洋,陈峥,等. 交流感应电机串联PI控制及其参数整定方法[J]. 控制工程, 2016,23(6):613-618.
XIAO Renxin, ZHANG Haiyang, CHEN Zheng,et al. Series PI control and parameter tuning for AC induction motor[J]. Control Engineering of China, 2016,23(6):613-618.
[14] KUBOTA H, MATSUSE K, NAKMO T. DSP-based speed adaptive flux observer of induction motor [J]. IEEE Transactions on Industry Applications,1993,29(2):344-348.
[15] SUWANKAWIN S, SANGWONGWANICH S. Design strategy of an adaptive full-order observer for speed-sensorless induction motor drives-tracking performance and stabilization[J]. IEEE Transactions on Industrial Electronics, 2006,53(1):96-119.