刘溯奇1,2, 谭建平1,2, 文学1,2
(1.高性能复杂制造国家重点实验室, 湖南 长沙 410083; 2.中南大学 机电工程学院, 湖南 长沙 410083)
摘要:针对三线圈无线电能传输系统中继线圈位置变化会改变系统传输性能的实际问题,研究了三线圈无线电能传输系统耦合机理;通过建立三线圈无线电能传输系统等效电路模型,推导出系统输出功率增益和传输效率基本特性公式,分析了系统输出功率增益、传输效率与特性参数的相互作用机理,得出了系统输出功率增益、传输效率各自的规律;设计开发了无线电能传输实验系统,验证了理论分析的正确性。
关键词:无线电能传输; 三线圈; 中继线圈; 耦合机理; 输出功率增益; 传输效率
无线电能传输(Wireless Power Transmission,WPT)技术是用电设备以非接触方式从电源获取能量的一项技术,实现了电源和用电设备的完全电气隔离,传输过程安全、可靠,灵活度高[1-4]。
2007年美国麻省理工学院科研团队在WPT原理上取得突破性进展后,国内外研究人员针对磁耦合谐振式WPT技术开展了理论建模[5-6]、性能优化[7]、传输特性[8-12]等多方面研究。在多线圈传输系统特性与性能优化方面,国内外学者相继开展了三线圈结构[13]、四线圈结构[14]和多线圈结构[15]的传输特性研究。文献[16]针对线圈间互感与线圈位置的相互约束关系,提出一种在任意给定原级线圈和负载线圈条件下的中继线圈位置优化模型。该模型以电能传输效率为优化目标,综合考虑3个线圈相互间的互感和负载等参数,通过计算机辅助设计解决了寻找中继线圈最优位置的问题,但未能从机理上进行精确建模分析。文献[17]针对单中继线圈的WPT系统,从其等效电路归一化模型入手,详细分析发射线圈和接收线圈之间的交叉耦合对各回路电流和系统传输功率、效率的影响;给出了交叉耦合效应是否可忽略的判定条件,并提出了一种简便的在各回路中通过附加串联电抗以补偿三线圈(发射-中继-接收)WPT系统交叉耦合效应的方法。文献[18]对插入单中继线圈的磁耦合谐振式无线功率接力传输系统进行了研究,得出临界耦合条件和最大功率传输条件;研究了发射线圈和接收线圈之间的交叉耦合系数对系统的影响,并得到避免其不利影响的设计准则;但文献中经过多次简化所建立的理论模型主要分析了发射线圈与接收线圈阻抗相等的特殊情况,未对三线圈阻抗不相等的情况所表现出来的系统特性和实验现象进行研究。
以上研究虽然在中继线圈位置优化、三线圈交叉耦合效应、三线圈耦合系统理论建模等方面取得了较大进展,但由于现有文献对三线圈耦合机理建模进行了简化处理,某些机理未能揭示,理论与实验研究有待进一步深入开展。鉴此,本文在上述文献研究成果的基础上,建立了三线圈WPT系统等效电路模型;推导出了系统输出功率增益和传输效率基本特性公式,分析了系统输出功率增益、传输效率与特性参数的相互作用机理,得出了系统输出功率增益、传输效率各自的规律;设计并搭建了三线圈WPT实验系统,验证了理论分析的正确性。研究结论为分析与优化三线圈WPT系统提供了一定的理论基础。
1.1 系统拓扑结构
三线圈WPT系统结构如图1所示,其中US为高频电压源;C1,C2和C3分别为发射线圈、中继线圈和接收线圈回路的补偿电容(包括外加电容和寄生电容);RL为负载电阻;d1,d2分别为发射线圈与中继线圈、中继线圈与接收线圈之间的耦合距离。三线圈结构与两线圈结构相比,主要区别是在发射线圈和接收线圈之间增加了1个中继线圈。三线圈均为空心螺旋线圈,由于3个线圈在高频时会产生自感和寄生电容,通过外加谐振补偿电容可使线圈的谐振频率和高频电压源频率相同,从而使得系统发生谐振,实现无线电能传输。

图1 三线圈结构
Fig.1 Three coils structure
1.2 系统等效电路模型与分析
以1个串联补偿型三线圈WPT系统为研究对象,根据图1可建立三线圈WPT系统等效电路模型,如图2所示。图2中:UL为负载电压;i1,i2,i3分别为发射回路、中继回路、接收回路的高频电流;L1,L2,L3分别为发射线圈、中继线圈、接收线圈的电感;R1,R2,R3分别为发射回路、中继回路、接收回路的损耗电阻和辐射电阻之和;RS为高频电压源US的内阻;M1,M2,M3分别为发射线圈与中继线圈、中继线圈与接收线圈、发射线圈与接收线圈之间的互感。

图2 三线圈WPT系统等效电路模型
Fig.2 Equivalent circuit model of WPT system with three coils
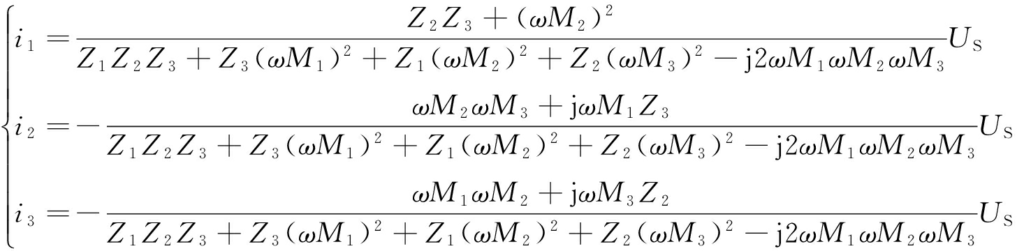
根据基尔霍夫电压定律,ZI=U,若系统工作角频率为ω,则有

(1)
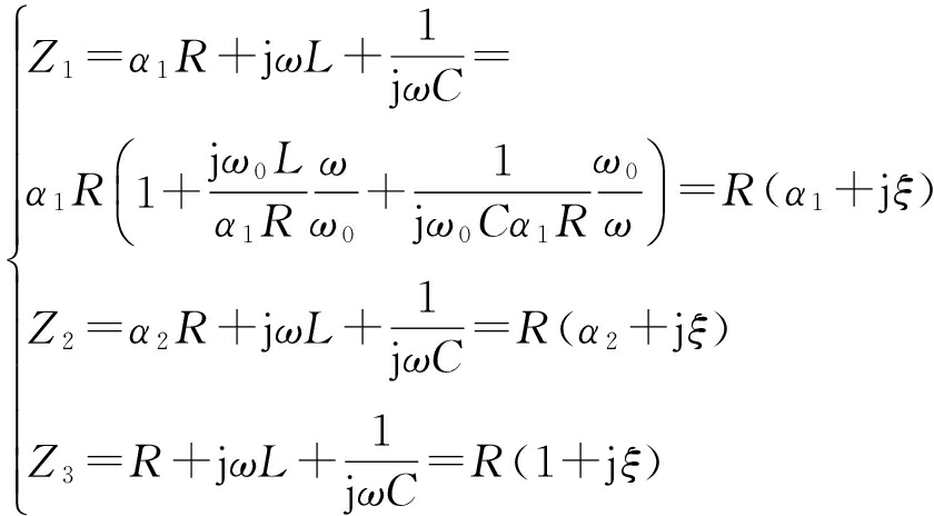
式中:Z1,Z2,Z3分别为发射回路、中继回路和接收回路的自阻抗,计算公式为

(2)
根据式(1)可求得回路电流为

(3)
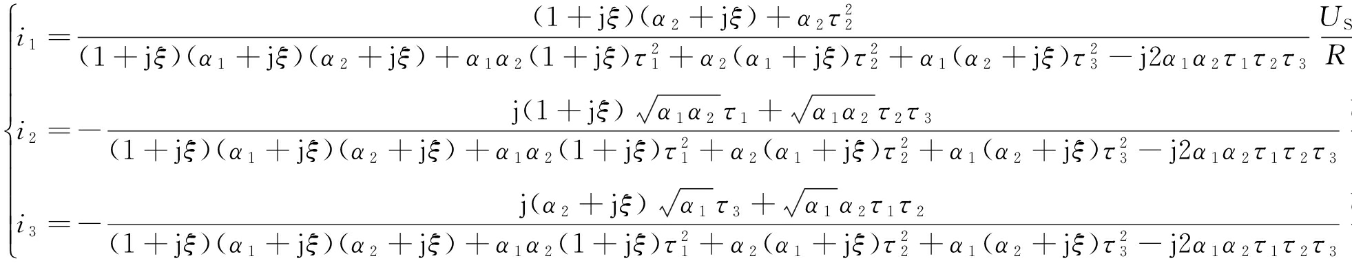
为了分析方便,令C1=C2=C3=C,R3+RL=R,RL=βR(β为负载阻抗比例因子),RS+R1=α1R(α1为发射回路与接收回路阻抗之比),R2=α2R(α2为中继回路与接收回路阻抗之比),L1=L2=L3=L,电路谐振角频率ω0=1/
,品质因数Q=ω0L/R=1/(ω0CR),引入广义失谐因子ξ,ξ=Q(ω/ω0-ω0/ω),则发射回路和接收回路的有载品质因数分别为Q1=ω0L/(RS+R1)=Q/α1,Q3=ω0L/(R3+RL)=Q,中继回路的无载品质因数Q2=ω0L/R2=Q/α2,则式(2)可进一步化简为

(4)
定义广义耦合因子为

(5)
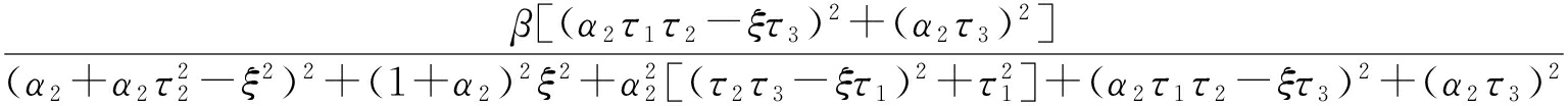
将式(4)和式(5)代入式(3)可求得发射回路、中继回路与接收回路的电流,如式(6)所示。由接收回路等效电流i3容易得到负载RL吸收的功率Pout (即系统输出功率),如式(7)所示。系统输入功率Pin包含3个部分:① 发射回路电阻(RS+R1=α1R)所消耗的功率;② 中继回路电阻(R2=α2R)所消耗的功率;③ 接收回路电阻(R3+RL=R)所消耗的功率。因此,系统传输效率η,即系统输出功率Pout与系统输入功率Pin的比值如式(8)所示。

(6)
![]()
![]()
(7)
η=
=
= ![]()
(8)
1.3 系统特性参数分析
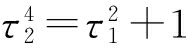
1.3.1 系统输出功率增益与特性参数
为了研究系统输出功率增益与特性参数之间的内在关系,令式(1)中阻抗矩阵行列式的虚部为0,忽略高次项2α1α2τ1τ2τ3,得到系统在ξ=0或ξ=±
时取得输出功率极值。当ξ=0,τ3=0时,取得系统输出功率最大值Poutmax:
Poutmax=
≤![]()
(9)
式(9)取等号的条件是τ1=τ2。从式(9)可知,系统输出功率最大值与τ1τ2的取值有关,当τ1τ2>>1时![]()
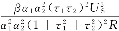
由式(7)和式(9)可得系统输出功率增益(即归一化的系统输出功率)为
Ψ=
=![]()
(10)
由式(10)得到系统输出功率增益特性响应曲线,如图3—图6所示。

图3 α2=0.1,τ1=2, τ3=0时系统输出功率增益特性响应曲线
Fig.3 α2=0.1,τ2=2, τ3=0, Characteristic response curve of normalized output power gain

图4 α2=0.1,τ1=4, τ3=0时系统输出功率增益特性响应曲线
Fig.4 α2=0.1,τ1=4, τ3=0, Characteristic response curve of normalized output power gain

图5 α1=1,τ1=4, τ3=0时系统输出功率增益特性响应曲线
Fig.5 α1=1,τ1=4, τ3=0, Characteristic response curve of normalized output power gain

图6 α1=1, τ1=4, τ3≠0时系统输出功率增益特性响应曲线
Fig.6 α1=1, τ1=4, τ3≠0, Characteristic response curve of normalized output power gain
由Ψ与ξ,τ1,τ2,τ3及α1,α2的关系可知:
(1) 由式(9)和图3—图6可知,在τ1=τ2处取得系统输出功率增益最大值,当τ1=τ2取值变化时,系统输出功率增益最大值点也随之变化。这意味着发射线圈与接收线圈间的距离或阻抗发生变化时,需调整中继线圈位置,有且仅有1个最佳耦合点使系统输出功率增益取得最大值。以τ1,τ2取值使系统输出功率增益最大值点为临界点,可将系统分为欠耦合、临界耦合和过耦合3种状态。当τ1,τ2取值大于临界耦合点取值时为过耦合区,系统将会出现3个峰值,峰值的变化趋势还受参数α1,α2和τ3的影响。当τ1,τ2取值小于临界耦合点取值时为欠耦合区。当α2<1时,系统存在1个功率峰值,该峰值随τ1,τ2的减小而快速下降。
(2) 由图3、图4可知,参数α1决定着系统本征频率ω=ω0(ξ=0)在过耦合区的系统输出功率增益变化趋势。当α1≤1时,有较大的系统输出功率增益,随着τ1,τ2取值增大,系统输出功率增益以相对平缓的方式减小。当α1>>1时,中频ω0功率峰值快速减小,成为低频ω1功率峰值和高频ω2功率峰值之间的系统输出功率增益最小值。因此,在三线圈WPT系统中,为了在系统本征频率ω0处获得较高的输出功率增益,需使发射回路与接收回路阻抗之比α1≤1。
(3) 由图5可知,α2决定着系统其他2个本征频率ω1和ω2(ξ=±
)在所在频点的系统输出功率增益变化趋势。当α2<<1时,在过耦合区有较大的系统输出功率增益,但随着τ1,τ2取值增大,系统输出功率增益以相对平缓的方式减小;在欠耦合区,3个功率峰值融为一体,随着τ1,τ2取值的减小,系统输出功率增益快速下降。当α2≥1时,系统在整个耦合区分裂成3个功率峰值,且低频ω1功率峰值和高频ω2功率峰值小于中频ω0功率峰值,随着α2的增大,高低频2个峰值下降剧烈,甚至消失。
(4) τ3为发射线圈与接收线圈之间的广义耦合因子,属交叉耦合因子。由图6可知,受τ3影响,3个本征频率发生了漂移,本征频率ω0向高频方向发生了漂移,本征频率ω1与ω2向低频发生了漂移,τ1=τ2取值越大,漂移越严重。另外,系统输出功率增益峰值形状发生了变化,τ1=τ2取值越大,变化越严重。图6(b)中,高频功率峰值与中频功率峰值融为一体,中频功率峰值和低频功率峰值发生了完全分裂。图6(c)中,3个功率峰值发生了完全分裂。
1.3.2 系统传输效率与特性参数
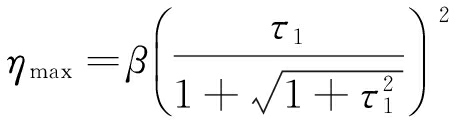
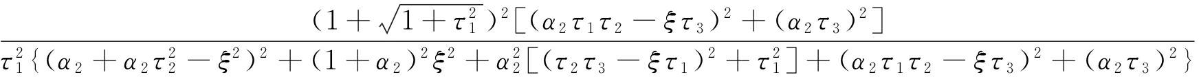
为了研究系统传输效率与特性参数之间的内在关系,对η取τ2的偏导,令∂η/∂τ2=0,可知
时取得传输效率极值。即,当
时,系统传输效率取得最大值ηmax:
(11)
由式(8)和式(11)可得到归一化的系统传输效率:
φ=
=![]()
(12)
由式(12)可得到如图7、图8所示的归一化系统传输效率特性响应曲线。

图7 τ1=4, τ3=0时传输效率特性响应曲线
Fig.7 τ1=4, τ3=0,Characteristic response curve of transmission efficiency

图8 τ2=4, τ3≠0时传输效率特性响应曲线
Fig.8 τ2=4, τ3≠0, Characteristic response curve of transmission efficiency
由φ与ξ和τ1,τ2,τ3的关系可知:
(1) 由式(11)可知,当
时,系统传输效率取得最大值ηmax,ηmax与τ1有关,同时τ1与τ2需满足
越大,传输效率越高;传输效率η还与β有关,β越大,传输效率越高。
(2) 由图7可知,η在ξ=0,τ3=0,τ2=±
处取得最大值,以该点为临界点,可将传输效率分为3个区域。在τ2>±
处,存在传输效率分裂现象,在分裂的2个频率上可取得传输效率峰值。α2取值越大,传输效率的2个峰值分裂越严重。因此,α2取较小值有利于抑制传输效率的分裂。在τ2<±
处,不存在频率分裂,但随着τ2的减小,传输效率快速下降。
(3) 由图8可知,τ3属于系统交叉耦合因子,对传输效率造成了影响。传输效率整体向本征频率ω0的低频方向漂移,τ2取值越大,漂移越严重; 2个分裂的传输效率峰值中的高频峰值有明显的降低;如图8(a)、(b)所示,随着τ2增大,效率峰值呈现单调递增趋势。
为了验证理论分析的正确性,构建了三线圈WPT实验系统,实验装置如图9所示。测试仪器及相关设备主要为电压可调的直流稳压电源、TH2829C型电桥分析仪、电压探头、P6022型电流探头和DS1054A型四通道数字示波器等。信号发生器生成的信号经功率放大器放大后送入谐振发射回路,经中继回路的谐振耦合、接收回路的谐振耦合后供负载使用。WPT系统的主要参数见表1。

图9 实验装置
Fig.9 Experimental device
表1 WPT系统主要参数
Table 1 Main parameters of WPT system

当α2=0.1,τ1=4,即发射线圈与中继线圈的耦合距离保持不变时,移动接收线圈,分别使τ2取值为2,4,6,测量不同频率下发射回路、中继回路、接收回路的电压和电流值;同理,当中继回路与接收回路阻抗比例系数α2=1,τ1=2时,移动接收线圈,分别使τ2取值为1,2,4,测量不同频率下发射回路、中继回路和接收回路的电压和电流值。计算各自回路的功率,同时计算负载功率与总功率之比。将上面2组实验数据整合处理之后可得到如图10、图11所示的输出功率曲线和传输效率曲线。
从图10可知,在2组实验数据中,系统输出功率最大值在τ1=τ2=2或τ1=τ2=4处取得。受τ3的影响,在第1组数据(τ1=2,τ2=1,2,4)中,系统输出功率为单峰值,其峰值中心频率随着τ2的增大,向低频方向增大并偏离系统固有频率ω0(即f0=195 kHz);在第2组数据(τ1=4,τ2=2,4,6)中,当τ1=4,τ2=2时,系统输出功率为单峰值,但峰值中心频率偏离系统固有频率ω0。当τ1=4,τ2=4,6时,系统输出功率为双峰值,低频功率峰值中心频率ω1向低频方向发生了漂移,高频功率峰值实为中频ω0功率峰值和高频ω2功率峰值融合而成,中频ω0功率峰值向高频方向发生了漂移,高频ω2功率峰值向低频发生了漂移。由第2组实验数据可知,系统输出功率发生了完全分裂,该实验结果很好地验证了理论分析和图6(b)仿真结果的正确性;如果τ3的影响可忽略不计,例如,在满足α1=1,α2≈0.5,τ1=4,τ2>4的条件下,实验中可明显地观察到3个功率峰值。

图10 系统输出功率曲线
Fig.10 Curve of output power

图11 系统传输效率曲线
Fig.11 Curve of transmission efficiency
从图11可知,在2组实验数据中,受τ3的影响,每组数据随τ2增大,传输效率递增,如果τ3的影响可忽略不计,则传输效率η在ξ=0,τ2=±
时取得最大值。由前面的分析可知,系统输出功率在τ1=τ2处取得最大值,由此可知,随τ2增大,系统首先获得传输效率最大值,而后获得输出功率最大值;随τ2增大,系统传输效率出现了分裂,即有2个效率峰值,但受τ3的影响,高频效率峰值下降明显,如τ1=4,τ2=6时的实验数据曲线。
由实验数据及其分析可知,实验结果很好地验证了理论分析的正确性。
(1) 系统输出功率增益最大值在τ1=τ2处取得,当τ1=τ2取值变化时,系统输出功率增益最大值点也随之变化。以τ1,τ2取值使系统输出功率增益最大值点为临界点,可将系统分为欠耦合、临界耦合和过耦合3种状态。
(2) 参数α1决定着系统本征频率ω0在过耦合区的系统输出功率增益变化趋势。当α1≤1时,有较大的系统输出功率增益,随着τ1与τ2取值的增大,系统输出功率增益以相对平缓的方式减小。当α1>>1时,中频ω0功率峰值快速减小而成为低频ω1功率峰值和高频ω2功率峰值之间的系统输出功率增益极小值。
(3) 参数α2决定着系统其他2个本征频率ω1,ω2所在频点的系统输出功率增益变化趋势。当α2<<1时,在过耦合区有较大的系统输出功率增益,但随着τ1与τ2取值增大,系统输出功率增益以相对平缓的方式减小;在欠耦合区,3个功率峰值融为一体,随τ1与τ2取值的减小,系统输出功率增益快速下降。当α2≥1时,系统在整个耦合区分裂成3个功率峰值,且低频功率峰值和高频功率峰值小于中频功率峰值,随着α2的增大,高低频2个峰值下降剧烈,甚至消失。
(4) 传输效率η在ξ=0,τ3=0,τ24=τ12+1时取得最大值。
参考文献(References):
[1] KURS A, KARALIS A, MOFFATT R, et al. Wireless power transfer via strongly coupled magnetic resonances[J]. Science,2007,317(5834):83-86.
[2] 程时杰,陈小良,王军华,等.无线输电关键技术及其应用[J].电工技术学报,2015,30(19):68-84.
CHENG Shijie, CHEN Xiaoliang, WANG Junhua, et al. Key technologies and applications of wireless power transmission[J]. Transactions of China Electrotechnical Society,2015,30(19):68-84.
[3] 杨庆新,章鹏程,祝丽花,等.无线电能传输技术的关键基础与技术瓶颈问题[J].电工技术学报,2015,30(5):1-8.
YANG Qingxin, ZHANG Pengcheng, ZHU Lihua, et al. Key fundamental problems and technical bottlenecks of the wireless power transmission technology[J]. Transactions of China Electrotechnical Society,2015,30(5):1-8.
[4] HUI S Y R, ZHONG Wenxing, LEE C K. A critical review of recent progress in mid-range wireless power transfer[J]. IEEE Transactions on Industrial Electronics,2014,29(9):4500-4511.
[5] JIN H, LEE W, CHOI S, et al. Frequency-domain circuit model and analysis of coupled magnetic resonance systems[J]. Journal of Power Electronics,2013,13(2): 275-286.
[6] BOU-BALUST E, HU A P, ALARCON E. Scalability analysis of SIMO non-radiative resonant wireless power transfer systems based on circuit models[J]. IEEE Transactions on Circuits & Systems,2015,62(10):2574-2583.
[7] 谭林林,颜长鑫,黄学良,等.无线电能传输系统电压稳定在线控制策略的研究[J].电工技术学报,2015,30(19):12-17.
TAN Linlin, YAN Changxin, HUANG Xueliang, et al. Stable voltage online control strategy of wireless power transmission system[J]. Transactions of China Electrotechnical Society,2015,30(19):12-17.
[8] SAMPLE A P, MEYER D A, SMITH J R. Analysis, experimental results, and range adaptation of magnetically coupled resonators for wireless power transfer[J]. IEEE Transactions on Industrial Electronics,2011,58(2):544-554.
[9] 李长生,曹娟,张合.非铁磁性金属影响下的磁共振耦合电能传输系统建模与分析[J].电力系统自动化,2015,39(23):152-157.
LI Changsheng, CAO Juan, ZHANG He. Modeling and analysis for magnetic resonance coupling wireless power transmission systems under influence of non-ferromagnetic metal[J]. Automation of Electric Power Systems, 2015, 39(23): 152-157.
[10] 李阳,杨庆新,闫卓,等.磁耦合谐振式无线电能传输方向性分析与验证[J].电工技术学报,2014,29(2):197-203.
LI Yang, YANG Qingxin, YAN Zhuo, et al. Analysis and validation on characteristic of orientation in wireless power transfer system via coupled magnetic resonances[J]. Transactions of China Electrotechnical Society,2014,29(2):197-203.
[11] 陈文仙,陈乾宏,张惠娟.电磁共振式无线电能传输系统距离特性的分析[J].电力系统自动化,2015,39(8):98-104.
CHEN Wenxian, CHEN Qianhong, ZHANG Huijuan. Distance characteristic analysis of magnetic resonance wireless power transmission system[J]. Automation of Electric Power Systems, 2015, 39(8): 98-104.
[12] SONG M, IORSH I, KAPITANOVA P, et al. Wireless power transfer based on magnetic quadrupole coupling in dielectric resonators[J]. Applied Physics Letters,2016,108(2):023902.
[13] ZHANG J, YUAN X, WANG C, et al. Comparative analysis of two-coil and three-coil structures for wireless power transfer[J]. IEEE Transactions on Power Electronics, 2017,32(1):341-352.
[14] SEO D W, LEE J H, LEE H S. Study on two-coil and four-coil wireless power transfer systems using Z-parameter approach[J]. Etri Journal,2016,38(3):568-578.
[15] CHEON S, KIM Y H, KANG S Y, et al. Wireless energy transfer system with multiple coils via coupled magnetic resonances[J]. Etri Journal, 2012, 34(4):527-535.
[16] 孙跃,李云涛,叶兆虹,等.三线圈ICPT系统中继线圈的位置优化[J].电工技术学报,2016,31(13):164-171.
SUN Yue, LI Yuntao, YE Zhaohong, et al. Optimization for relay coil location of 3-coil inductively coupled power transfer system[J]. Transactions of China Electrotechnical Society, 2016, 31(13): 164-171.
[17] 罗斌,刘婉,钟晨明,等.磁耦合谐振三线圈无线电能传输的交叉耦合效应及电抗补偿[J].电力系统自动化,2015,39(8):105-112.
LUO Bin, LIU Wan, ZHONG Chenming, et al. Cross coupling effect and reactance compensation method for three-coil magnetic coupling resonant wireless power transmission system[J]. Automation of Electric Power Systems, 2015, 39(8):105-112.
[18] 罗斌,生茂棠,吴仕闯,等.磁谐振耦合式单中继线圈无线功率接力传输系统的建模与分析[J].中国电机工程学报,2013,33(21):170-177.
LUO Bin, SHENG Maotang, WU Shichuang, et al. Modeling and analysis of magnetic resonance coupling wireless relay power transfer system with single intermediate coil resonator[J]. Proceeding of the CSEE, 2013,33(21): 170-177.
Research on coupling mechanism of three-coil wireless power transmission system
LIU Suqi1,2, TAN Jianping1,2, WEN Xue1,2
(1.State Key Laboratory of High Performance Complex Manufacturing, Changsha 410083, China; 2.School of Mechanical and Electrical Engineering, Central South University, Changsha 410083, China)
Abstract:In view of problems that transmission performance of three-coil wireless power transmission system would change with moving of relay coil, coupling mechanism of three-coil wireless power transmission system was researched. An equivalent circuit model of the wireless power transmission system was built which is based on three-coil structure, and basic characteristic formula of output power gain and transmission efficiency were deduced. Interaction mechanism of the output power gain, transmission efficiency and characteristic parameters were analyzed, and laws of the output power gain and transmission efficiency of the system were obtained. The wireless power transmission experiment system was developed which verifies correctness of the theoretical analysis.
Key words:wireless power transmission; three-coil; relay coil; coupling mechanism; output power gain; transmission efficiency
文章编号:1671-251X(2017)07-0062-08
DOI:10.13272/j.issn.1671-251x.2017.07.013
收稿日期:2017-02-28;
修回日期:2017-05-18;责任编辑:胡娴。
基金项目:国家重点基础研究发展计划(973计划)资助项目(2014CB049405)。
作者简介:刘溯奇(1977-),男,广西全州人,博士研究生,主要研究方向为近场无线通信与无线电能传输技术,E-mail:liusuqi2009@126.com。通信作者:谭建平(1963-),男,湖南攸县人,教授,博士,主要研究方向为机电系统状态监测与故障诊断技术,E-mail:jptan@163.com。
引用格式:刘溯奇,谭建平,文学.三线圈无线电能传输系统耦合机理研究[J].工矿自动化,2017,43(7):62-69. LIU Suqi,TAN Jianping,WEN Xue.Research on coupling mechanism of three-coil wireless power transmission system[J].Industry and Mine Automation,2017,43(7):62-69.
中图分类号:TD655.3
文献标志码:A 网络出版时间:2017-06-27 16:54
网络出版地址:http://kns.cnki.net/kcms/detail/32.1627.TP.20170627.1654.013.html