经验交流
雷静1, 余斌2,3
(1.成都农业科技职业学院 信息技术分院, 四川 成都 611130; 2.中国矿业大学 机电工程学院,江苏 徐州 221116; 3.新疆工程学院 机械工程系, 新疆 乌鲁木齐 830023)
摘要:针对煤岩识别系统多采用单一传感器进行监测,存在识别精度、可靠度与稳定性均非常低的问题,提出一种基于信息融合和神经网络的煤岩识别方法。在现有采煤机上增加多种必要的传感器,采集采煤机不同工况下的电流、压力、振动频率、加速度等信号,采用小波包对采集的信号进行特征提取,并通过BP神经网络进行数据融合,从而实现对煤层和岩层的识别。真机实测结果表明,所提方法的识别误差在±0.5范围内,验证了其有效性。
关键词:煤炭开采; 煤岩识别; 采煤机; 多传感器系统; 信息融合; 神经网络
采煤机作为井下综采工作面的主要设备之一,其智能化程度和自动化水平直接影响着采煤效率[1]。为了适应煤层厚度的变化,避免采煤机破煤时切到岩石,采煤机在割煤过程中需要及时调整滚筒的高度。通过人工实现采煤机滚筒高度实时控制,依靠视觉和听觉判断采煤机切割的是煤层还是岩层[2-5]的方式存在以下缺点:会造成割煤不彻底,导致资源浪费;可能割到岩层,导致煤杂质增多,严重缩短采煤机滚筒截齿寿命;可能引发岩层断裂,导致顶板垮落;切割岩层时会出现火花,可能引发爆炸等。
按照“尽量不留顶煤”的采煤原则,操作人员往往会加大采煤机滚筒的割煤高度,导致经常切割到岩层[6-9]。目前,煤岩识别系统多采用单一传感器进行监测,识别精度较低,且可靠度与稳定性均非常低。为解决上述问题,本文提出一种基于信息融合和神经网络的煤岩识别方法,该方法采用多种传感器采集采煤机不同工况下的电流、压力、振动频率、加速度等信号,采用小波包对采集的信号进行特征提取,并通过BP神经网络进行数据融合,从而实现对煤层和岩层的识别。
所选检测信号应对采煤机工作过程状况具有较高灵敏性,而对工作条件具有低灵敏性[11]。最终确定的检测信号及配套的传感器见表1。
表1 检测信号及配套传感器
Table 1 Detection signals and supporting sensors

各传感器安装位置如图1所示。
采煤机进行切割工作时,传感器采集到的信号均为随机非线性信号,不可用模型来描述。因此,采用小波包分解的方法来进行特征提取,将信号进行“能量-频段”分层处理[12]。

图1 传感器安装位置
Fig.1 Sensor mounting position
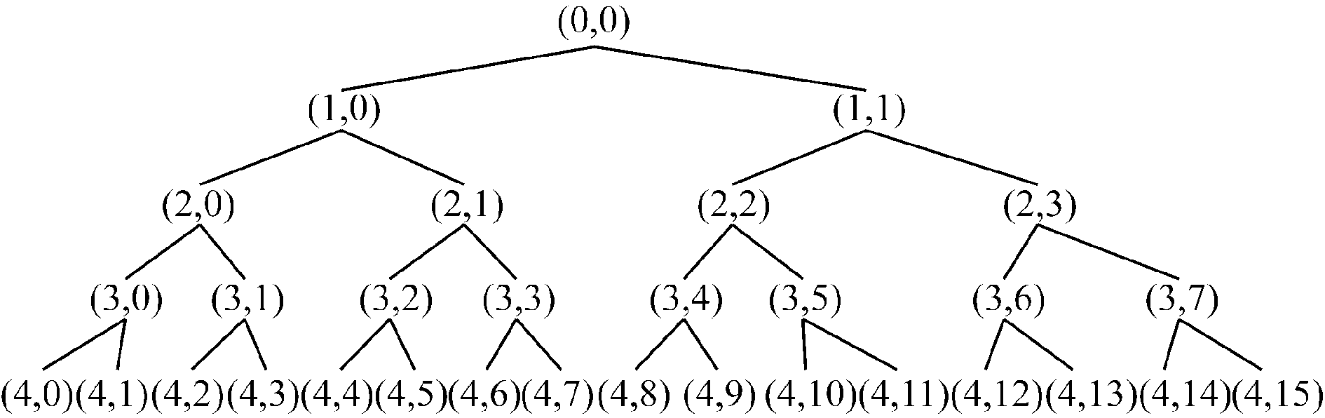
(1) 对采样信号进行小波包分解。提取4层信号特征,分解结构如图2所示。(0,0)表示原始信号S,(1,0)表示第1层的低频数X10,(1,1)表示同层的高频数X11,依此类推。

图2 小波包分解
Fig.2 Wavelet packet decomposition
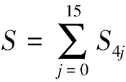
(2) 重构系数。对各频段信号逐一重构,例如X40的信号用S40表示,X41的信号用S41重构,依此类推,可以得到16个重构信号,则S可表示为
(1)
按照第2层的分类,0表示低频信号,1表示高频信号。设一个频率段的长度为0.062 5,则S40对应的频率段为(0,0.062 5),S41对应的频率段为(0.062 5,0.125),依此类推,得到S415对应的频率段为(0.937 5,1)。
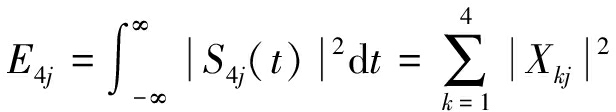
(3) 求解总能量。令E4j(j=0,1,…,15)表示信号S4j的能量,则
(2)
(4) 构建特征向量T。T的表达式为
T=[E40,E41,…,E415]
(3)
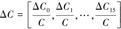
为后续处理方便,用式(4)和式(5)对T进行归一化处理,得到归一化特征向量T′:
(4)
(5)
(5) 确定容差范围与特征值。设C0—C15依次表示T中的16个特征值,容差范围依次为ΔC0—ΔC15,则Cj可表示为
(6)
式中:n为实验次数;E4jk为第k次实验获得的E4j值。
总的容差范围可表示为
(7)
(8)
特征提取流程如图3所示。

图3 特征提取流程
Fig.3 Feature extraction process
采用典型前馈型BP神经网络,由输入层、隐含层和输出层组成。
18个输入特征值如下:摇臂振动传感器X方向信号特征值4个,摇臂振动传感器Z方向信号特征值8个,截割电动机电流信号特征值3个,滚筒轴扭矩信号1个,调高油缸压力传感器信号特征值1个,滚筒轴扭振信号特征值1个。
输出节点确定:采煤机滚筒切割对象可分为4个类别,分别是切割煤层、岩层、煤岩混合煤偏多和煤岩混合岩偏多。因此,神经网络的输出即为需要识别的4种类别,输出层节点数为4。
隐含层数、节点数确定:当隐含层中每个神经元中的激活函数采用S函数时,单层即可满足训练、判决要求,所以,本文采用1层隐含层。由于BP神经网络的输入和输出之间存在一个非线性单调上升函数的关系,隐含层节点较多时会使训练时间过长,较少时又可能得不到理想结果。根据前人对单隐含层节点数的估计方法,即首先运用3种确定隐含层层数的方法得到3个隐含层层数,找到最小值和最大值,然后从最小值开始逐个验证模型预测误差,选取模型误差最小的隐含层层数。最终确定隐层节点数为7。
首先将18个特征值输入神经网络输入层,然后在采煤工作面采煤机进行训练,分别让滚筒切割4种不同对象来分别训练网络,得到神经网络的各个权值,从而得到完整的网络结构。
真机实测具体参数和条件步骤如下:
(1) 首先确定煤层,进行割煤试验目标,通过不同传感器采集数据x(1),x(2),…,x(n),将这些数据输入到神经网络中,通过训练网络,让网络输出理想割煤输出值Y0=(1,0,0,0)。
(2) 确定岩层,采用步骤(1)中的方法得到理想割岩输出Y1=(0,1,0,0)。
(3) 选择煤占70%、岩石占30%的煤岩混合物,重复步骤(1),得到理想混合煤层输出Y2=(0,0,1,0)。
(4) 选择煤占30%、岩石占70%的煤岩混合物,重复步骤(1),得到理想混合煤层输出Y3=(0,0,0,1)。
(5) 经过训练,初次确定神经网络各个权值,即确定神经网络结构。可利用此神经网络判别新采集的数据,将新的数据作为输入,运行神经网络即可得出输出值,从而可判别切割状态。
根据神经网络输出数据和不同煤岩比例的权重值,得到煤岩混合物中的岩占比或煤占比。通过真机实测,采用BP神经网络进行信息融合后得到的识别结果与实际情况对比如图4所示,识别误差如图5所示。

图4 识别结果与实际情况对比
Fig.4 Comparison of identification result and actual situation
从图4可以看出,识别结果与实际情况能够保持较高的一致性,识别误差在±0.5范围内,说明所提方法能够较好地识别煤层和岩层。

图5 识别误差
Fig.5 Identification error
提出了基于多传感器融合的煤岩识别方法。选取采煤机截割电动机电流信号、滚筒轴扭振信号、滚筒轴扭矩信号、摇臂调高油缸压力信号、振动信号作为检测信号,采用小波包进行特征提取,并采用BP神经网络进行数据融合,从而实现对煤层和岩层的识别。真机实测结果证实了所提方法的有效性。
参考文献(References):
[1] 孙继平.基于图像识别的煤岩界面识别方法研究[J].煤炭科学技术,2011,39(2):77-79.
SUN Jiping.Study on identified method of coal and rock interface based on image identification[J].Coal Science and Technology,2011,39(2):77-79.
[2] 刘俊利,王立锋,孔秀平.煤岩界面识别和定位测量方法研究[J].计算机工程与应用,2017,53(8):246-249.
LIU Junli,WANG Lifeng,KONG Xiuping.Research on coal-rock interface recognition and location measurement[J].Computer Engineering and Applications,2017,53(8):246-249.
[3] 张强,王海舰,井旺,等.基于模糊神经网络信息融合的采煤机煤岩识别系统[J].中国机械工程,2016,27(2):201-208.
ZHANG Qiang,WANG Haijian,JING Wang,et al.Shearer's coal-rock recognition system based on fuzzy neural network information fusion[J].China Mechanical Engineering,2016,27(2):201-208.
[4] 张昊,葛世荣.无人驾驶采煤机关键技术探讨[J].工矿自动化,2016,42(2):31-33.
ZHANG Hao,GE Shirong.Study on key technologies of unmanned driving shearer[J].Industry and Mine Automation,2016,42(2):31-33.
[5] 李一鸣 ,柳二猛,焦亚博,等.基于主元分析与神经网络的垮落煤岩性状识别方法研究[J].煤炭工程,2016,48(6):106-109.
LI Yiming,LIU Ermeng,JIAO Yabo,et al.Collapsed coal-rock identification based on principle component analysis and neural network[J].Coal Engineering,2016,48(6):106-109.
[6] DONG Gang,NIE Zhen,WANG Peijun.Path optimization of coal mining machine based on virtual coal-rock interface[C]//International Conference on P2P,Parallel,Grid,Cloud and Internet Computing,Asan,2016:517-523.
[7] 田立勇,毛君,王启铭.基于采煤机摇臂惰轮轴受力分析的综合煤岩识别方法[J].煤炭学报,2016,41(3):782-787.
TIAN Liyong,MAO Jun,WANG Qiming.Coal and rock identification method based on the force of idler shaft in shearer's ranging arm[J].Journal of China Coal Society,2016,41(3):782-787.
[8] 郝清玉,朱元忠,陈健.基于图像多小波变换的煤岩界面识别[J].工矿自动化,2015,41(2):50-53.
HAO Qingyu,ZHU Yuanzhong,CHEN Jian.Coal-rock interface identification based on image multi-wavelet transformation[J].Industry and Mine Automation,2015,41(2):50-53.
[9] 彭静,李新颖,贾君霞.基于Hough变换的煤岩界面识别方案[J].工矿自动化,2015,41(2):54-56.
PENG Jing,LI Xinying,JIA Junxia.Coal-rock interface identification scheme based on Hough transform[J].Industry and Mine Automation,2015,41(2):54-56.
[10] 赵英杰.基于多传感器信息融合技术的煤岩识别方法的研究[D].西安:西安工程大学,2013.
[11] 雒旭蛟.基于信息融合和神经网络的煤岩界面识别方法研究[D].邯郸:河北工程大学,2014.
[12] 王冷.基于模糊神经网络信息融合的采煤机煤岩识别系统[J].现代电子技术,2015,38(23):106-109.
WANG Leng.Coal petrography identification system for coal mining machine based on ANFIS and information fusion[J].Modern Electronics Technique,2015,38(23):106-109.
Identification method of coal and rock based on information fusion and neural network
LEI Jing1, YU Bin2,3
(1.Information Technology Branch, Chengdu Agricultural College, Chengdu 611130, China; 2.School of Mechanical and Electrical Engineering, China University of Mining and Technology, Xuzhou 221116, China; 3.Department of Mechanical Engineering, Xinjiang Institute of Engineering, Urumqi 830023, China)
Abstract:In view of problems that coal and rock identification systems use single sensor to monitor data and have low precision, reliability and stability, an identification method of coal and rock based on information fusion and neural network was proposed. A variety of necessary sensors are added to the existing shearer, which are used to collect current, pressure, vibration frequency, acceleration and other signals of the shearer under different situations. Wavelet packet is used for characteristics extraction, and BP neural network is used for data fusion, so as to achieve coal and rock identification. The test results of the real machine show that the identification error of the proposed method is within ±0.5, which verifies its validity.
Key words:coal mining; coal and rock identification; shearer; multi-sensor system; information fusion; neural network
收稿日期:2017-03-24;
修回日期:2017-07-12;责任编辑:胡娴。
基金项目:成都农业科技职业学院科研项目(CNY15-17)。
作者简介:雷静(1981-),女,四川成都人,讲师,硕士,研究方向为计算机及物联网技术,E-mail:leij81@163.com。
引用格式:雷静,余斌.基于信息融合和神经网络的煤岩识别方法[J].工矿自动化,2017,43(9):102-105. LEI Jing, YU Bin. Identification method of coal and rock based on information fusion and neural network[J].Industry and Mine Automation,2017,43(9):102-105.
文章编号:1671-251X(2017)09-0102-04
DOI:10.13272/j.issn.1671-251x.2017.09.018
中图分类号:TD67
文献标志码:A 网络出版时间:2017-08-28 11:51
网络出版地址:http://kns.cnki.net/kcms/detail/32.1627.TP.20170828.1151.018.html