张玉振1, 吉兴全1, 于永进1, 梁永亮2, 樊淑娴1
(1.山东科技大学 电气与自动化工程学院, 山东 青岛 266590;2.中国石油大学(华东) 信息与控制工程学院, 山东 青岛 266590)
摘要:现有矿用变压器状态评估方法大多侧重评估模型及理论的研究,而忽视各评估指标时域和空域的关联性分析。针对该问题,提出了一种基于时空信息融合的矿用变压器绝缘状态评估方法。针对矿用变压器绝缘状态评估中数据信息的随机性、模糊性等特点,建立多层次状态评估体系;引入关联规则和变权重理论,确定评估模型中因素层的变权重系数,构建因素层指标的模糊隶属度函数,并计算其原始基本概率赋值;基于D-S证据理论对评估模型中各因素及各周期的基本概率赋值进行融合,首先将因素层评估得到的各因素基本概率赋值与其权重系数进行时域信息融合,然后对其时域融合信息进行空域融合,最后结合信度准则判断矿用变压器绝缘状态。实例验证结果表明,所提方法可对矿用变压器绝缘状态进行准确有效评估。
关键词:矿用变压器; 绝缘状态评估; 关联规则; 变权重系数; 时域信息融合; 空域融合; 基本概率赋值; D-S证据
矿用变压器是工矿系统中的核心设备之一,其运行状态的好坏直接影响着工矿系统的安全运行水平。长期以来,国内外对变压器状态评估的研究主要依据定期检修和停电预防性试验来实现,难以及时发现缺陷[1-2]。如何通过相关历史数据和实时在线监测数据实现变压器及其他主设备的状态评估,已成为目前国内外专家研究的热点问题,且具有重要的理论意义和现实意义。
相关研究表明,可表征矿用变压器状态的指标众多,这些指标的影响程度不尽相同且又不易相容[3],严重影响了变压器状态评估的准确性。鉴此,国内外学者对变压器状态评估方法进行了大量研究。文献[4]基于模糊和D-S证据理论对变压器进行状态评估,但所建模型仍然存在很大的评估盲区。文献[5]基于人工神经网络和信息融合技术对变压器进行状态评估,但巨大的统计运算量严重影响了评估结果准确性。文献[6]基于支持向量回归法对变压器状态进行评估,但在评估等级的基本概率赋值靠近设定边界点时,难以对变压器真实运行状态做出准确判断。文献[7]基于改进证据理论将变压器历史、当前和预测3个时段的状态信息进行融合,进而对变压器的整体运行状态进行评估,该方法有效提高了评估的准确性,但其指标的量化、权重系数的确定及信息的融合均过分依赖于专家经验。此外,一些文献基于核向量空间[8]、灰靶理论[9]、物元理论[10]等判断变压器运行状态,但在评估准确度和工程实用性等方面仍需进一步完善。
对变压器运行状态进行有效评估时不仅要依据状态信息的融合,还应考虑所有评估指标之间的关联性[11-12],但现有方法多侧重于评估模型及理论的研究,而忽视了各评估指标时域和空域的关联性分析。
鉴于以上分析,本文基于时空信息的融合,提出了一种可对矿用变压器绝缘状态进行有效评估的方法。针对矿用变压器绝缘状态评估中数据信息的随机性、模糊性等特点,建立了多层次状态评估体系;引入关联规则与变权重理论,确定评估模型中因素层的变权重系数;构建因素层指标的模糊隶属度函数,并计算其原始基本概率赋值;基于D-S证据理论对评估模型中各因素及各周期的基本概率赋值进行融合,并结合信度准则判断矿用变压器绝缘状态。大量的实例计算分析验证了该评估方法的有效性。
1.1 评价指标处理与状态等级
文献[7]将变压器综合状态评估分为本体、套管、铁芯、家族质量事件和自身质量事件5个部分分别进行。本文仅针对矿用变压器本体绝缘状态进行评估,其他部件状态评估方法类似。
根据高可靠性、强灵敏性和易操作性的原则,针对变压器绝缘状态评估中数据信息的随机性、模糊性等特点,建立矿用变压器绝缘状态评估系统,如图1所示。

图1 矿用变压器绝缘状态评估系统
Fig.1 Insulation state evaluating system of mine-used transformer
由于可表征变压器绝缘状态的指标众多且量级不同,本文采用相对劣化度对指标参数进行归一化处理。
假定Xi.j0为第i个因素的第j个评估指标ei.j的初始值,Xi.j为ei.j的实际测量值,Xi.ja为ei.j的注意值。
对于绕组介损、乙炔含量等数值越小、反映设备状态越好的指标参数,按式(1)进行归一化处理。
xi.j=
Xi.j0≤Xi.j≤Xi.ja
(1)
对于油击穿电压、绕组吸收比等数值越大、反映设备状态越好的指标参数,按式(2)进行归一化处理。
xi.j=
Xi.ja≤Xi.j≤Xi.j0
(2)
本文依据已有研究成果和《油浸式变压器(电抗器)状态评价导则》,按劣化程度将变压器运行状态划分为优秀、良好、一般、劣化和严重5个等级,各状态等级及其相应的检修策略见表1。
表1 状态等级与检修策略的对应关系
Table 1 Relationship between condition level and maintenance strategy

1.2 评价架构
用图2所示的双层评估模型对图1所示的矿用变压器绝缘状态评估系统进行解析。

图2 变压器绝缘状态评估模型
Fig.2 Evaluation model of transformer insulation state
第1层为基于模糊理论的因素层评估,依据隶属函数及模糊综合评估模型的数学表达式获得。第2层为基于D-S证据融合理论的整体评估,首先将因素层评估得到的各因素基本概率赋值与其权重系数进行时域信息融合,然后对其时域融合信息进行空域融合,最后根据变压器绝缘状态判据准则对其进行整体评估。假定表征矿用变压器绝缘状态的评估等级有R个,记为H={H1,H2,…,Hr,…,HR};假定目标层由N个因素构成,记为F={f1,f2,…,fi,…,fN};假定各个因素由mi个评估指标组成,如fi={ei.1,ei.2,…,ei.j,…,ei.mi};
为因素r第k个周期的评估等级,k=1,2,…,M。
2.1 确定常权重系数的关联规则方法
为了避免专家意见的主观性缺陷,提高矿用变压器绝缘状态评估的准确性,本文基于变压器的监测数据及其之间的关联原则,确定综合状态量的权重系数。
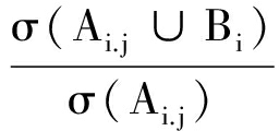
关联规则,即寻找同一事件中多次出现的项或同属性的子集及它们之间的关联性[13]。按照关联规则的定义,假定事务数据库D由U个子集事务δi组成,记为
;假定子集事务δi由mi个项xi.j组成,记为δi={xi.1,xi.2,…,xi.j,…,xi.mi}。σ(A)为项集A的支持度计数,即D中所包含某特定项集A的事务的个数,用统计概率学表示为![]()
假设项集A⊂D,B⊂D,且A∩B=φ,则项集A、B间的关联规则用A→B表示,且A和B分别成为A→B的条件和结论。事务数据库D中A∪B所占百分比即为A→B的支持度,记为
Sup(A→B)=p(A∪B)
(3)
Sup(A→B)越大,则项集A和B的关联性越高。
在包含项集A的条件下,事务数据库D中所包含的项集B所占的百分比即为A→B的置信度,记为
C(A→B)=p(B/A)=
×100%
(4)
C(A→B)越大,则关联规则A→B的可信度越高。
将关联规则应用于变压器绝缘状态评估中各综合状态量的权重系数确定,首先需计算其支持度。根据支持度的定义,在评估矿用变压器绝缘状态时可做以下假定:
(1) 事务数据库Di={第i个综合状态量偏离注意值}。
(2) 项集Ai.j={第i个综合状态量中第j个单项状态量偏离注意值}。
(3) 项集Bi={矿用变压器的第i类评估等级}。
其中,项集Bi与事务数据库Di等同。这是因为某状态等级与相应综合状态量偏离注意值存在对应关系,两者在统计概率学计算中可按同一个事物来处理。由式(3)可得Ai.j→Bi的支持度为
Sup(Ai.j→Bi)=p(Ai.j∪Bi)=
×100%=
×100%
(5)
根据置信度的定义,在评估矿用变压器绝缘状态时可做以下假设:
(1) 事务数据库D={任一综合状态量偏离注意值};
(2) 项集Ai.j={第i个综合状态量中第j个单项状态量偏离注意值};
(3) 项集Bi={矿用变压器的第i类绝缘状态等级}。
由式(4)可得Ai.j→Bi的置信度为
C(Ai.j→Bi)=
=
=
×100%
(6)
由式(6)计算得评估模型中所有状态量的置信度,然后对同一综合状态量中的各单项状态量的置信度进行比较,依据置信度大小确定其常权重系数。常权重系数计算公式如下:
wi.j=![]()
(7)
式中:wi.j为第i项综合状态量中第j项单项状态量的常权重系数;Ci.j为第i项综合状态量中第j项单项状态量的置信度。
2.2 变权重系数的应用
基于关联规则确定常权重系数能在一定程度上改善对专家意见和经验等的过度依赖,但常权重系数为定值,不能随状态量的变化进行调整。当变压器的某一指标值严重偏离注意值,即变压器某一方面性能已明显下降时,若状态评估仅依据常权重系数,由于该指标的权重系数占整体比例并不大,可能出现变压器运行状态还是正常水平的情况。因此,仅使用常权重系数难以对变压器的真实运行状态进行准确评估。
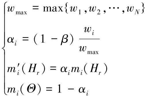
为了综合考虑因某一指标变化对矿用变压器整体评估结果的影响,基于变权理论[14],确定各综合状态量的变权重系数为
(8)
式中
表示常权值;α(0≤α≤1)为变权调整参数,其取值由各综合状态量的相对重要程度决定。
引入变权重系数后,可通过调节变权调整参数有效避免因某一指标变化对矿用变压器整体评估结果的影响,提高了评估的准确性。
3.1 模糊评估模型
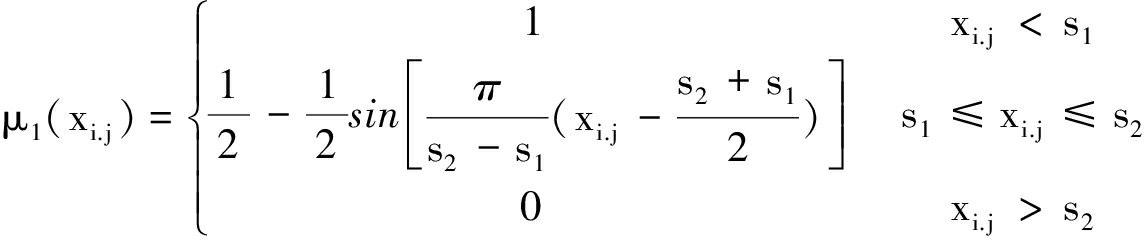
运用半梯形与半岭形相结合的隶属函数来表征模糊评估模型中的指标。隶属函数定义为

(9)

(10)

(11)

(12)

(13)
式中:xi.j为评价指标ei.j归一化后的值;s1-s8为不同状态等级间的边界值。
对于不同状态的隶属度边界采用均分化处理,即状态μ1(x)-μ5(x)的范围分别为0~3/13,1/13~6/13,4/13~9/13,7/13~12/13,10/13~1,则s1-s8的取值范围分别为1/13,3/13,4/13,6/13,7/13,9/13,10/13,12/13。隶属函数的分布函数如图3所示。

图3 隶属函数的分布函数
Fig.3 Distribution function of the membership degree function
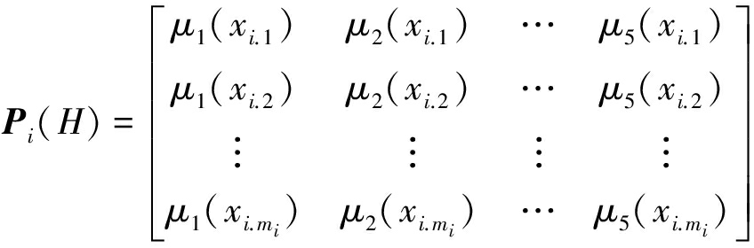
根据模糊综合评估模型的数学表达式,计算因素fi的模糊综合评估结果Wi(H),如式(14)所示。
(14)
式中Pi(H)为因素fi所属评估等级的隶属度,可用式(15)求得。

(15)
3.2 证据融合评估模型
为了提高矿用变压器绝缘状态评估结果的准确率,利用D-S证据理论[15]对油中溶解气体、电气试验及绝缘油特性的模糊综合评价结果在时域和空域上进行信息融合,如图4所示。
假设矿用变压器绝缘状态评估模型的N个因素具有相同的状态评估等级
为第i个因素在k个试验周期经模糊评估模型所获得的对状态评估等级Hr的基本概率赋值,mi(Hr)为第i个因素在M个试验周期进行融合后对状态评估等级Hr的累积基本概率赋值,则信息融合计算步骤如下:
(1) 对评估模型中各因素信息进行时域融合:

图4 基于证据理论的时空信息融合
Fig.4 Spatio-temporal information fusion based on D-S evidence theory
mi(Hr)=
(16)
式中
为
的基本概率分配![]()
(2) 对N个因素的时域融合信息进行空域融合(即因素之间的融合),得到最后的时空信息融合结果。
mi(Hr)=
(17)
式中![]()
证据融合之前,需对其进行预处理。定义随机因子β,β表征了监测数据偏差及专家经验等的随机性,并根据式(18)对原始证据进行处理。

(18)
式中:
i(Hr)为预处理后评估等级Hr的基本概率赋值;mi(Θ)为第i个因素所属状态等级不确定性的基本概率赋值。
为了使评估结果中不存在m(Θ)项,根据式(19)对原始基本概率赋值进行Bayes近似。

(19)
式中
为单个假设集合A经Bayes近似后的Mass函数;|C|为集合C中基本假设的个数。
经Bayes近似后,评估结果中不含m(Θ)项,并减少了证据融合过程中的计算量。
为了调高评估结果的准确性,避免因变压器整体状态等级的基本概率赋值相差较小造成评估失效,本文基于信度准则[16]对矿用变压器的整体运行状态进行判断。
矿用变压器的5个评估等级构成一个有序分割类,H=(H1,H2,H3,H4,H5),ra(Hr)表示第a台变压器对状态评估等级Hr的基本概率赋值。由于本文中变压器绝缘状态评估等级Hr越小,表示其运行状态越好,所以,定义H1>H2>H3>H4>H5,则第a台变压器的评估等级g为
(20)
式中λ为变压器评估等级的置信度水平,通常取值为[0.5,1],可根据已有数据进行设置。
以文献[7]给出的型号为SZ9-12500/35的变压器信息对本文所提评估方法进行验证。根据式(1)、式(2)对状态指标进行归一化,然后根据模糊隶属度公式(式(9)-式(13))计算得到各个评估指标的隶属度值,见表2。根据式(7)、式(8)得到评估指标的权重,见表3。
由表2和表3的结果,根据式(14)、式(15)可计算得到各试验周期(t1-t3)的原始基本概率分配矩阵为
Wt1(H)=

(21)
Wt2(H)=

(22)
表2 评估指标的隶属度
Table 2 Membership degrees of assessing indices

Wt3(H)=

(23)
表3 评估指标的权重
Table 3 Weights of assessing indices

按照式(18)、式(19)对原始证据进行处理及贝叶斯近似,然后根据式(16)、式(17)进行D-S证据合成计算,得到变压器绝缘状态评估等级为H=(0.384 6,0.494 7,0.105 7,0.013,0.002)。结合信度准则判断可知,该变压器处于状态H2,并与文献[7]检验结果一致。
本文又收集了28台变压器的试验数据,用所提方法做了进一步的验证。试验评估结果见表4。
表4 28台变压器的试验评估结果
Table 4 The experiment assessment results of 28 transformers

由表4可知,有27台变压器的绝缘状态评估结果与其实际工况一致,只有博山2号变压器的评估结果与实际工况不同,但差异程度也仅限于两相邻评估等级之间。通过以上分析可得,该评估方法的准确率为96.552%,进一步证明了该方法可以对矿用变压器的真实运行状态进行有效评估。
依据关联规则及变权重理论,提出了一种基于时空信息融合的矿用变压器绝缘状态评估方法,并采用相关实例进行了验证。结果表明,基于模糊和证据融合的矿用变压器绝缘状态评估模型充分考虑了评估中存在的一系列不确定性问题,应用变权理论及时空信息相融合降低了因专家评估等带来的误差,进一步提高了评估的准确性。但该评估方法只涉及了矿用变压器的本体指标,未考虑铁管、铁芯及定性指标,下一步工作要对此进行研究和完善。
参考文献(References):
[1] TANG W H,GOULERMAS J Y,WU Q H,et al.A probabilistic classifier for transformer dissolved gas analysis with a particle swarm optimizer[J].IEEE Transactions on Power Delivery,2008,23(2):751-759.
[2] 李平,胡新明,陈国平,等.改进灰色GM(1,m)模型在变压器故障预测中的应用[J].工矿自动化,2012,38(9):47-50.
LI Ping,HU Xinming,CHEN Guoping,et al.Application of improved grey GM(1,m) model in fault prediction of transforme[J].Industry and Mine Automation,2012,38(9):47-50.
[3] 李存斌,李小鹏,高坡.基于变权模糊物元模型的变压器状态实时评估[J].广东电力,2015,28(11):66-78.
LI Cunbin,LI Xiaopeng,GAO Po.Real-time evaluation on transformer state based on variable weight fuzzy matter-element model[J].Guangdong Electric Power,2015,28(11):66-78.
[4] 赵云峰,张永强,聂德鑫,等.基于模糊和证据理论的变压器本体绝缘状态评估方法[J].电力系统保护与控制,2014,42(23):57-63.
ZHAO Yunfeng,ZHANG Yongqiang,NIE Dexin,et al.Application of fuzzy and evidence theory in power transformers condition assessment[J].Power System Protection and Control,2015,28(11):66-78.
[5] 阮羚,谢齐家,高胜友,等.人工神经网络和信息融合技术在变压器状态评估中的应用[J].高电压技术,2014,40(3):822-828.
RUAN Ling,XIE Qijia,GAO Shengyou,et al.Application of artificial neural network and information fusion technology in power transformer condition assessment[J].High Voltage Engineering,2014,40(3):822-828.
[6] 张哲,赵文清,朱永利,等.基于支持向量回归的电力变压器状态评估[J].电力自动化设备,2010,30(4):81-84.
ZHANG Zhe,ZHAO Wenqing,ZHU Yongli,et al.Power transformer condition evaluation based on support vector regression[J].Electric Power Automation Equipment,2010,30(4):81-84.
[7] 孙莹,高贺,李可军,等.基于多时段信息融合的配电变压器运行状态评估模型[J].高电压技术,2016,42(7):2054-2063.
SUN Ying,GAO He,LI Kejun,et al.Condition assessment model of distribution transformer based on multi-period information fusion[J].High Voltage Engineering,2016,42(7):2054-2063.
[8] 周湶,徐智,廖瑞金,等.基于云理论和核向量空间模型的电力变压器套管绝缘状态评估[J].高电压技术,2013,39(5):1101-1106.
ZHOU Quan,XU Zhi,LIAO Ruijin,et al.Insulation condition assessment of power transformer bushing based on cloud model and kernel vector space model[J].High Voltage Engineering,2013,39(5):1101-1106.
[9] 郑蕊蕊,赵继印,吴宝春,等.基于加权灰靶理论的电力变压器绝缘状态分级评估方法[J].电工技术学报,2008,23(8):60-66.
ZHENG Ruirui,ZHAO Jiyin,WU Baochun,et al.Method for insulation condition classification evaluation of power transformer based on weight coefficient grey target theory[J].Transactions of China Electrotechnical Society,2008,23(8):60-66.
[10] 吴奕,朱海兵,周志成,等.基于熵权模糊物元和主元分析的变压器状态评价[J].电力系统保护与控制,2015,43(17):1-7.
WU Yi,ZHU Haibing,ZHOU Zhicheng,et al.Transformer condition assessment based on entropy fuzzy matter-element and principle component analysis[J].Power System Protection and Control,2015,43(17):1-7.
[11] 龙鹏,盛戈皞,刘亚东,等.基于可拓理论的变压器在线监测状态综合评估[J].华东电力,2011,39(9):1390-1394.
LONG Peng,SHENG Gehao,LIU Yadong,et al.Synthetic condition assessment of transformer on-line monitoring based on extension theory[J].East China Electric Power,2011,39(9):1390-1394.
[12] 廖瑞金,张镱议,黄飞龙,等.基于可拓分析法的电力变压器本体绝缘状态评估[J].高电压技术,2012,38(3):521-526.
LIAO Ruijin,ZHNAG Yiyi,HUANG Feilong,et al.Power transformer condition strategy using matter element analysis[J].High Voltage Engineering,2012,38(3):521-526.
[13] DUNHAM M H.数据挖掘教程[M].郭崇慧,田凤占,靳晓明,等译.北京:清华大学出版社,2005:141-145.
[14] 顾煌坷,董玉亮,杨昆.基于模糊评判和RCM分析的发电设备状态综合评价[J].中国电机工程学报,2004,24(6):189-194.
GU Huangke,DONG Yuliang,YANG Kun.Synthetic evaluation on conditions of equipment in power plant based on fuzzy judgment and RCM analysis[J].Proceedings of the Chinese Society for Electrical Engineering,2004,24(6):189-194.
[15] 廖瑞金,孟繁津,周年荣,等.基于集对分析和证据理论融合的变压器内绝缘状态评估方法[J].高电压技术,2014,40(2):474-481.
LIAO Ruijin,MENG Fanjin,ZHOU Nianrong,et al.Assessment strategy for inner insulation condition of power transformer based on set-pair analysis and evidential reasoning decision-making[J].High Voltage Engineering,2014,40(2):474-481.
[16] TANG W H,SPURGEON K,WU Q H,et al.An evidential reasoning approach to transformer condition assessment[J].IEEE Transactions on Power Delivery,2004,19(4):1696-1703.
Insulation condition assessment method of mine-used transformer based on spatio-temporal information fusion
ZHANG Yuzhen1, JI Xingquan1, YU Yongjin1, LIANG Yongliang2, FAN Shuxian1
(1.College of Electrical Engineering and Automation, Shandong University of Science and Technology, Qingdao 266590, China; 2.College of Information and Control Engineering, China University of Petroleum(East China), Qingdao 266590, China)
Abstract:The existing condition assessment methods of mine-used transformer mostly focus on assessment model and theory research, while neglect temporal and spatial correlation analysis of evaluation indexes. In view of the problem, an insulation condition assessment method of mine-used transformer based on spatio-temporal information fusion was proposed. In view of randomness and fuzziness of data information in the insulation condition assessment method of mine-used transformer, a multilateral condition assessment system of mine-used transformer was established. Variable weight coefficients of factors layer of evaluation model were determined introducing association rules and variable weight synthesizing theory. A fuzzy membership function was formulated to describe the factor layer, and its original basic probability assignment was calculated. The basic probability assignment of factors and cycles in evaluation model was fused based on D-S evidence theory, firstly, basic probability assignment of factors obtained by the assessment factors layer and its weight coefficient were fused based on time domain information fusion, and then the time domain fusion information was used for airspace fusion, finally insulation condition of mine-used transformers was judged combining reliability criterion. The results of practical example prove that the proposed method can evaluate the insulation condition of mine-used transformers accurately and effectively.
Key words:mine-used transformer; insulation condition state assessment; association rules; variable weight coefficient; time domain fusion information; airspace fusion; basic probability assignment; D-S evidence
收稿日期:2017-03-29;
修回日期:2017-05-19;责任编辑:张强。
基金项目:山东省科技发展计划资助项目(2012G0020503)。
作者简介:张玉振(1991-),男,山东省临沂人,硕士研究生,主要研究方向为变压器状态评估与故障诊断,E-mail:1179012030@qq.com。
引用格式:张玉振,吉兴全,于永进,等.基于时空信息融合的矿用变压器绝缘状态评估方法[J].工矿自动化,2017,43(9):75-82. ZHANG Yuzhen, JI Xingquan, YU Yongjin, et al. Insulation condition assessment method of mine-used transformer based on spatio-temporal information fusion[J].Industry and Mine Automation,2017,43(9):75-82.
文章编号:1671-251X(2017)09-0075-08
DOI:10.13272/j.issn.1671-251x.2017.09.014
中图分类号:TD61
文献标志码:A 网络出版时间:2017-08-28 11:42
网络出版地址:http://kns.cnki.net/kcms/detail/32.1627.TP.20170828.1142.014.html