王健宇
(国网太原供电公司, 山西 太原 030000)
摘要:针对传统电压跌落检测算法存在不能快速识别不对称电压跌落故障类型及故障相的问题,提出了一种基于对称分量法的dq变换电压检测法。首先利用对称分量法对电压进行分解,将不对称电压分解为各自对称的正序、负序及零序分量,再对分解后的各分量进行同步旋转坐标系dq变换,得到各种故障情况下电压正序、负序和零序的幅值和相位信息,最后对变换后的结果进行重组分析。以发生频率较高的短路故障引起的电压跌落为例,对短路故障电压进行变换与重组,根据重组结果不仅可以识别故障类型,而且可以定位具体故障相。与传统dq电压变换法的仿真比较验证了该方法的准确性与优越性。
关键词:矿井电网; 不对称电压跌落; 电压跌落检测; 短路故障; 对称分量法;dq变换
中图分类号:TD611
文献标志码:A
网络出版地址:http://kns.cnki.net/kcms/detail/32.1627.TP.20180920.0840.001.html
文章编号:1671-251X(2018)10-0054-07 DOI:10.13272/j.issn.1671-251x.2018010011
收稿日期:2018-01-05;
修回日期:2018-04-28;
责任编辑:张强。
作者简介:王健宇(1991-),男,山西太原人,工程师,硕士,研究方向为柔性交流输电技术,E-mail:wangjy_cumt@163.com。
引用格式:王健宇.基于对称分量法的dq变换电压检测法[J].工矿自动化,2018,44(10):54-60.WANG Jianyu.A voltage detection method based ondqtransformation and symmetric component method[J].Industry and Mine Automation,2018,44(10):54-60.
WANG Jianyu
(State Grid Taiyuan Power Supply Company, Taiyuan 030000, China)
Abstract:In view of problem that fault type and phase of asymmetric voltage sag could not be quickly identified by traditional voltage sag detection algorithm, a voltage detection method based ondqtransformation and symmetric component method was proposed. Firstly, the voltage is decomposed by symmetrical component method, and the asymmetrical voltage is decomposed into symmetrical positive, negative and zero sequence components. Then the decomposed components are transformed into synchronous rotating coordinate systemdqto obtain the amplitude and phase information of positive, negative sequence and zero sequence components of voltage components under various faults. Finally, the results of the transformation are reorganized. Taking voltage sag caused by short circuit fault with high frequency as an example, the short circuit fault voltage is transformed and reorganized. According to the recombination results, not only the fault type can be identified, but also the specific fault phase can be located. The simulation comparison with the traditionaldqvoltage transformation method verifies accuracy and superiority of the method.
Key words:mine power system; asymmetrical voltage sag; voltage sag detection; short circuit fault; symmetric component method;dqtransformation
在矿山电力系统的各种电能质量问题中,电压跌落发生的概率最高,会带来不同程度的经济损失[1],因此,如何减小电压跌落对用户带来的影响已经成为电能质量优化工作的突出问题[2]。
电压跌落主要是由电网短路故障或电动机启动引起的,两者引起的电压跌落又有较大的差别。其中电动机启动引起的跌落深度较浅,影响范围相对较小[3]。而在配电系统中短路故障产生的原因复杂,故障类型多变,其保护方式也以电流保护为主,但是电流保护方式存在切除故障线路延时的问题[4],再者短路故障中的单相接地短路故障、两相接地短路故障和相间短路故障极易引起电压幅值不对称跌落以及随之的相位跳变。因此,就短路故障而言,对故障的定位和具体故障相的识别具有实际意义。
电压跌落有多种检测算法,文献[5-6]通过小波变换准确定位突变的奇异点,从而快速检测出电压跌落的起止时刻。文献[7]借助Hilbert-Huang变换提取电压跌落幅值的包络信号,然后通过瞬时频率差分曲线判断电压跌落的起止时刻。文献[8-10]分别通过三相和单相电压幅值和相位,利用dq变换法检测跌落的电压信号。文献[11]通过对任意交流信号的三次数字采样的处理计算实现电网电压的瞬时快速检测,但谐波成分较大,并且含有噪声。文献[12]利用最小方差滤波算法提取跌落电压的信号幅值和相位信息,但没考虑谐波的分离。上述方法主要研究电压对称跌落检测的响应速度和准确度,对于不对称电压跌落检测具有一定的局限性。文献[13]提出了适用于不平衡负荷的基于跌落前负荷电压的最小能量补偿策略,文献[14]提出了一种在三相负荷完全对称情况下,通过求取不对称电压暂降的有效补偿域,实现了不受故障类型影响的通用补偿策略。上述2种方法都是从补偿的角度处理不平衡问题。文献[15]提出利用电压dq变换后的结果加形态滤波器来处理电压畸变和不平衡的问题,但是仿真中并未对不对称的情况进行分析验证。文献[16]通过微分运算实现电网电压的正负序分离,借助正序的dq变换消除负序分量的干扰,而对负序分量没有处理利用,在一定程度上影响了检测的准确性。
对称分量法通过将不对称的电网电压分解为各自对称的正序、负序及零序分量,可有效处理电压不平衡跌落问题[17]。文献[18]验证了dq变换法在电压没有畸变且不对称跌落条件下的实时检测和补偿应用中的合理性。本文针对传统电压跌落检测算法存在不能快速识别不对称电压跌落故障类型及故障相的问题,结合对称分量法和dq变换法的优点,提出了一种基于对称分量法的dq变换电压检测法,以短路故障为切入点进行分析和验证,证明了该方法的正确性,并与其他检测方法进行比较,进一步说明此方法的优越性。
在三相电压不平衡的情况下,如果只考虑电网的基波分量,则三相电网电压分量U=[ua ub uc](ua,ub,uc为三相电压)可以分解为正序基波分量U1=[u1a u1b u1c]、负序基波分量U2=[u2a u2b u2c]和零序基波分量U0,即U=U1+U2+U0。其中,对于三相三线制系统,可以忽略零序分量的影响,即U0=0,从而化简为U=U1+U2。
将电网电压分解得到的正序分量U1和负序分量U2分别变换到正向旋转的同步旋转坐标系d1q1和反向旋转的同步旋转坐标系d2q2,其变换关系如图1所示,图中ω为角频率。
1.2.1 正负序电压dq变换
由于正序三相电压对称分布,并且其旋转方向与电网三相电压的旋转方向一样,所以,可以直接采用同步旋转坐标的方法实现正序dq变换。首先将正序三相电压转换到α1β1坐标系中,然后进行α1β1-d1q1变换,其变换关系如下:

图1 正序和负序dq变换关系
Fig.1 Transformation relation between positive and negative sequence voltage

(1)
![]()
(2)
式中:u1α、u1β为正序电压U1在两相垂直静止坐标系上的投影;u1d、u1q为正序电压U1在两相同步旋转坐标系上的投影。
分析图1可知,坐标系d2q2的旋转方向和坐标系d1q1的旋转方向相反,在经过αβ变换后,采用式(3)和式(4)进行负序分量变换。

(3)
![]()
(4)
式中:u2α、u2β为负序电压U2在两相垂直静止坐标系上的投影;u2d、u2q为负序电压U2在两相同步旋转坐标系上的投影。
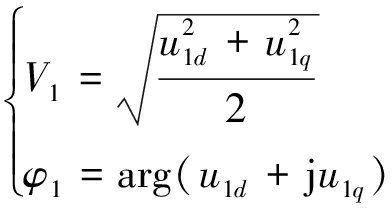
通过瞬时对称分量法将三相电压分解成正序分量、负序分量和零序分量,然后通过式(5)计算正负序电压分量的有效值V1和相位φ1。

(5)
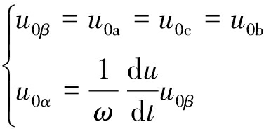
1.2.2 零序分量的无时延dq变换
由对称分量法可知,零序分量的三相电压幅值和相位相等,所以,可以采用求导无时延的单相电压dq变换的方法实现零序dq变换。其实现如式(6)和式(7)所示,然后利用式(5)的计算方法求得零序分量电压幅值和相位跳变的特征量。

(6)
![]()
(7)
式中:u0α、u0β为零序电压U0在两相垂直静止坐标系上的投影;u0d、u0q为零序电压U0在两相同步旋转坐标系上的投影。
通过基于对称分量法的dq变换电压检测法能够分别计算出各种故障情况下正序、负序和零序的幅值和相位信息。由于不同的故障类型及故障相的计算结果不尽相同,不同的故障类型有各自对应的特征量,所以,计算结果信息量大,不能快速分辨故障类型及故障相。通过将对称分量法的dq变换电压检测法的计算结果进行重组,简化故障信息,能够更清晰地分辨不同的故障类型和故障相。
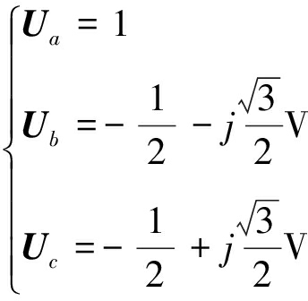
三相电力系统的短路故障主要包括单相接地、两相接地、相间和三相短路故障4种类型。本文对短路故障的分析以星形负载为例,并且电压全部取用标幺值,引入特征量V(V表示每相的电压有效值与基值之比)。以相间(B,C)短路故障的分析为例,其三相电压的表达式如式(8)所示,相量如图2所示。从图2可知,故障的两相发生了相同程度的跌落,而非故障相保持不变。

(8)

图2 B,C相间短路故障前后相量
Fig.2 Phasor diagram of B,C interphase short circuit fault
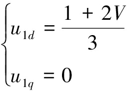
将式(8)通过式(1)—式(4)转换为

(9)

(10)
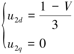
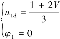
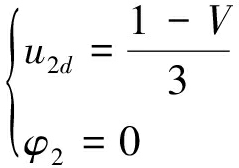
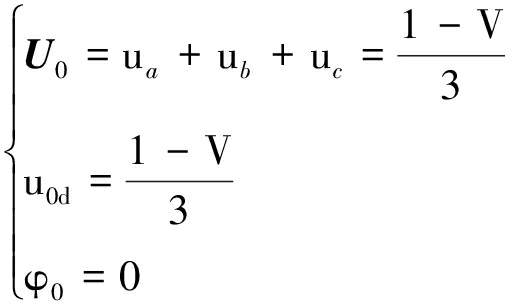
根据式(5)、式(9)、式(10)可计算得到B,C相间短路故障情况下的正负序电压的有效值u1d,u2d和相位特征量φ1,φ2(式(11)和式(12)),根据式(6)和式(7)可计算得到零序分量有效值u0d和相位特征量φ0(式(13))。

(11)

(12)

(13)
基于上述分析,可以通过相同的方法得到其他短路故障情况下正负零序电压幅值和相位信息,其结果见表1。u1d+u2d为由正负序有效值构造的检测特征量。通过表1可以看出,不同短路故障类型存在各自对应的特征量,故能够实现故障类型及故障相的识别。
表1 不同短路故障情况下的电压幅值和相位特征量
Table 1 Characteristic values of amplitude and phase under different short fault conditions

通过重组特征量u1d+u2d,可以将表1进一步化简为表2,将重组的特征量和负序相角分量φ2结合可以更清晰地识别故障类型和故障相。
分析表2可得到如下结论:
(1) 根据重组的特征量u1d+u2d的大小可以初步判断出故障类型:若u1d+u2d=0,为三相短路故障;若u1d+u2d=1,为单相接地故障或相间短路故障,然后再根据负序的相角分量φ2进一步区分出是单相故障或相间故障;若0<u1d+u2d<1,为两相接地短路故障。
(2) 在经过第1步的故障类型归类后,在各个故障类型下,依据负序相角分量φ2的大小可以判别出具体哪相(或相间)发生故障。
表2 不同短路故障情况下的特征量u1d+u2d和φ2
Table 2 Characteristics values ofu1d+u2dandφ2under different short fault conditions

基于上述分析,借助Matlab搭建检测仿真模型,仿真中显示的电压都是标幺值,故障区间为0.50~0.65 s。
基于对称分量法的dq电压检测法在各种短路故障下的仿真波形如图3—图6所示。从图3可看出,正负分量电压u1d=0.66,u2d=0.33,u1d+u2d=0.99≈1,符合单相故障的有效值的理论计算结果,负序相角分量=-60°,从而判断出是B相发生接地短路故障。图4中,正负分量电压u1d=0.33,u2d=0.33,u1d+u2d=0.66,负序相角分量=-60°,判断故障为A,B相发生接地短路故障。图5中,正负分量电压u1d=0.5,u2d=0.5,u1d+u2d=1,负序相角分量=-60°,判断故障为A,C相发生相间短路故障。图6中,正负分量电压u1d=0,u2d=0,u1d+u2d=0,负序相角分量=0°,判断故障为三相发生短路故障。



图3 基于对称分量法的dq变换电压检测法在B相发生接地短路故障时的检测结果
Fig.3 Test results of voltage detection method based ondqtransformation and symmetric component method for B phase grounding short circuit fault



图4 基于对称分量法的dq变换电压检测法在A,B相发生接地短路故障时的检测结果
Fig.4 Test results of voltage detection method based ondqtransformation and symmetric component method for A and B phase grounding short circuit fault



图5 基于对称分量法的dq变换电压检测法在A,C相发生相间短路故障时的检测结果
Fig.5 Test results of voltage detection method based ondqtransformation and symmetric component method for A and C phase-to-phase short-circuit fault



图6 基于对称分量法的dq变换电压检测法在A,B,C三相发生短路故障时的检测结果
Fig.6 Test results of voltage detection method based ondqtransformation and symmetric component method for A,B,C three phases grounding short-circuit fault
图7—图10为相应4种故障情况下采用dq电压变换法的检测波形。图7中,B相发生接地短路故障,ud=0.71,uq=0.28。图8中,A,B相发生接地短路故障,ud=0.33,uq=0.16。图9中,A,C相发生相间短路故障,ud=0.61,uq=0.39。图10中,发生三相短路故障,ud=0,uq=0。可以看出,除图10三相短路故障以外,从其余3张图中只能判断出电压值发生跌落并且伴随相位的变化,且变化的分界线并不能清楚地区分和识别故障类型以及定位故障相。通过分析比较可知,基于对称分量法的dq变换电压检测法相较于dq电压变换法有更明显的检测识别定位故障信息的功能。


图7dq电压变换法在B相发生接地短路故障时的检测结果
Fig.7 Test results ofdqvoltage transformation method for B phase grounding short circuit fault


图8dq电压变换法在A,B相发生接地短路故障时的检测结果
Fig.8 Test results ofdqvoltage transformation method forA and B phase grounding short circuit fault


图9dq电压变换法在A,C相发生相间短路故障时的检测结果
Fig.9 Test results ofdqvoltage transformation method for A and C phase-to-phase short-circuit fault


图10dq电压变换法在A,B,C三相发生短路故障时的检测结果
Fig.10 Test results ofdqvoltage transformation method for three phases grounding short-circuit fault
基于对称分量法的dq电压检测法首先利用对称分量法对电压进行分解,将不对称电压分解为各自对称的正序、负序及零序分量,再对分解后的各分量进行同步旋转坐标系dq变换,变换后得到各种故障情况下正序、负序和零序的电压幅值和相位信息。以发生频率较高的短路故障引起的电压跌落为例,对短路故障电压进行变换与重组,利用重组结果不仅可以识别故障类型,而且可以定位具体故障相。通过与传统dq电压变换法的仿真比较,验证了该检测方法的准确性与优越性。
参考文献(References):
[1] AGUILAR D,ROLA
N A,VAZQUEZ G,et al.Symmetrical and unsymmetrical voltage sag effects on the three-phase synchronous machine stability[C]// IEEE European Conference on Power Electronics and Applications,2009:1-7.
[2] 克长宾,李永丽.动态电压恢复器的电压跌落综合补偿策略研究[J].电力系统保护与控制,2012,40(17):94-99.
KE Changbin,LI Yongli.Study on voltage sags compensation strategy for dynamic voltage restorer[J].Power System Protection & Control,2012,40(17):94-99.
[3] SILVA S M,FILHO B J C.Component-minimized voltage sag compensators[C]// IEEE Industry Applications Conference,2002:883-889.
[4] 陈国栋.动态电压恢复器电压跌落检测算法与控制技术综述[J].电气工程学报,2015,10(5):20-33.
CHEN Guodong.A survey on detection and control of dynamic voltage restorer[J].Journal of Electrical Engineering,2015,10(5):20-33.
[5] 任子晖,刘昊岳,徐进霞.基于小波变换和改进Prony方法的电能质量扰动分析[J].电力系统保护与控制,2016,44(9):122-128.
REN Zihui,LIU Haoyue,XU Jinxia.Power quality disturbance analysis based on wavelet transform and improved Prony method[J].Power System Protection & Control,2016,44(9):122-128.
[6] MISHRA M,ROUT P K,PATEL S.A novel islanding detection technique based on wavelet packet transform[C]//Power,Communication and Information Technology Conference,2016:697-702.
[7] YANG L,YU J,LAI Y.Disturbance source identification of voltage sags based on Hilbert-Huang transform[C]//Power and Energy Engineering Conference, 2010:1-4.
[8] 李占凯,王景芹,张福民,等.无锁相环的电压跌落快速检测方法[J].高电压技术,2016,42(4):1326-1335.
LI Zhankai,WANG Jingqin,ZHANG Fumin,et al.Rapid detection method for voltage sag without phase locked loop[J].High Voltage Engineering,2016,42(4):1326-1335.
[9] 罗劲松,王金梅,张小娥.基于dq锁相环的改进型光伏电站并网点电压跌落检测方法研究[J].电测与仪表,2014(5):51-55.
LUO Jinsong,WANG Jinmei,ZHANG Xiao'e.Research on improved grid-connected point voltage sag detection method of photovoltaic power station based ondq-PLL[J].Electrical Measurement & Instrumentation,2014(5):51-55.
[10] FAN Z,LIU X.A novel universal grid voltage sag detection algorithm[C]//IEEE Power Engineering and Automation Conference,2012:1-4.
[11] 吴浩伟,周樑,孙朝晖,等.电力系统短路故障快速检测方案研究[J].电力系统保护与控制,2010,38(24):88-92.
WU Haowei,ZHOU Liang,SUN Zhaohui,et al.Study on fast detecting scheme of power system short-circuit fault[J].Power System Protection & Control,2010,38(24):88-92.
[12] BADRKHANI A F,AFSHARNIA S,KAHROBAEIAN A,et al.A Fast and effective control scheme for the dynamic voltage restorer[J].IEEE Transactions on Power Delivery,2011,26(4):2398-2406.
[13] 孙哲,郭春林,肖湘宁,等.基于负荷电压的DVR补偿策略分析方法及最小能量控制[J].中国电机工程学报,2010,30(31):43-49.
SUN Zhe,GUO Chunlin,XIAO Xiangning,et al.Analysis method of DVR compensation strategy based on load voltage and minimum energy control[J].Proceedings of the CSEE,2010,30(31):43-49.
[14] 魏小淤,杨洪耕.补偿约束下动态电压恢复器不对称电压暂降补偿方法[J].电网技术,2011,35(2):78-83.
WEI Xiaoyu,YANG Honggeng.A method to compensate asymmetrical voltage sag of dynamic voltage restorer under constraint of compensation voltage injection[J].Power System Technology,2011,35(2):78-83.
[15] 冯小明,杨仁刚.动态电压恢复器的形态学-dq变换综合检测算法[J].中国电机工程学报,2004,24(11):193-198.
FENG Xiaoming,YANG Rengang.Novel integrated morphology-dqtransformation detection algorithm for dynamic voltage restorer[J].Proceedings of the CSEE,2004,24(11):193-198.
[16] 杨新华,郭志成.动态电压恢复器电压跌落检测[J].低压电器,2011(5):51-54.
YANG Xinhua,GUO Zhicheng.Voltage sag detection in dynamic voltage restorer[J].Low Voltage Apparatus,2011(5):51-54.
[17] MAREI M I,EL-SAADANY E F,SALAMA M M A.A new approach to control DVR based on symmetrical components estimation[J].IEEE Transactions on Power Delivery,2007,22(4):2017-2024.
[18] 罗超,陶顺,肖湘宁.dq变换用于电压暂降瞬时检测的合理性分析[J].电工电能新技术,2014,33(3):66-70.
LUO Chao,TAO Shun,XIAO Xiangning.Rationality analysis ofdqtransform applied for instantaneous detection of voltage dip[J].Advanced Technology of Electrical Engineering & Energy,2014,33(3):66-70.