郭永存1, 方成1, 王鹏彧1,2, 陈健康1
(1.安徽理工大学 安徽矿山机电装备协同创新中心, 安徽 淮南 232001;2.中国科学院 合肥物质科学研究院, 安徽 合肥 230000)
摘要:针对大功率可调速型盘式磁力耦合器运行时,永磁体温度过高且易失效的问题,采用磁路法对导体转子的涡流损耗进行了理论推导,利用有限元软件对大功率高负载工况下的磁力耦合器永磁体稳态温度场进行了研究。研究结果表明,随着转差增大,磁力耦合器中的永磁体温度呈现出逐步增大的趋势;随着磁力耦合器气隙距离的减小,永磁体的最高温度逐步升高;当磁力耦合器的转差在180 r/min以下,气隙不小于18 mm时,其永磁体温度将保持在55 ℃以下,永磁体的最大磁能积和剩磁几乎不受影响,可保证磁力耦合器正常高效工作;当磁力耦合器处于大功率高负载工作状态下,气隙距离对永磁体的温度状态影响显著,当转差为180 r/min,气隙小于15 mm时,永磁体温度将急剧上升,当气隙减小至3 mm时,永磁体的实际最高温度将达到180 ℃以上,剩磁相比于室温下降接近20%,最大磁能积下降约45%。该研究成果对大功率磁力耦合器温度场研究具有一定的参考意义。
关键词:磁力耦合器; 永磁转子; 温度场; 气隙; 转差; 涡流损耗; 磁路法
可调速型盘式磁力耦合器是基于电磁感应原理研制出的新型传动装置,具有免维护、高效节能、稳定可靠、 过载保护等优点,在大功率及恶劣的工作环境下,其稳定性尤为突出,广泛应用于不同类型通风机、物料输送机、提升机等机械设备[1]。可调速型盘式磁力耦合器结构如图1所示,主要由永磁转子、导体转子、气隙调整机构等组成。与电动机相同,温升也是磁力耦合器运行时的主要问题之一[2]。以往对磁力耦合器的温度场研究主要集中在电磁损耗和整体温升方面。文献[3]以电磁场理论和温度场理论为指导,对调磁式异步磁力联轴器的电磁特性和温升进行了系统研究。文献[4]对磁力耦合器中高导电层造成的损耗进行了理论计算,并对其进行了试验验证,试验结果和理论计算具有一致性。文献[5-6]分别应用解析法和麦克斯韦时变方程推导了损耗公式并对鼠笼异步磁力联轴器进行了三维温度场分析。

1-负载轴;2-气隙调整机构;3-导体转子;4-永磁转子;5-电动机轴
图1 可调速型盘式磁力耦合器结构
Fig.1 Structure of disc-type speed-regulation magnetic coupler
永磁转子作为实现磁连接的重要部件,其永磁材料为NdFeB,该材料磁体性能优越,但耐热性差,并且多数情况下需采用保护涂层。如果热量不能及时发散,永磁体温度过高会发生退磁现象,使磁力耦合器的工作效率降低甚至损坏设备。因此,对不同工况下磁力耦合器永磁体的温度场的研究是非常必要的。本文以可调速型盘式磁力耦合器为例,通过有限元软件建立了三维温度场有限元模型,并基于该模型分析了大功率高负载工况下磁力耦合器永磁体温度场,最后利用试验装置进行了试验测试。
1.1 永磁体温度变化影响因素分析
可调速型盘式磁力耦合器在工作过程中不仅存在着电磁损耗,还有机械损耗。其中,电磁损耗主要包括导体转子上的铜损、轭铁处的铁损等;机械损耗主要包括转子表面的风磨损耗[7]。运行时产生的电磁损耗是永磁转子热量的主要来源,因此,本文对铜导体处的铜损进行了理论计算。
1.2 基本假设
采用磁路法进行损耗计算之前做如下假设:① 磁力耦合器的气隙很小时,忽略永磁体漏磁;② 永磁体磁场在气隙中均匀分布;③ 永磁体发出的磁力线切割铜盘的有效面积为铜盘每极的计算面积;④ 不考虑磁路饱和。
1.3 磁路法求解
通过文献[8],引入磁路法,将磁力耦合器的磁路分为3个部分:主磁路、气隙漏磁和单个磁极漏磁。一对N、S极可以构成一个闭合回路,相邻两永磁体极可构成一个大小相等、方向相反的磁动势,将相邻两磁极磁路等效为一个磁极的磁路,如图2(a)所示。又由于轭铁均为高导磁材料,在工程计算中,可以忽略其磁阻,将其进一步简化为一个磁极的磁路[9],如图2(b)所示。图中,F1为一个磁极的磁动势,At;R0为铜盘轭铁的磁阻,H;R1为铜盘处的磁阻,H;Rδ为气隙磁阻,H;R2为永磁体内磁阻,H;R3为永磁体轭铁处磁阻,H。

图2 磁力耦合器等效磁路
Fig.2 Equivalent magnetic circuit diagram of magnetic coupler
气隙、钢盘、永磁体的相对磁导率都可以看成是与空气的相对磁导率(μr≈1)相近,磁阻较大。简化后的磁阻为
Rm=R1+Rδ+R2=
+
+![]()
(1)
式中:δ为气隙距离,mm;lm1为铜盘厚度,mm;lm2为永磁体厚度,mm;Am为永磁体截面积,mm2;μ0为铜盘的相对磁导率,H/m。
由文献[10]可得,瞬时涡流为
i=![]()
(2)
式中:B为永磁体和涡流共同作用气隙处的磁感应强度,T;ω=pΔω,p为磁极对数,Δω为转差,r/min; d为永磁体等效截面直径,mm;ρ为铜盘电阻率,Ω·m;Δh为集肤深度,mm。
B=![]()
(3)
Δh=![]()
(4)
式中:Hc为矫顽力,A/m;L为永磁体极化方向长度,mm;ke为等效折算系数。
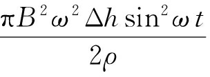
由瞬时涡流可得瞬时功率为
dP=εdi=
r3dr
(5)
式中r为永磁体等效截面半径,mm。
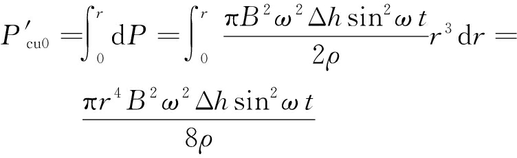
积分可得一个永磁体对应涡流区域涡流损失功率为

(6)
则一个永磁体在磁场变化一个周期的涡流损耗有效功率为
Pcu0=![]()
(7)
故当转速为n时,一个铜盘上损失的总涡流损耗为
Pcu=nPcu0=![]()
(8)
2.1 基本假设
可调速型盘式磁力耦合器2个永磁转子之间的间距保持在200 mm以上,并且背面包有保护层,故磁力耦合器工作时,双盘之间的热量影响可忽略不计,这里取一侧单盘进行温升求解。
为简化计算,进行以下假设:① 不考虑导体转子上的集肤效应影响,热源载荷平均施加于热源内部。② 磁力耦合器各部件材料的导热系数、比热容、密度等参数均为常数,不受温度影响。③ 磁力耦合器外部为自然通风冷却,只考虑其表面与空气的对流换热,不考虑外部散热环境的变化。④ 忽略磁力耦合器内部电磁波的热辐射。⑤ 忽略机械损耗对温度的影响。
2.2 三维温度场热参数计算
2.2.1 热源
由于磁力耦合器工作过程中铜盘上产生的电磁损耗是永磁转子热量的主要来源[11],故设定磁力耦合器内部的主要热源为铜导体。铜盘损耗的平均热源密度为
q=![]()
(9)
式中:P1为铜盘损耗功率,W;V为热源的体积,mm3。
结合式(8),便可得到平均热源密度的理论公式,将此项热载荷以内部热生成的方式施加在模型中,便可为磁力耦合器温度场计算提供热载荷参数。
2.2.2 导热系数
导热系数描述的是材料导热性能,一般固态金属的导热系数随温度变化不大,可查阅相关文献得出磁力耦合器上轭铁、永磁体及铜导体的的导热系数[12]。而磁力耦合器气隙处的空气导热系数受温度、压力等因素影响较为明显。因而,使用热传导的的换热方式代替热对流的换热方式,其有效导热系数λe的计算公式[13]为
λe=0.001 9ζ-2.908 4Re0.461 4ln(3.333 6ζ)
(10)
式中:ζ=d2/d1,d1、d2分别为导体转子和永磁转子直径,mm;Re为气隙的雷诺系数,Re=πd2l2n/(60γ),l2为气隙厚度,mm,γ为空气运动黏度,Pa·s。
2.2.3 散热系数
在对流换热时,通过发热体表面的热流密度取决于冷却介质与发热体表面温度差及散热系数。由于散热系数受诸多因素影响,无法准确计算实际数值,一般采用经验公式给定[14]。转子的各个外圆表面的散热系数a1的计算公式为
a1=
×104
(11)
式中v1为风冷气体介质流速,此处取v1=πnd1/60。
转子轭铁端面与气隙交界处的散热系数a2的计算公式为
a2=28(1+
)
(12)
式中v2为端面处轴向气流速度,此处假定为转子平均圆周速度的10%。
转子表面与气隙处的散热系数a3的计算公式为
a3=0.023Re0.8Pr0.4![]()
(13)
式中:Pr为普朗特数,此处给定为0.713;λa为空气的导热系数。
2.3 模拟结果
将上述求得的导热系数、散热系数及热源参数施加到磁力耦合器求解模型中,取气隙为18 mm,输入转速为1 000 r/min,环境的初始温度为15 ℃,即可进行磁力耦合器的稳态温度场分析。为研究磁力耦合器在大功率工况下的永磁体温度场,取正常及5种大功率工况下所对应的不同转差率进行模拟分析。转差Δω分别取30,60,90,120,150,180 r/min时,磁力耦合器永磁体的温度曲线及分布云图分别如图3和图4所示。

图3 不同转差量下的永磁体温度曲线
Fig.3 Temperature curve of permanent magnets under different slips

图4 不同转差量下的永磁体温度分布云图
Fig.4 The temperature field cloud picture under different slips
由图3、图4可以看出,随着转差增大,磁力耦合器中的永磁体温度呈现出逐步增大的趋势,结合式(8)可知,随着转差Δω增大,热源损耗Pcu也增大,铜盘的温度升高,传导至永磁体上的热量增多。在转差达到180 r/min的极限情况下,永磁体最高温度为51.86 ℃,而外侧温度最低为27.78 ℃。永磁转子的最高温度均出现在永磁体内侧的中心位置,与轭铁相接触的一侧温度相对最低。由于导体转子为磁力耦合器的主要热源,通过与内、外侧的空气对流换热来发散热量,但内侧空气与导体转子对流换热很快达到热饱和,故永磁体内侧具有比较高的温度。
在此基础上,取转差Δω为180 r/min,分别设定不同的气隙距离,进一步模拟磁力耦合器在大功率高负载工况下的温度场特性。不同气隙下的永磁体温度见表1。
从表1中可知,随着磁力耦合器气隙距离的减小,永磁体的最高温度逐步升高。当工作气隙调节至15 mm以下时,永磁体最高温度急剧上升,当气隙达到3 mm时,磁力耦合器中永磁体的最高温度达到217.12 ℃,如图5所示。
由文献[15]可知,永磁体在空气气隙中产生的磁场强度主要决定于磁铁内部的最大磁能积和剩磁,两者的实测值越大,在气隙中产生的磁场越大,磁力耦合器工作时能传递的工作扭矩也就越大。烧结NdFeB的剩磁(Br)和最大磁能积((BH)max)随温度变化的下降情况如图6所示。
表1 不同气隙下的永磁体温度
Table 1 Temperature of permanent magnets under different air gaps


图5 气隙为3 mm的温度场分布云图
Fig.5 Temperature field cloud picture under air gap is 3 mm

图6 烧结NdFeB磁性能随温度变化曲线
Fig.6 Temperature change curve of magnetic properties of sintered NdFeB
可调速型盘式磁力耦合器测试装置如图7所示,主要由输入电动机、负载电动机、风扇、扭矩、速度传感器、磁力耦合器、气隙调节装置、温度传感器等组成。测试装置由PLC控制的变频电动机提供动力,磁力耦合器采用空气冷却方式降温,通过气隙调节装置改变永磁体和铜盘间的气隙大小。

(a) 装置组成

(b) 装置实物
图7 可调速型盘式磁力耦合器测试装置
Fig.7 Test device of disc-type speed-regulation magnetic coupler
测试装置中设置了工业级红外温度传感器,其温度测试范围为-20~1 200 ℃(分段可扩展),测温精度为测量值的±1%或者±1 ℃。通过装置,测试了前文中2组工况下永磁体的温度情况,并与模拟结果进行对比分析,如图8所示。

(a) 气隙为18 mm并改变转差

(b) 转差为180 r/min并改变气隙
图8 测试温度曲线
Fig.8 Test temperature curve
从图8可以看出:① 转差在180 r/min以下,气隙不小于18 mm的工况下,磁力耦合器的永磁体温度都将保持在55 ℃以下;随着气隙距离逐渐缩短,永磁体温度逐渐升高,当气隙距离小于15 mm时,永磁体温度急剧上升。气隙缩减至3 mm时,永磁体实际温度将达到180 ℃以上。② 与模拟结果相对比,实际测试值存在一定的偏差,这是因为温度传感器只能探测所对某点的温度状态,可能会与永磁体最高温度位置有所偏差,但整体温度趋势一致,有较好的参考价值。
运用磁路法对可调速型盘式磁力耦合器导体转子涡流损耗进行了推导,利用有限元软件对给定参数的可调速型盘式磁力耦合器进行了稳态温度场研究,试验结果与模拟值基本一致。
(1) 当磁力耦合器的气隙不小于18 mm,转差在180 r/min以下,其永磁体温度将保持在55 ℃以下,永磁体的最大磁能积和剩磁几乎不受影响,远未达到危险温度,可保证磁力耦合器正常高效工作。
(2) 当磁力耦合器处于大功率、高负载工作状态下,气隙距离对永磁体的温度状态影响显著。当转差为180 r/min,气隙小于15 mm时,永磁体温度将急剧上升;当气隙小于9 mm时,永磁体最高温度接近100 ℃,剩磁相比于室温下降7.6%,最大磁能积降低14.9%;当气隙减小至3 mm时,永磁体的实际最高温度将达到180 ℃以上,剩磁相比于室温下降接近20%,最大磁能积下降约45%。为保证可调速型盘式磁力耦合器正常工作及安全可靠,应尽量避免以上的危险工作状态。若要求磁力耦合器在此类工况下运行,需进一步改善其冷却系统,如将风冷变为液体冷却等。
参考文献(References):
[1] 赵清,邵龙,于静泽,等.变速磁力耦合器研究[J].电气应用,2013(4):82-87.
ZHAO Qing,SHAO Long,YU Jingze,et al.Research on variable speed magnetic coupling[J].Electrical Application,2013(4):82-87.
[2] MICHAEL P C,HENSLEY S L,GALEA C A,et al.Noncontact high-torque magnetic coupler for superconducting rotating machines[J].IEEE Transactions on Applied Superconductivity,2016,26(4):1-5.
[3] 周曰华.调磁式异步磁力联轴器的电磁特性与温度场研究[D].镇江:江苏大学,2013.
[4] MATSUMOTO T R,CHABU I E.Study of losses in permanent magnet couplings due to highly conductive walls[C]//IEEE International Conference on Electrical Machines,2014:1430-1436.
[5] 杨超君,周曰华,李志宝.鼠笼异步磁力联轴器三维温度场有限元分析[J].机械设计与研究,2013,29(1):25-28.
YANG Chaojun,ZHOU Yuehua,LI Zhibao.Analysis on 3D temperature field of squirrel-cage asynchronous magnetic coupling[J].Machine Design and Research,2013,29(1):25-28.
[6] 陈志鹏,杨超君,孔令营.鼠笼异步磁力联轴器隔离套的损耗计算及温度场分析[J].机械传动,2014(4):114-118.
CHEN Zhipeng,YANG Chaojun,KONG Lingying.Loss calculation and analysis of temperature field of the isolation units in squirrel-cage asynchronous magnetic coupling[J].Journal of Machine Transmission,2014(4):114-118.
[7] 张宏刚.永磁磁力耦合器损耗的计算与分析[D].长春:吉林大学,2008.
[8] ZHAO X B,CHANG-YING J I,HUANG Y Q,et al.Eddy current analysis and braking moment calculation of permanent magnet typed eddy current retarder[J].Journal of Machine Design,2008.
[9] PENG Ying,RUAN Jiangjun,ZHANG Yu,et al.A composite grid method for moving conductor eddy-current problem[J].IEEE Transactions on Magnetics,2007,43(7):3259-3265.
[10] 牛耀宏.矿用永磁磁力耦合器设计理论及实验研究[D].北京:中国矿业大学(北京),2014.
[11] 杨超君,蒋生发,侯志纬,等.永磁感应式磁力传动装置:2684450[P].2005-03-09.
[12] 吴恒颛.电机常用材料手册[M].西安:陕西科学技术出版社,2001.
[13] 管春松.盘式异步磁力联轴器的电磁特性与温度场性能研究[D].镇江:江苏大学,2012.
[14] STATON D A,CAVAGNINO A.Convection heat transfer and flow calculations suitable for electric machines thermal models[J].IEEE Transactions on Industrial Electronics,2008,55(10):3509-3516.
[15] 王凌燕,于旭光,张翼,等.温度对33EH高性能烧结钕铁硼永磁体磁性能的影响[J].特殊钢,2015,36(1):45-48.
WANG Lingyan,YU Xuguang,ZHANG Yi,et al.Effect of temperature on magnetic performance of 33EH high quality sintered NdFeB permanent magnets[J].Special Steel,2015,36(1):45-48.
Research on temperature field of permanent magnet in disc-type speed-regulation magnetic coupler
GUO Yongcun1, FANG Cheng1, WANG Pengyu1,2, CHEN Jiankang1
(1.Anhui Mining Machinery and Electrical Equipment Collaborative Innovation Center, Anhui University of Science and Technology, Huainan 232001, China; 2.Hefei Institute of Material Science, Chinese Academy of Sciences, Hefei 230000, China)
Abstract:In view of problems that temperature of permanent magnet is too high and easy to fail when disc-type speed-regulation magnetic coupler with high power is running, a magnetic circuit method was used to make theoretical derivation for eddy-current loss of conductor rotor, and finite element software was used to carry out research on steady-state temperature field for permanent magnet of magnetic coupler under condition of high power and high load. The research results show that with increasing of slip, temperature of the permanent magnet of the magnetic coupler increases; with decreasing of air gap distance of the magnetic coupler, the maximum temperature of the permanent magnet gradually rises. When slip of the magnetic coupler is in 180 r/min range, the air gap is no less than 18 mm, temperature of the permanent magnet will remain below 55 ℃,the maximum magnetic energy area and remanence of the permanent magnet are almost unaffected, and the normal and efficient operation of the magnetic coupler can be ensured. When the magnetic coupler is in working state of high power and high load, the air gap distance has a significant influence on the temperature state of the permanent magnet. When the slip is 180 r/min, the air gap is less than 15 mm, the temperature of the permanent magnet would rise sharply. When the air gap is reduced to 3 mm, the maximum temperature of the permanent magnet will reach over 180 ℃, and the magnetic remanence will be close to 20% compared with the room temperature, and the maximum energy product will decrease by about 45%. The research results have a guiding significant meaning for temperature field analysis of the high power magnetic coupler.
Key words:magnetic coupler; permanent magnet rotor; temperature field; air gap; slip; eddy-current loss; magnetic circuit method
收稿日期:2017-01-10;
修回日期:2017-03-06;责任编辑:张强。
基金项目:高等学校博士学科点专项科研基金项目(20133415110003);2016年度安徽高校自然科学研究项目(KJ2016A199);2013高校省级优秀青年人才基金重点项目(2013SQRL027ZD)。
作者简介:郭永存(1965-),男,安徽舒城人,教授,博士研究生导师,研究方向为永磁涡流传动,E-mail:472037113@qq.com。通信作者:方成(1992-),男,安徽黄山人,硕士研究生,主要研究方向为永磁涡流耦合器,E-mail 857283365@qq.com。
引用格式:郭永存,方成,王鹏彧,等.可调速型盘式磁力耦合器永磁体温度场研究[J].工矿自动化,2017,43(8):61-66. GUO Yongcun, FANG Cheng, WANG Pengyu, et al. Research on temperature field of permanent magnet in disc-type speed-regulation magnetic coupler[J].Industry and Mine Automation,2017,43(8):61-66.
文章编号:1671-251X(2017)08-0061-06
DOI:10.13272/j.issn.1671-251x.2017.08.012
中图分类号:TD67
文献标志码:A 网络出版时间:2017-07-27 10:12
网络出版地址:http://kns.cnki.net/kcms/detail/32.1627.TP.20170727.1012.012.html