于群, 陈志慧, 何梓源
(山东科技大学 电气与自动化工程学院, 山东 青岛 266590)
摘要:针对矿井不对称中性点不接地系统发生高阻接地时选相效果不佳的问题,提出了一种基于频数分布理论的矿井供电系统故障选相方法。该方法采集故障后各相电压首个1/2工频周期的数据,然后采用扩展Prony算法拟合采样数据,再应用频数分布理论处理各相电压的采样数据,在此基础上利用贝塞尔公式求出各相电压的频数分布值,通过比较频数分布值大小选出故障相。Matlab仿真与适应性分析结果表明,所提选相方法准确率高,适用于低阻接地与高阻接地的故障状况,对噪声干扰和数据窗长度有较强的适应性,同时不受采样频率和组距的影响。
关键词:矿井供电; 故障选相; 频数分布理论; 扩展Prony算法; 高阻接地
煤矿供电系统大多采用中性点不接地系统,其发生的故障大多为单相接地故障。实际运行中,中性点不接地系统发生单相接地故障后,非故障相电压的升高会危害系统的绝缘薄弱环节,并且煤矿的供电环境比较危险、复杂,可能进一步引发更严重的故障。如果能准确快速地选出故障相,转移故障电流,则能有效避免事故的发生,进而保证供电安全,不影响煤矿的正常生产。现在的一些矿用变电站在发生单相接地故障后,会立即启用故障电流转移装置,防止故障进一步扩大,这对选相的快速性及准确性有较高的要求。一般的选相判据认为电压幅值最小的相或电压最高相的滞后相为故障相[1-3],但在不对称中性点不接地电网发生高阻接地时选相基本失效。文献[3]的各相电压曲线变化图也证实了单相接地故障发生后,故障相的电压并不始终是三相电压中的最小相,说明单纯地依靠电压幅值判断故障相不再可靠。
为解决上述问题,本文提出了基于频数分布理论的矿井供电系统故障选相方法,即直接综合利用故障发生后各相电压波形数据的频数分布选相方法,并通过大量仿真验证了该方法的有效性。该方法不再单独提取各相电压的幅值或相位进行故障相的判定,而是综合利用接地故障发生后的各相电压波形信息,根据用Prony算法提取的工频分量值确定组距范围,选定组距值。然后,对各相电压的采样数据进行频数分布处理,从而选出故障相。该方法适用于不对称中性点不接地系统发生高阻接地的情况,同样适用于低阻接地的故障工况。
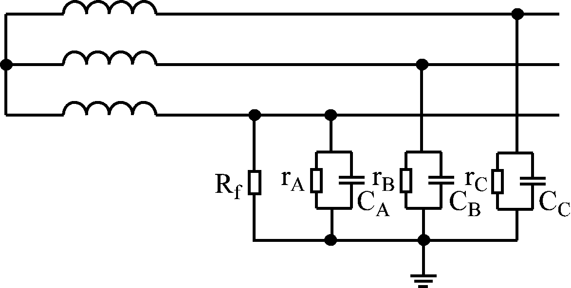
实际应用中,电网不对称是普遍存在的。不对称中性点不接地系统经过渡电阻接地时的简化图如图1所示[4-5]。图1中,rA,rB,rC分别为电网的三相对地绝缘电阻;CA,CB,CC分别为三相对地电容;Rf为故障点接地电阻值。

图1 配电网单相接地故障简化图
Fig.1 The schematic of single phase grounding fault of distribution network
设EA,EB,EC为三相相电压;YA,YB,YC为三相对地导纳;UA,UB,UC为三相对地电压;UN0为中性点对地电压。选取A相相电压EA作为参考相位,则三相对地电压分别为
UA=EA+UN0
(1)
UB=EB+UN0
(2)
UC=EC+UN0
(3)
根据基尔霍夫定律,可得
(EA+UN0)YA+(EB+UN0)YB+(EC+UN0)YC=0
(4)
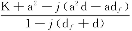
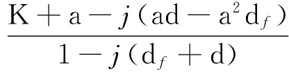
在电网正常运行的情况下,可以认为三相对地绝缘电阻相等,即rA=rB=rC=r0。因此,中性点对地电压UN0可表示为

(5)
式中:a2为单位相量,a2=-
-j
;ω为电网角频率;
=
;K为电网不对称度,K=
;df为由过渡电阻引起的阻尼率,df=
;d为电网的固有阻尼率,d=
。
将式(5)代入式(1)—式(3)可得
UA=
EA
(6)
UB=
EA
(7)
UC=
EA
(8)
上述分析表明,中性点不接地系统的各相对地电压主要由电网不对称度及过渡电阻对应的阻尼率决定。在电网实际运行中,单相接地故障发生后的各相电压是各种故障因素及电网本身的特性共同作用的结果,其中就包括电网不对称及过渡电阻。这也说明各相电压的原始故障波形能全面地反映出故障发生状况。文献[4]中的分析也表明,仅依靠电压的幅值或相位去判断故障相会出现误判的情况。鉴于此,本文不再单独地提取故障后各相电压的幅值或相位来判断故障相,而是直接综合利用各相电压的波形信息进行选相,这是应用频数分布理论进行故障选相的基础。
2.1 基本概念
在统计分组的基础上,按照一定的组距对数据进行分组,然后按组归类整理,形成研究所得的总体数据在各个分组之间的分布特征,即频数分布。为了更清晰地表现数据分布的趋势特征,将直方图中各个表示频数的长方形的中点依次连接起来,形成折线图,简称频数分布折线图。
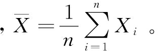
频数分布折线图虽然可以直观表示数据的整体分布趋势,但是需要一个量来衡量测量所得数据整体分布的趋势特征。在数据统计时,采用频数分布值(样本标准差)来表征此趋势特征。频数分布值S通过贝塞尔公式计算得到:
S=![]()
(9)
式中:n为样本量;Xi为第i个样本分量;
为样本均值![]()
2.2 选相判据
根据文献[6]的数据,建立3条电缆线路的中性点不接地系统,为了实现电网的不对称,在各线路其中的一相串入单相线路等效模块。图2为接地电阻为1 500,5 000 Ω时的三相电压波形。可以看出,此时故障相A不再是最小相,传统的选相判据不再适用。

(a) 接地电阻为1 500 Ω时的各相电压波形

(b) 接地电阻为5 000 Ω时的各相电压波形
图2 不同接地电阻下的各相电压波形
Fig.2 Waveform of each phase voltage under different grounding resistances
单相接地故障发生后,各相电压的变化具有一定的规律。电压是由一个个的数据点组成的,各相电压的变化规律也能在数据中体现出来。所以,引入频数分布理论进行数据统计,找出故障相与非故障相电压数据分布的差异。
首先,对各相电压的波形进行直方图分解。在组距M下,将各相电压的波形在幅值上分割成不同的区间,统计各个区间上的电压数据个数,得到各相电压波形的频数分布直方图。对接地电阻为1 500 Ω三相对地电压的波形进行采样,采样频率设为10 kHz,选取1/2工频周期的电压波形数据。在对采样的数据进行频数分布之前,应先选定组距。根据各相电压的工频幅值确定组距,组距必须小于三相电压工频幅值的最小值。采用扩展Prony算法提取各相电压的工频分量,计算得到组距范围为M<7 013 V且M>0,取M为500 V。对采样的100点数据进行频数分布处理,各相电压的频数分布直方图如图3所示。

(a) A相

(b) B相

(c) C相
图3 各相电压的频数分布直方图
Fig.3 Frequency distribution histogram of each phase voltage
由图3可得,通过频数分布直方图不能直观看出故障相与非故障相的频数分布差异。因此,为更清晰地表现频数分布直方图的趋势特征,将直方图中各个表示频数的长方形的中点依次连接起来,如图4所示。

图4 各相电压的频数分布折线图
Fig.4 Frequency distribution line chart of each phase voltage
由图4可知,B,C两相的频数分布趋势明显比A相平缓,表明B,C两相数据分布的离散程度比A相低。为了定量地表示各相电压数据分布的差异性,利用贝塞尔公式计算出各相电压的频数分布值:SA=4.679,SB=3.916,SC=2.419。A相的频数分布值最大,与图4中各相电压的频数分布趋势一致。接地电阻值为5 000,10 000 Ω时的频数分布值分别为4.094,3.355,2.642和4.475,3.144,2.763。可以得出故障相的频数分布值最大,依据最大频数分布值能选出故障相。这种数据分布趋势的差异不是偶然存在的,是由故障发生后各相电压本身的变化特性决定的。接地故障发生后,非故障相电压的变化具有相似性,而故障相电压因过渡电阻等故障因素的共同作用,其电压骤然发生变化,导致其数据分布的离散程度明显高于非故障相。因此,可根据最大频数分布值选出故障相,后续的仿真进一步验证了上述结论。上述故障选相原理表示为
S0>(S1,S2)
(10)
式中:S0为故障相的频数分布值;(S1,S2)为非故障相的频数分布值。
2.3 扩展Prony算法
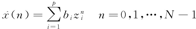
实际的故障信号除含有基波分量,还包括衰减的非周期分量和各种谐波分量,因此,传统的信号分析方法无法准确提取工频分量。扩展Prony算法是用一系列具有任意幅值、相位、频率和衰减因子的指数函数的线性组合来拟合等间隔的采样数据,适合于分析具有衰减过渡特征的故障信号[7-9]。假定用
拟合样本数据x(n),其离散时间的函数形式为
(11)
式中:bi为衰减的直流部分;zi为衰减的余弦分量。
更一般地,假定bi,zi是复数,则有
(n)=
Aiexp(jθi)exp((αi+j2πfi)nΔt)
(12)
式中:Ai为振幅;θi为相位;αi<0,为衰减因子;fi为频率;p为模型阶数;Δt为采样间隔。
中性点不接地系统发生单相接地故障后,按照下列步骤拟合各相电压的采样数据,提取各相电压的工频分量,选出工频分量最小值,从而确定组距范围。扩展Prony算法的详细步骤如下。
(1) 定义样本函数为
r(i,j)=
(n-j)x*(n-i)
(13)
利用式(13)构造矩阵:

(pe>>p)
(14)
(2) 用SVD(Singular Value Decomposition,奇异值分解)-TLS(Total Least Squares,整体最小二乘)方法确定R的有效秩p及自回归(AR)参数α1,α2,…,αp的值。
(3) 求多项式(式(15))的根zi(i=1,2,…,p)。
1+α1z-1+α2z-2+…+αpz-p=0
(15)
(4) 用式(16)计算出
其中n=1,2,…,N-1。
(16)
(5) 利用式(17)计算参数b。

(17)
(6)利用式(18)计算幅值、相位、衰减因子、频率:

(18)
利用Matlab建立不对称中性点不接地接地系统单相接地故障仿真模型[10-14],该配电网的母线电压为10.5 kV,引出5条线路,如图5所示。图5中,DL为电缆线路长度。

图5 中性点不接地系统仿真模型
Fig.5 Simulation model of neutral point ungrounded system
线路参数:正序电阻为0.075 Ω/km,零序电阻为0.102 Ω/km;正序电感为0.254 mH/km,零序电感0.892 mH/km;正序电容为0.318 μF/km,零序电容0.212 μF/km。采样频率为10 kHz,仿真时间设置为0.2 s。
为验证电网不对称度对频数分布选相的影响,分别在线路L1出线的A相、线路L2出线的B相和线路L5出线的C相串入单相PI型线路等效模块,模拟线路分布参数的不平衡,长度分别为0.6,1,2 km,进行2组算例仿真,其中算例1针对低接地电阻值,算例2针对高接地电阻值。
3.1 算例1
线路L1的A相发生接地故障,故障点距离母线5 km,故障初相角为5°。限于篇幅,选取低接地电阻值80 Ω进行仿真。利用扩展Prony算法提取各相电压的工频分量,通过比较各相间工频分量值,得出最小工频分量为275 V,将组距值选定为200 V,频数分布折线图如图6所示。

图6 低故障电阻下的频数分布折线图
Fig.6 Frequency distribution line chart with low fault resistance
由图6可得,A相的频数分布趋势起伏最大,而B,C两相的频数分布趋势较平缓,凭借这一特征很容易选出故障相A,这与前文提出的选相原理完全一致。为更确切地表征故障相与非故障相的频数分布区别,求出相应的频数分布值:6.157,1.215,1.173。由此可得,通过比较频数分布值可以选出故障相。
3.2 算例2
设线路L1的A相发生接地故障,故障点位置距离母线5 km,故障初相角为5°,接地电阻值为2 kΩ,通过扩展Prony算法拟合各相电压波形,比较得出最小工频分量值为2 013 V,选取组距值为800 V,频数分布折线图如图7所示。在该故障条件下,故障初相角很小,故障点接地电阻值很大,这种故障工况十分恶劣。但是,由图7可以看出,相比于非故障相B相和C相,故障相A相的频数分布趋势起伏最大,很容易选出故障相。利用贝塞尔公式计算出各相的频数分布值分别为9.235,5.555,3.191。仿真结果表明,根据最大频数分布值能选出故障相。

图7 高故障电阻下的频数分布折线图
Fig.7 Frequency distribution line chart with high fault resistance
上述仿真算例表明所提出的选相方法是可行的。为了进一步验证该选相方法的适应性,下面对不同故障工况(即故障点与母线的距离Xf,故障点接地电阻值Rf,故障初相角θ)进行适应性分析,还要考虑噪声、采样频率、数据窗长度、组距对选相的影响。
在不同故障条件下,利用扩展Prony算法进行拟合提取,求出各相电压的最小工频值,通过比较不同故障工况下的最小工频分量,将组距统一选定为200 V。
4.1 不同故障工况对选相的影响
分别设定线路L1的A相、B相、C相发生接地故障,对不同故障工况进行大量仿真分析。限于篇幅,表1列出了几种典型故障工况下的仿真结果。在接地电阻为1 000 Ω以上的故障工况中,根据最大频数分布值能准确选出故障相,在其他故障工况下,也能准确选出故障相,说明了该选相方法适用于高阻接地的情况,同样也适用于低阻接地的情况。
4.2 噪声的影响
设线路L1的A相发生单相接地故障,加入20 dB的高斯白噪声,直接对各相电压数据进行频数分布,计算结果见表2。对比表1可知,在相同的故障工况下,由于噪声的干扰,计算的频数分布值不同,但依然能根据最大频数分布值选出故障相。这表明所提选相方法在噪声干扰下有较强的适应性。
4.3 数据窗长度的影响
设线路L5的A相距母线2 km处在故障合闸角为25°时,发生接地电阻为500 Ω的单相接地故障。选取不同的数据窗长度进行仿真,仿真结果见表3,其中T为1个工频周期。可见,随着数据窗长度的增加,根据最大频数分布值能准确判定出故障相。为了保证选相的快速性,并且考虑数据窗长度增加带来的存储问题,本文选取1/2工频周期的数据窗。
表1 不同故障工况下的故障选相结果
Table 1 Fault phase selection results in different initial fault conditions

表2 加入高斯白噪声后的选相结果
Table 2 Selection results after adding Gaussian white noise

表3 不同数据窗下的选相结果
Table 3 Selection results under different data windows

4.4 采样频率的影响
不同的采样频率会产生不同的采样数据序列,因此,需要验证采样频率对选相结果有无影响。设线路L1的A相在距母线6 km处发生接地电阻为1 500 Ω的单相接地故障,故障合闸角为15°,选取不同的采样频率进行仿真,结果见表4。由表4可知,提出的选相方法不受采样频率的影响,说明该选相方法对采样频率的要求比较低。
表4 不同采样频率下的选相结果
Table 4 Selection results under different sampling rates

4.5 组距的影响
设线路L2的A相发生接地故障,故障点距母线3 km,故障合闸角为35°,接地电阻为800 Ω。在组距范围内,选取不同的组距值进行仿真,结果见表5。由表5可知,在不同的组距下,根据最大频数分布值能准确选出故障线路,说明组距的选取对选相没有影响。
表5 不同组距下的选相结果
Table 5 Selection results under different class interval

(1) 提出了基于频数分布理论的不对称中性点不接地配电网单相接地故障选相方法,利用单相接地故障发生后各相电压本身的变化导致数据分布的不同实现选相。该方法综合利用故障发生后各相电压的波形数据,只需定位故障发生的时刻和1/2工频周期的数据,即可判定出故障相。
(2) Matlab仿真结果表明,针对低接地电阻值和高接地电阻值,该方法均可通过比较频数分布值选出故障相。适应性分析结果表明,该方法适用于低阻接地与高阻接地的故障状况,对噪声干扰和数据窗长度有较强的适应性,同时不受采样频率和组距的影响。
(3) 下一步研究重点将是开发基于该选相方法的硬件装置,对方法进行工业现场验证。
参考文献(References):
[1] 刘宝稳,马宏忠.零序电压产生机理及过渡电阻测量和选相方法[J].电网技术,2015,39(5):1444-1449.
LIU Baowen,MA Hongzhong.Transition resistance measurement and fault phase selection under single-phase ground fault based on producing mechanism of zero-sequence voltage[J].Power System Technology,2015,39(5):1444-1449.
[2] 李如琦,黄欢,张振兴,等.小电流系统单相不完全接地故障分析[J].广西大学学报,2007,32(4):367-370.
LI Ruqi,HUANG Huan,ZHANG Zhenxing,et al.Analyzing of single-phase and indirectly grounding fault in small current system[J].Journal of Guangxi University,2007,32(4):367-370.
[3] 秦光培.单相接地时电网各电压变化规律及其应用[J].昆明理工大学学报,1998,23(5):11-16.
QIN Guangpei.Earth voltage variable law and it's application of the network when single phase-ground[J].Journal of Kunming University of Science and Technology,1998,23(5):11-16.
[4] 徐波,张建文,蔡旭,等.电网不对称条件下小电流接地系统接地相辨识[J].电工技术学报,2011,26(12):175-182.
XU Bo,ZHANG Jianwen,CAI Xu,et al.Grounding phase determination in non-effective grounding systems in case of unsymmetrical voltage[J].Transactions of China Electrotechnical Society,2011,26(12):175-182.
[5] 余水忠.小电流接地系统经过渡电阻接地的分析[J].继电器,2001,29(4):21-23.
YU Shuizhong.Analysis of neutral grounded via a transition resistor[J].Relay,2001,29(4):21-23.
[6] 郭谋发,刘世丹,杨耿杰.利用时频谱相似度识别的配电线路接地选线方法[J].中国电机工程学报,2013,30(19):183-190.
GUO Moufa,LIU Shidan,YANG Gengjie.A new approach to detect fault lines in distribution network using similarity recognition based on time-frequency spectrum[J].Proceedings of the Chinese Society for Electrical Engineering,2013,30(19):183-190.
[7] 杨明玉,杨玉坤.基于后向预测Prony算法的超高压输电线路故障选相方案[J].电力系统保护与控制,2011,39(19):94-99.
YANG Mingyu,YANG Yukun.EHV transmission line faulty phase selection scheme based on backward Prony algorithm[J].Power System Protection and Control,2011,39(19):94-99.
[8] 张义龄,高存博,刘明光.扩展PRONY算法在输电线路故障定位中的应用[J].北京交通大学学报,2012,36(2):140-144.
ZHANG Yiling,GAO Cunbo,LIU Mingguang.An extended PRONY algorithm in power transmission lines fault localization[J].Journal of Beijing Jiaotong University,2012,36(2):140-144.
[9] 束洪春.电力工程信号处理应用[M].北京:科学出版社,2009:185-196.
[10] 李晓波,刘宝稳,王崇林.谐振接地系统零序电压轨迹及精确控制方法[J].电网技术,2013,31(9):2669-2674.
LI Xiaobo,LIU Baowen,WANG Chonglin.Zero-sequence voltage locus of resonant grounded system and its accurate control[J].Power System Technology,2013,31(9):2669-2674.
[11] 尹德昌,赵峰.10 kV配电网单相接地故障选线与仿真研究[J].科学技术与工程,2013,13(6):1609-1616.
YIN Dechang,ZHAO Feng.Simulation research and fault line selection of single-phase grounding fault in 10 kV distribution network[J].Science Technology and Engineering,2013,13(6):1609-1616.
[12] 王晓卫,侯雅晓,田书,等.基于时频原子灰色关联的小电流接地故障选线方法[J].煤炭学报,2014,39(10):2147-2156.
WANG Xiaowei,HOU Yaxiao,TIAN Shu,et al.A novel fault line selection method based on time-frequency atom decomposition and grey correlation analysis of small current to ground system[J].Journal of China Coal Society,2014,39(10):2147-2156.
[13] 王清亮,赵东强,邵磊,等.适用于矿山电网的单相接地故障选线新方法[J].工矿自动化,2016,42(10):40-44.
WANG Qingliang,ZHAO Dongqiang,SHAO Lei,et al.A novel line selection method of single phase grounding fault suitable for coal mine power network[J].Industry and Mine Automation,2016,42(10):40-44.
[14] 于群,曹娜.Matlab/Simulink电力系统建模与仿真[M].北京:机械工业出版社,2011:119-123.
Fault phase selection of mine power supply system based on frequency distribution theory
YU Qun, CHEN Zhihui, HE Ziyuan
(College of Electrical Engineering and Automation, Shandong University of Science and Technology,Qingdao 266590, China)
Abstract:In view of the problem of ineffective selection of asymmetric mine neutral point ungrounded system while high resistance grounding occurs, a fault phase selection of mine power supply system based on frequency distribution theory was proposed. Each phase voltage after the fault of the first 1/2 frequency cycle was collected, and extended Prony algorithm was used to fit the collected data, then the frequency distribution theory was used to process the sampled voltage of each phase. On the basis, frequency distributions of voltage of each phase were obtained by Bessel formula, and the fault phase was selected by comparing the magnitude of the frequency distribution. The results of Matlab simulation and adaptability analysis show that the proposed method has high accuracy and is applicable to fault conditions of low impedance grounding and high impedance grounding. It has strong adaptability to noise interference and data window length, and is not affected by sampling frequency and group distance.
Key words:mine power supply; fault phase selection; frequency distribution theory; extended Prony algorithm; high resistance grounding
收稿日期:2017-04-21;
修回日期:2017-06-28;责任编辑:胡娴。
基金项目:山东省自然科学基金资助项目(ZR2016EEM13)。
作者简介:于群(1970-),男,山东淄博人,教授,博士,主要研究方向为电力系统安全分析、电力系统继电保护,E-mail:yuqun_70@163.com。
引用格式:于群,陈志慧,何梓源.基于频数分布理论的矿井供电系统故障选相[J].工矿自动化,2017,43(8):76-82. YU Qun, CHEN Zhihui, HE Ziyuan. Fault phase selection of mine power supply system based on frequency distribution theory[J].Industry and Mine Automation,2017,43(8):76-82.
文章编号:1671-251X(2017)08-0076-07
DOI:10.13272/j.issn.1671-251x.2017.08.015
中图分类号:TD61
文献标志码:A 网络出版时间:2017-07-27 10:22
网络出版地址:http://kns.cnki.net/kcms/detail/32.1627.TP.20170727.1022.015.html