路绪良, 闫海峰, 张霖
(中国矿业大学 机电工程学院, 江苏 徐州 221116)
摘要:针对现有液压支架正向运动学分析方法无法精确感知顶梁姿态的问题,提出了一种液压支架逆向运动学分析方法。采用SolidWorks软件及其Motion模块建立液压支架三维模型和Motion模型,通过解析液压支架动作来获取Motion数据库,采用三次多项式曲线拟合液压支架各驱动部件运动方程;采用粒子群优化算法优化驱动部件运动方程,得出最优拟合方程,从而得出液压支架最优运动轨迹。试验结果表明,该方法能够准确得出液压支架各驱动部件的运动轨迹,所得结果与实际运动曲线相符。
关键词:液压支架; 逆向运动学; 顶梁姿态; 驱动部件; 运动轨迹优化; 运动方程拟合; 粒子群优化算法
中图分类号:TD355.4
文献标志码:A
网络出版地址:http://kns.cnki.net/kcms/detail/32.1627.TP.20180914.0954.003.html
文章编号:1671-251X(2018)10-0043-05 DOI:10.13272/j.issn.1671-251x.2018030011
收稿日期:2018-03-05;
修回日期:2018-09-07;
责任编辑:李明。
基金项目:国家自然科学基金联合基金资助项目(U1510117)。
作者简介:路绪良(1991-),男,河南商丘人,硕士研究生,主要研究方向为机器人运动学仿真和机电装备智能控制,E-mail:378638782@qq.com。
引用格式:路绪良,闫海峰,张霖.液压支架逆向运动学分析[J].工矿自动化,2018,44(10):43-47.LU Xuliang, YAN Haifeng, ZHANG Lin. Inverse kinematics analysis of hydraulic support[J].Industry and Mine Automation,2018,44(10):43-47.
LU Xuliang, YAN Haifeng, ZHANG Lin
(School of Mechatronic Engineering, China University of Mining and Technology, Xuzhou 221116, China)
Abstract:For problem that existing forward kinematics analysis methods of hydraulic support could not predict attitude of top beam accurately, an inverse kinematics analysis method of hydraulic support was put forward. 3D model and Motion model of hydraulic support were built by use of SolidWorks software and its Motion module. Motion database was obtained by analyzing motion of hydraulic support, and motion equation of each driving part in hydraulic support was fitted by use of cubic polynomial curve. Then the motion equations were optimized by use of particle swarm optimization algorithm to get the optimal motion equations, so as to obtain the optimal motion tracks of hydraulic support. The test result shows that the method can get motion track of each driving part of hydraulic support correctly, and the result is consistent with the actual one.
Key words:hydraulic support; inverse kinematics; attitude of top beam; driving part; motion track optimization; motion equation fitting; particle swarm optimization algorithm
液压支架是煤炭生产中重要的支护设备,其自动化和智能化水平直接影响整个综采工作面的安全生产和开采效率[1]。在液压支架与围岩耦合作用等复杂的采煤工况下,其运动控制始终都是非常复杂的技术问题,为了实现综采无人化,需要实现多支架联动。为此,许多学者对液压支架运动学进行了研究。曾庆良等[2]利用Adams建立了液压支架多刚体正向运动学仿真模型,研究其运动特性。王洪伟等[3]基于拉格朗日方法建立了液压支架运动微分方程,得出支架升降过程中顶梁等部件的运动速度及加速度变化特性。杨磊等[4]通过建立以后连杆为自变量的反四连杆机构液压支架运动学分析模型,得出顶梁的运动轨迹为六阶代数曲线的结论。上述研究均采用正向运动学分析方法,在一定程度上能够感知顶梁的姿态。但由于液压支架是以立柱和平衡千斤顶为驱动部件的带2个自由度输入的耦合多连杆机构,采用支架正向运动学分析方法无法精确感知顶梁姿态。鉴此,笔者对液压支架进行逆向运动学分析,通过分析顶梁姿态,逆向求解驱动部件状态,建立驱动部件与顶梁姿态的一一映射关系。在液压支架实际工作中可根据该映射关系控制驱动部件,使顶梁姿态满足要求。
本文以ZY10000/27/56D型液压支架为研究对象,其主要由底座、前后连杆、立柱、掩护梁、顶梁、平衡千斤顶等组成[5-6]。在参数化三维实体虚拟原型机仿真工具SolidWorks中建立液压支架三维实体模型,在Motion模块中建立Motion模型,如图1所示。根据液压支架各部件的结构形状与尺寸建立三维模型[7];通过依次添加线性马达、引力矢量、力约束建立Motion模型。

图1 液压支架三维模型及Motion模型
Fig.1 3D model and Motion model of hydraulic support
设液压支架Motion模型中给定平面有序数据为X={xi},xi为第i个数据,i=1,2,…,n,n为数据个数,本文取n=500,则X的拟合方程为
(1)
式中:aj为方程系数;m为方程系数个数。
设
为拟合方程上对应xi的点,则拟合方程的误差平方和为
(2)
采用粒子群优化算法[8-11]对拟合方程参数进行优化,使拟合方程的误差平方和SSE最小,则相应的拟合方程为最优拟合方程。
本文采用三次多项式曲线拟合液压支架运动方程[12-13]。以液压支架位移拟合方程为例说明拟合过程。设液压支架位移方程为
y(t)=a0+a1t+a2t2+a3t3
(3)
式中t为时间。
液压支架速度方程为
(4)
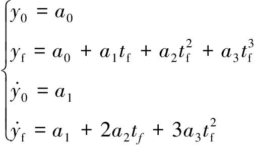
由液压支架运动的起始位移y0和终点位移yf可得到y(t)的2个位置约束条件:
y(0)=y0
(5)
y(tf)=yf
(6)
式中tf为液压支架运动终点时刻。
由于液压支架在工作过程中运动较缓慢,刚性冲击非常小,可忽略不计,所以不考虑加速度因素,只考虑速度因素。液压支架速度约束条件为
(7)
(8)
将式(5)—式(8)分别带入式(3)、式(4),得

(9)
由此可以确定a0—a3,继而得出液压支架位移拟合方程。
液压支架D-H坐标系统如图2所示。其中x1Oy1为底座坐标系,x2Ay2为连杆坐标系,x3Cy3为掩护梁坐标系,x4Fy4为顶梁坐标系,h为顶梁平升高度,λ1为立柱长度,λ2为平衡千斤顶长度,θ2为后连杆与底座的夹角,θ3为后连杆与掩护梁的夹角,θ4为顶梁与掩护梁的夹角,θ5为后连杆与水平面的夹角,θ6为掩护梁与水平面的夹角。液压支架顶梁平升高度h范围为2 090~4 400 mm。在平升过程中利用逆向运动学理论[14]分析各运动参数变化及参数间对应关系。

图2 液压支架D-H坐标系统
Fig.2 D-H coordinated system of hydraulic support
通过分析建立Motion数据库,见表1,其中含500组数据。
表1 Motion数据库
Table 1 Motion database

设液压支架各部件运动方程为
f(X)=a0+a1X+a2X2+a3X3
(10)
根据式(9)对Motion数据库进行三次多项式拟合,并采用粒子群优化算法对各拟合方程参数进行优化,得出最优拟合方程,相应系数见表2。
设输入的各运动参数误差均为独立正态分布,输出的拟合曲线均在95%置信区间。各运动参数拟合曲线如图3所示。可看出各拟合曲线平滑,拟合效果好。
表2 最优拟合方程对应系数
Table 2 Corresponding coefficients of the optimal fitting equations


(a)λ1

(b)λ2

(c)θ2

(d)θ3

(e)θ4

(f)θ5

(g)θ6
图3 各运动参数拟合曲线
Fig.3 Fitting curve of each motion parameter
为验证液压支架逆向运动学分析方法的实际应用效果,在中国矿业大学综采工作面实验平台进行试验验证,如图4所示。

图4 综采工作面试验平台
Fig.4 Test platform of fully mechanized coal face
液压支架各部件运动曲线如图5所示。可看出在液压支架动作过程中,立柱长度λ1与顶梁平升高度h近似呈线性关系;平衡千斤顶长度λ2、后连杆与底座的夹角θ2、后连杆与掩护梁的夹角θ3、顶梁与掩护梁的夹角θ4均与h呈非线性关系,且变化过程平稳;液压支架驱动部件的实际运动曲线与仿真结果一致,证明了采用液压支架逆向运动学分析方法能够得出液压支架运动曲线及运动变化趋势。

图5 液压支架各驱动部件运动曲线
Fig.5 Motion curve of each driving part of hydraulic support
液压支架逆向运动学分析方法通过分析液压支架三维模型运动过程,获取各驱动部件运动参数,基于逆向运动学理论,采用三次多项式曲线拟合液压支架各驱动部件运动方程,并采用粒子群优化算法优化该运动方程,建立各部件间最优映射关系,可用于对液压支架各部件的运动轨迹进行优化设计,从而实现液压支架快速、精确控制。
参考文献(References):
[1] DAOOD S S,OTTOLINI M,TAYLOR S.Pollutant and corrosion control technology and efficient coal combustion[J].Energy & Fuels,2017,3(5):5581-5596.
[2] 曾庆良,杨扬,孟昭胜,等.新型滑块式薄煤层液压支架运动学特性分析[J].煤炭技术,2017,36(2):214-216.
ZENG Qingliang,YANG Yang,MENG Zhaosheng,et al.Kinematics characteristics analysis of new hexaglide hydraulic support for thin coal seam[J].Coal Technology,2017,36(2):214-216.
[3] 王洪伟,董志峰.两柱掩护式液压支架机构运动学分析[J].机械传动,2015,39(4):125-128.
WANG Hongwei,DONG Zhifeng.Mechanism kinematics analysis of two-leg shield hydraulic support[J].Journal of Mechanical Transmission,2015,39(4):125-128.
[4] 杨磊,王新亚,许日成,等.反四连杆机构液压支架顶梁运动轨迹分析[J].矿山机械,2013,41(8):28-30.
YANG Lei,WANG Xinya,XU Richeng,et al.Analysis on motion trajectory of top beam in hydraulic support with reverse four-bar linkage[J].Mining & Processing Equipment,2013,41(8):28-30.
[5] 杜毅博.液压支架支护状况获取与模糊综合评价方法[J].煤炭学报,2017,42(增刊1):260-266.
DU Yibo.Supporting condition acquisition and fuzzy comprehensive evaluation method for hydraulic support[J].Journal of China Coal Society,2017,42(S1):260-266.
[6] 刘印,杨兆建.液压支架选型设计系统[J].工矿自动化,2017,43(11):94-97.
LIU Yin,YANG Zhaojian.Type-selection design system for hydraulic support[J].Industry and Mine Automation,2017,43(11):94-97.
[7] 于涛,刘秀杰,张玉娇,等.基于Pro/E的液压支架三维建模和运动仿真[J].工矿自动化,2016,42(4):81-82.
YU Tao,LIU Xiujie,ZHANG Yujiao,et al.Three-dimension modeling and motion simulation of hydraulic support based on Pro/E[J].Industry and Mine Automation,2016,42(4):81-82.
[8] 李丝,杨德锋,袁周祥.基于MATLAB粒子群算法弧形钢闸门的优化设计[J].水利科技与经济,2017,23(10):1-5.
LI Si,YANG Defeng,YUAN Zhouxiang.Optimization design of radial steel gate based on MATLAB particle swarm optimization algorithm[J].Water Conservancy Science and Technology and Economy,2017,23(10):1-5.
[9] 吕微微,张宏立.基于协同进化粒子群算法的系统辨识[J].计算机仿真,2016,33(1):336-339.
LYU Weiwei,ZHANG Hongli.Identification of system co-evolution based on particle swarm optimization algorithm[J].Computer Simulation,2016,33(1):336-339.
[10] 张超,李擎,王伟乾,等.基于自适应搜索的免疫粒子群算法[J].工程科学学报,2017,39(1):125-132.
ZHANG Chao,LI Qing,WANG Weiqian,et al.Immune particle swarm optimization algorithm based on the adaptive search strategy[J].Chinese Journal of Engineering,2017,39(1):125-132.
[11] SUN S H,YU T T,NGUYEN T T.Structural shape optimization by IGABEM and particle swarm optimization algorithm[J].Engineering Analysis with Boundary Elements,2018,88:26-40.
[12] 杨振,付庄,管恩广,等.M-Lattice模块机器人的运动学分析及构型优化[J].上海交通大学学报,2017,51(10):1153-1159.
YANG Zhen,FU Zhuang,GUAN Enguang,et al.The kinematic analysis and structure optimization of M-Lattice modular robot[J].Journal of Shanghai Jiaotong University,2017,51(10):1153-1159.
[13] 叶长龙,佟泽卉,于苏洋,等.全方位移动装配机器人运动学分析[J].机器人,2016,38(5):550-556.
YE Changlong,TONG Zehui,YU Suyang,et al.Kinematic analysis of an omnidirectional mobile assembly robot[J].Robot,2016,38(5):550-556.
[14] 徐朋,赵东标,程锦翔,等.冗余机器人逆运动学解流形的多目标优化[J].机器人,2016,38(6):704-710.
XU Peng,ZHAO Dongbiao,CHENG Jinxiang,et al.Multi-objective optimization for inverse kinematics solution manifolds of redundant robots[J].Robot,2016,38(6):704-710.