王亚檬1,2, 武兴华1,2, 吝伶艳1,2, 宋建成1,2
(1.太原理工大学 矿用智能电器技术国家地方联合工程实验室, 山西 太原 030024;2.太原理工大学 煤矿电气设备与智能控制山西省重点实验室, 山西 太原 030024)
摘要:针对传统单一线圈结构的磁耦合谐振式无线电能传输系统存在传输效率受限于传输距离的问题,设计了一种变线圈结构的磁耦合谐振式无线电能传输系统。建立了系统的等效电路模型;分析了系统分别采用两线圈结构和四线圈结构时的传输效率与传输距离之间的关系;根据两线圈结构时系统传输效率随着传输距离的增大而逐渐减小、四线圈结构时系统传输效率随着传输距离的增大先增后减的结论,提出了传输距离小于线圈半径时采用两线圈结构、传输距离大于线圈半径时采用四线圈结构的变线圈结构谐振耦合方式,以实现不同传输距离时传输效率的最大化。仿真和实验结果验证了该系统的有效性和可行性。
关键词:无线电能传输; 磁耦合谐振; 变线圈; 两线圈; 四线圈; 传输效率
无线电能传输主要有电磁感应耦合、磁耦合谐振和微波辐射3种方式[1-2]。电磁感应耦合方式的传输功率高达几百千瓦,且已进入实用化阶段,一般适用于近距离(厘米级)传输;磁耦合谐振方式可在数米范围内实现无线电能传输,即使存在障碍物也能高效传输;微波辐射方式适用于电能的远程传输,缺点是传输效率低,且会对人体及其他生物造成一定伤害[3-6]。相比较而言,磁耦合谐振方式既结合了其他2种方式的优点,又克服了其不足,目前已成为无线电能传输技术研究的热点。磁耦合谐振式无线电能传输系统主要采用两线圈和四线圈结构[7-10],但两线圈结构的系统在传输距离较大时传输效率较低,而四线圈结构的系统在传输距离很小时传输效率很低。鉴此,本文提出了一种在不同传输距离采用不同线圈结构的磁耦合谐振式无线电能传输系统,以保证不同传输距离时传输效率达到最大。
变线圈结构的磁耦合谐振式无线电能传输系统由E类逆变器、变线圈结构谐振耦合单元和不控整流电路3个部分组成,如图1所示,其中变线圈结构谐振耦合单元由两线圈结构和四线圈结构组成,将E类逆变器和不控整流电路连接起来,从而实现无线电能传输。
1.1 不控整流电路
不控整流电路拓扑如图2所示。
为高频交流电源,二极管VD1—VD4组成整流桥。升压电感L1和滤波电容C1分别为

图1 变线圈结构的磁耦合谐振式无线电能传输系统组成
Fig.1 Composition of magnetic coupling resonant wireless power transmission system based on variable coil structure
L1=
D(1-D)2Ts
(1)
C1≤![]()
(2)
式中:RL为负载;D为二极管占空比;Ts为二极管开关周期;ω1为交流电源的角频率。

图2 不控整流电路拓扑
Fig.2 Topology of uncontrolled rectifier circuit
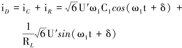
根据不控整流电路的工作原理[11],得到电容电流iC、负载电流iR和流经二极管的直流输出电流iD:
iC=C1
=
U′ω1C1cos(ω1t+δ)
(3)
iR=
=![]()
U′sin(ω1t+δ)
(4)

(5)
式中:Ud为滤波电容两端电压;U′为输入电压;δ为二极管VD1和VD4导通时刻与U′过零点相距的角度。
1.2 变线圈结构谐振耦合单元
1.2.1 两线圈结构谐振耦合单元
两线圈结构谐振耦合单元由发射谐振回路和接收谐振回路组成,发射谐振回路和接收谐振回路均采用线圈和谐振补偿电容串联的方式连接[12-13],如图3所示。LP,LS分别为发射线圈和接收线圈的自感;RP,RS分别为发射线圈和接收线圈的寄生电阻;CP,CS分别为发射线圈和接收线圈的谐振补偿电容;
L为负载;
G为高频交流电源;M为发射线圈和接收线圈之间互感。

图3 两线圈结构谐振耦合单元等效电路
Fig.3 Equivalent circuit of resonance coupling unit based on two-coil structure
(6)
RP=RS=![]()
![]()
(7)
M=![]()
(8)
式中:μ0为真空磁导率;N为线圈匝数;r为线圈半径;ra为线圈导线半径;ω为高频交流电源的角频率;σ为线圈导线电导率;rP,rS分别为发射线圈、接收线圈半径;d为发射线圈、接收线圈之间的轴向距离。
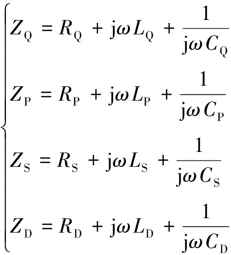
设两线圈结构谐振耦合单元谐振角频率与高频交流电源的角频率相等,则发射谐振回路的自阻抗ZP、接收谐振回路的自阻抗ZS分别为

(9)
根据电路理论可得发射谐振回路电流
P和接收谐振回路电流
S:

(10)
发射谐振回路输入功率Pin和接收谐振回路输出功率Pout分别为
Pin=![]()
(11)
Pout=![]()
L
(12)
故两线圈结构谐振耦合单元传输效率为
η=
×100%=
×100%
(13)
1.2.2 四线圈结构谐振耦合单元
四线圈结构谐振耦合单元由驱动谐振回路、发射谐振回路、接收谐振回路和负载谐振回路组成[14-15],如图4所示。LQ,LD分别为驱动线圈和负载线圈的自感;RQ,RD分别为驱动线圈和负载线圈的寄生电阻;CQ,CD分别为驱动线圈和负载线圈的谐振补偿电容;MQP,MSD分别为驱动线圈和发射线圈、接收线圈和负载线圈之间互感。为简化分析,忽略线圈之间的交叉耦合,仅考虑相邻线圈之间的直接耦合作用。

图4 四线圈结构谐振耦合单元等效电路
Fig.4 Equivalent circuit of resonance coupling unit based on four-coil structure
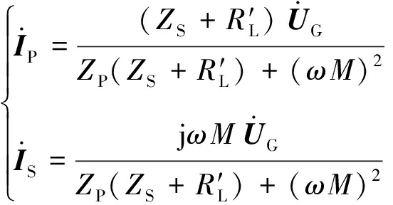
设四线圈结构谐振耦合单元谐振角频率与高频交流电源的角频率相等,则驱动谐振回路的自阻抗ZQ、发射谐振回路的自阻抗ZP、接收谐振回路的自阻抗ZS和负载谐振回路的自阻抗ZD分别为

(14)
根据电路理论可得驱动谐振回路电流
Q和负载谐振回路电流
D:

(15)
式中:a1=ZP[ZS(ZD+
L)+(ωMSD)2]+(ωM)2×(ZD+
L);a2=ZS(ZD+
L)+(ωMSD)2。
驱动谐振回路输入功率
in和负载谐振回路输出功率
out分别为
(16)
(17)
故四线圈结构谐振耦合单元传输效率为
η′=
×100%=
×100%
(18)
1.2.3 传输效率和传输距离关系
给定两线圈结构谐振耦合单元中发射线圈和接收线圈为6匝、半径为8 cm;四线圈结构谐振耦合单元中发射线圈和接收线圈为6匝、半径为8 cm,驱动线圈和负载线圈为2匝、半径为8 cm,且驱动线圈和发射线圈之间及接收线圈和负载线圈之间的距离均为3 cm。变线圈结构谐振耦合单元的工作频率为150 kHz,负载为100 Ω,由于工作频率和负载均恒定,避免了频率分裂现象。根据给定参数和式(13)、式(18),得到变线圈结构谐振耦合单元传输效率与传输距离关系曲线,如图5所示。
从图5可看出,两线圈结构谐振耦合单元传输效率随着传输距离的增大而逐渐减小:传输距离小于5 cm时,传输效率基本维持不变;传输距离在5~12 cm范围内,传输效率呈线性减小;传输距离大于12 cm时,传输效率缓慢减小。四线圈结构谐振耦合单元传输效率随着传输距离的增大先增后减:传输距离在6~11 cm范围内,传输效率呈线性增加;在传输距离为11 cm处存在最大传输效率;传输距离在11~18 cm范围内,传输效率呈线性减小;传输距离大于18 cm时,传输效率缓慢减小。传输距离小于线圈半径时,两线圈结构谐振耦合单元传输效率较高;传输距离大于线圈半径时,四线圈结构谐振耦合单元传输效率较高。因此,传输距离小于线圈半径时,变线圈结构谐振耦合单元采用两线圈结构;传输距离大于线圈半径时,变线圈结构谐振耦合单元采用四线圈结构。

图5 变线圈结构谐振耦合单元传输效率与传输距离关系曲线
Fig.5 Relationship curve between transmission efficiency and transmission distance of resonance coupling unit based on variable coil structure
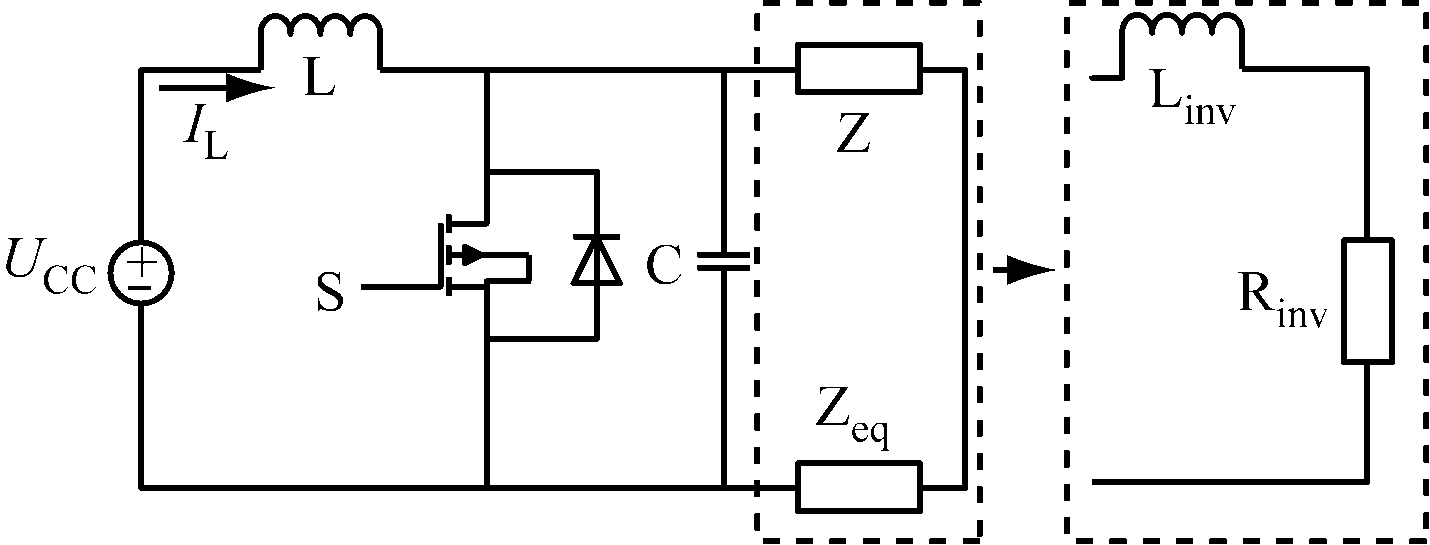
1.3 E类逆变器
E类逆变器基本电路拓扑如图6所示。UCC为直流电源;L′,C′分别为谐振电感、电容;R″L为负载。扼流电感L阻抗足够大,使流过的电流为恒定值。并联电容C为外加电容,目的是使开关管S满足如图7所示的开关状态[16-18]。ug为开关管S驱动信号;iS,uS分别为开关管S漏源极电流、电压;D′为开关管S占空比;θ为电角度。

图6 E类逆变器基本电路拓扑
Fig.6 Basic circuit topology of class E inverter



图7 E类逆变器电路主要工作波形
Fig.7 Main operating waveforms of class E inverter circuit
E类逆变器最佳负载为
+
)
(19)
式中:P为输出功率;Q为品质因数。
扼流电感最小值Lmin和并联电容C分别为
Lmin=3.5![]()
(20)

(21)
式中f为输出谐振频率。
利用电路理论分析方法对变线圈结构的磁耦合谐振式无线电能传输系统进行简化,系统简化电路如图8所示。因此,对于E类逆变器的所有计算公式[19]都可应用在系统简化电路中。

图8 变线圈结构的磁耦合谐振式无线电能传输系统简化电路
Fig.8 Simplified circuit of magnetic coupling resonant wireless power transmission system based on variable coil structure
系统简化归算后E类逆变器的输出阻抗为
Zinv=Z+Zeq=Rinv+jω′Linv
(22)
式中:Z为E类逆变器谐振元件和负载的串联等效阻抗;Zeq为归算阻抗;Rinv为Zinv的电阻部分;ω′为谐振角频率;Linv为Zinv的电抗部分。
根据E类逆变器输入电压UCC和谐振电流iinv之间的关系,得到E类逆变器工作在软开关方式时,谐振电流幅值Iinv和输入电流IL:
Iinv=![]()
(23)
IL=
Iinv
(24)
式中φinv为开关管S驱动信号ug和谐振电流iinv之间的移相角。
tanφinv=![]()
(25)
2.1 参数设置
根据变线圈结构的磁耦合谐振式无线电能传输系统电路分析中给出的电路元件计算方法及线圈参数,计算得到各电路元件的理论值,再根据元件实际情况设置仿真值,同时采用阻抗测试仪LCR-821测量实验中各线圈的电感,并根据电路谐振频率计算各线圈串联电容,具体参数见表1。
表1 变线圈结构的磁耦合谐振式无线电能传输系统电路元件参数
Table 1 Circuit element parameters of magnetic coupling resonant wireless power transmission system based on variable coil structure

2.2 仿真分析
利用Simulink搭建变线圈结构的磁耦合谐振式无线电能传输系统仿真模型。在输入电压为30 V、开关管S驱动频率为150 kHz、负载为100 Ω的条件下,测量系统输入电压、输入电流及不同传输距离时负载上的电压、电流,计算得到变线圈结构的磁耦合谐振式无线电能传输系统传输效率随传输距离变化的仿真曲线,如图9所示。

图9 变线圈结构的磁耦合谐振式无线电能传输系统传输效率仿真结果
Fig.9 Simulation result of transmission efficiency of magnetic coupling resonant wireless power transmission system based on variable coil structure
从图9可看出,传输效率随着传输距离的增大先减小后增大再减小,分别在传输距离为8 cm和12 cm处取得极小值和极大值。传输距离小于8 cm时,传输效率缓慢减小;传输距离在8~12 cm范围内,传输效率增加;传输距离在12~18 cm范围内,传输效率呈线性减小;传输距离大于18 cm时,传输效率缓慢减小。这与理论分析结果一致,验证了所提变线圈结构的磁耦合谐振式无线电能传输系统的正确性。
2.3 实验分析
根据图1搭建变线圈结构的磁耦合谐振式无线电能传输系统实验平台。设置系统输入电压为30 V,开关管S驱动信号频率为150 kHz,负载为100 Ω。线圈采用铜漆包线,线圈参数:铜漆包线线径为1.5 mm,线圈半径均为8 cm,驱动线圈和负载线圈为2匝,发射线圈和接收线圈为6匝。
当传输距离不大于8 cm时,变线圈结构谐振耦合单元采用两线圈结构;当传输距离大于8 cm时,通过单刀双掷开关将两线圈结构转换成四线圈结构。测量系统输入电压、输入电流及不同传输距离时负载上的电压、电流,计算得到变线圈结构的磁耦合谐振式无线电能传输系统传输效率随传输距离变化的实验曲线,如图10所示。

图10 变线圈结构的磁耦合谐振式无线电能传输系统传输效率实验结果
Fig.10 Experimental result of transmission efficiency of magnetic coupling resonant wireless power transmission system based on variable coil structure
从图10可看出,传输效率随着传输距离的增大先减小后增大再减小。传输距离小于8 cm时,传输效率缓慢减小,在传输距离为8 cm时取得极小值;传输距离在8~13 cm范围内,传输效率增加,在传输距离为13 cm处取得极大值;传输距离在13~19 cm范围内,传输效率呈线性减小;传输距离大于19 cm时,传输效率缓慢减小。这与仿真结果基本一致,验证了所提变线圈结构的磁耦合谐振式无线电能传输系统的正确性和可行性。
建立了变线圈结构的磁耦合谐振式无线电能传输系统等效电路模型,对系统中变线圈结构谐振耦合单元传输效率与传输距离的关系进行了理论分析,结果表明:两线圈结构谐振耦合单元传输效率随着传输距离的增大而逐渐减小;四线圈结构谐振耦合单元传输效率随着传输距离的增大先增后减。因此,当传输距离小于线圈半径时,变线圈结构谐振耦合单元采用两线圈结构,当传输距离大于线圈半径时,变线圈结构谐振耦合单元采用四线圈结构。较传统单一线圈结构的磁耦合谐振式无线电能传输系统,该系统实现了不同传输距离时传输效率的最大化。
参考文献(References):
[1] 杨庆新,张献,李阳.无线电能传输技术及其应用[M].北京:机械工业出版社,2014:27-72.
[2] 邓亚峰.无线供电技术[M].北京:冶金工业出版社,2013:32-48.
[3] MASTRI F,COSTANZO A,MONGIARDO M.Coupling-independent wireless power transfer[J].IEEE Microwave and Wireless Components Letters,2016,26(3):222-224.
[4] CAPUA G D,FEMIA N,PETRONE G,et al.Power and efficiency analysis of high-frequency wireless power transfer systems[J].International Journal of Electrical Power and Energy Systems,2017,84:124-134.
[5] HUANG Changyu, BOYS J T, COVIC G A.LCL pickup circulating current controller for inductive power transfer systems[J].IEEE Transactions on Power Electronics,2013,28(4):2081-2093.
[6] BUDHIA M,COVIC G A,BOYS J T.Design and optimization of circular magnetic structures for lumped inductive power transfer systems[J].IEEE Transactions on Power Electronics,2011,26(11):3096-3108.
[7] 汪强,李宏.基于磁耦合谐振的无线电能传输系统的研究[J].电子技术应用,2011,37(12):72-75.
WANG Qiang,LI Hong.Coupled magnetic resonances based wireless power transmission system research[J].Application of Electronic Technique,2011,37(12):72-75.
[8] CHENG Limin, CUI Yulong. Characteristics research on wireless power transmission systems using magnetic resonance coupling[J].Transactions of China Electrotechnical Society,2013,28(S2):23-27.
[9] 王维,黄学良,周亚龙.双中继无线电能传输系统建模及传输效率分析[J].电工技术学报,2014,29(9):1-6.
WANG Wei,HUANG Xueliang,ZHOU Yalong.Modeling and transmission efficiency analysis of wireless power transmission system with dual relays[J].Transactions of China Electrotechnical Society,2014,29(9):1-6.
[10] LIU Yuanwei,WANG Lifeng.Two-way relay networks with wireless power transfer: design and performance analysis[J].IET Communications,2016,10(14):1810-1819.
[11] 王兆安,刘进军.电力电子技术[M].5版.北京:机械工业出版社,2009:63-68.
[12] KONG P,KU H.Efficiency optimising scheme for wireless power transfer system with two transmitters[J].Electronics Letters,2016,52(4):310-312.
[13] 谢民灿.谐振式无线电能传输装置的系统分析与设计[D].广州:华南理工大学,2016.
[14] ZHANG Jian,YUAN Xinmei,WANG Chuang,et al.Comparative analysis of two-coil and three-coil structures for wireless power transfer[J].IEEE Transactions on Power Electronics,2017,32(1):341-352.
[15] 杨婷.基于双激励线圈的无线电能传输模式研究[D].重庆:重庆大学,2016.
[16] ALDHAHER S,LUK P C K,WHIDBORNE J F.Tuning class E inverters applied in inductive links using saturable reactors[J].IEEE Transactions on Power Electronics,2014,29(6):2969-2978.
[17] 赵茂.DC-DC型磁谐振无线电能传输系统的研究[D].重庆:重庆大学,2015.
[18] WANG Yameng,SONG Jiancheng,LIN Lingyan,et al.Parameters calculation and simulation of magnetic coupling resonance wireless power transfer system[C]//Asia-Pacific International Symposium on Electromagnetic Compatibility,Shenzhen,2016:587-590.
[19] NAGASGIMA T,WEI Xiuqin,BOU E,et al.Analytical design for resonant inductive coupling wireless power transfer system with class-E inverter and class-DE rectifier[C]//IEEE International Symposium on Circuits and Systems,Lisbon,2015:686-689.
第26届中国煤矿自动化与信息化学术会议暨第7届中国煤矿信息化与自动化高层论坛会议纪要
中国煤炭学会煤矿自动化专业委员会(以下简称自动化专委会)与中国煤炭工业技术委员会信息化专家委员会(以下简称信息化专委会)于2017年8月26—28日在济南市召开了第26届中国煤矿自动化与信息化学术会议暨第7届中国煤矿信息化与自动化高层论坛。来自全国大型煤炭企业集团公司、科研院所、大专院校等50多个单位的84名代表出席会议。
自动化专委会主任、信息化专委会主任孙继平教授介绍了第26届中国煤矿自动化与信息化学术会议暨第7届中国煤矿信息化与自动化高层论坛征文、论文集编辑出版和会议筹备等情况,布置了2017-2018年度专委会工作,并就如何将专委会年会办出品牌、办出特色提出了要求。信息化专委会副主任陈养才高级工程师作了《信息化专家委员会工作报告》。自动化专委会副主任胡穗延研究员作了《煤矿自动化专业委员会工作报告》。大会由自动化专委会副主任于励民教授级高级工程师主持。
大会学术报告由自动化专委会副主任马小平教授、信息化专委会副主任钱建生教授共同主持,共有7位专家围绕中国煤矿自动化与信息化建设的热点和前瞻性问题作了学术报告,受到与会代表的热烈欢迎。大会学术报告共10个:① 孙继平教授,《煤矿重特大事故应急处置与救援技术研究》;② 陈养才高级工程师,《煤炭工业大数据平台建设构想》;③ 马小平教授,《新一代人工智能与自动化的机遇》;④ 钱建生教授,《煤矿多系统融合联动控制技术研究与应用》;⑤ 张元刚高级工程师,《工业监控大数据分析及其在煤炭企业的应用》;⑥ 张占军董事长,《矿井人员及设备精确定位与矿山精准管理系统》;⑦ 王文清教授,《图像处理技术在煤矿动态计量中的应用研究》;⑧ 孙继平教授,《煤矿安全监控系统升级改造》;⑨ 孙继平教授,《安全生产行业标准〈AQ 6201煤矿安全监控系统通用技术要求〉修订》;⑩ 孙继平教授,《安全生产行业标准〈AQ 1029煤矿安全监控系统及检测仪器使用管理规范〉修订》。
Magnetic coupling resonant wireless power transmission system based on variable coil structure
WANG Yameng1,2, WU Xinghua1,2, LIN Lingyan1,2, SONG Jiancheng1,2
(1.National and Provincial Joint Engineering Laboratory of Mining Intelligent Electrical Apparatus Technology, Taiyuan University of Technology, Taiyuan 030024, China; 2.Shanxi Key Laboratory of Mining Electrical Equipment and Intelligent Control, Taiyuan University of Technology, Taiyuan 030024, China)
Abstract:For problem that transmission efficiency of traditional magnetic coupling resonant wireless power transmission system based on single coil structure was limited by transmission distance, a magnetic coupling resonant wireless power transmission system based on variable coil structure was designed. An equivalent circuit model of the system was built, relationship between transmission efficiency and transmission distance were analyzed when the system adopted two-coil and four-coil respectively, and conclusions were gotten as follows: transmission efficiency of the system with two-coil structure decreased with increase of transmission distance, and transmission efficiency of the system with four-coil structure increased first and then decreased with increase of transmission distance. According to above conclusions, a coupling resonant mode using variable coil structure was proposed, which adopted two-coil structure when transmission distance was smaller than coil radius and four-coil structure when transmission distance was larger than coil radius, so as to realize the maximization of transmission efficiency under different transmission distances. The simulation and experimental results verify effectiveness and validity of the system.
Key words:wireless power transmission; magnetic coupling resonance; variable coil; two-coil; four-coil; transmission efficiency
收稿日期:2017-04-08;
修回日期:2017-07-24;责任编辑:盛男。
基金项目:山西省科技重大专项项目(20131101029);山西省基础研究自然科学基金资助项目(2014011024-3)。
作者简介:王亚檬(1991-),女,山西太原人,硕士研究生,研究方向为无线电能传输技术,E-mail:wymandxty@163.com。
引用格式:王亚檬,武兴华,吝伶艳,等.变线圈结构的磁耦合谐振式无线电能传输系统[J].工矿自动化,2017,43(9):89-95. WANG Yameng,WU Xinghua,LIN Lingyan,et al.Magnetic coupling resonant wireless power transmission system based on variable coil structure[J].Industry and Mine Automation,2017,43(9):89-95.
文章编号:1671-251X(2017)09-0089-07
DOI:10.13272/j.issn.1671-251x.2017.09.016
中图分类号:TD61
文献标志码:A 网络出版时间:2017-08-28 11:45
网络出版地址:http://kns.cnki.net/kcms/detail/32.1627.TP.20170828.1145.016.html