张可, 杨世文, 高慧峰, 刘思蓉
(中北大学 机械与动力工程学院, 山西 太原 030051)
摘要:利用三维软件CATIA建立了刮板输送机圆环链的三维模型,采用有限元分析软件ANSYS对圆环链的接触碰撞过程进行仿真分析,结果表明,圆环链处于瞬间启动状态时,应力主要集中于链环间的接触部位和链环直臂与弯臂的连接处,这两处是圆环链最薄弱的区域,极易发生断裂,在设计时应加强这两处的刚度;传动过程中,圆环链间接触区域不断摩擦,圆环链受反复交变载荷的作用会发生破裂。利用线性疲劳损伤累积理论对圆环链的寿命进行预测,得出圆环链最小寿命为49 073次循环,最小寿命部位为圆环链弯臂与直臂的连接处。该分析结果可为圆环链的优化设计提供依据。
关键词:刮板输送机; 圆环链; 接触分析; 损伤分析; 寿命预测; 有限元分析
刮板输送机是矿山的主要采煤设备,圆环链是刮板输送机的主要部件,其质量和性能直接影响传送设备的工作效率[1]。相比于其他牵引设备,圆环链具有结构紧凑、传送效率高等优点。由于工作环境的复杂性和恶劣性,圆环链极易发生疲劳断裂事故,这不仅会影响企业的生产效率,而且会导致煤矿安全问题[2]。
随着圆环链的广泛应用,国内外学者对圆环链的结构设计、制造、试验等方面进行了深入研究。文献[3]对不锈钢链在铸造机械上产生的疲劳损伤进行了研究,结果表明,弯曲疲劳引起的失效最终会导致链环断裂;文献[4]利用有限元法对圆环链受拉伸负荷时的应力分布进行了分析,并用力学理论说明了链环间的接触对断链的影响;文献[5]对矿用高强度圆环链强度特性进行了分析,得出了影响圆环链疲劳强度的主要因素为脉动载荷的加载速率。以上文献主要是针对圆环链各元件结构进行研究,没有对圆环链传动过程的接触动力学进行研究。为此,本文通过有限元法对圆环链接触问题进行分析,并利用线性疲劳累积损伤理论对其进行疲劳寿命估算,为圆环链的设计和优化提供参考[6]。
建立圆环链空间数学方程。圆环链圆弧段曲面形成的坐标系如图1所示,以原点为圆心,取距原点长度为R,画半径为r的圆[7]。绕x轴旋转而成的圆环方程为
(1)

图1 圆环链圆弧段曲面形成的坐标系
Fig.1 The coordinate system of round-link chain arc surface
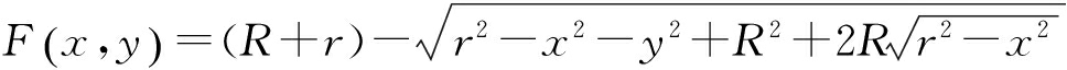
在实际应用中,链环的外表面与链轮接触,圆环方程可转换为用z表示,即
z=![]()
(2)
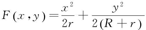
将方程移动到端部在原点位置,并令z=
得![]()
(3)
将F(x,y)在原点按泰勒级数展开,由于
得
(4)
接触区域为一个椭圆,设圆环链间受力为M,根据Herts接触理论可知,接触区域的最大压力为ε0max,即
ε0max=![]()
(5)
式中P为接触时的外载荷,P=M。
采用非线性动力分析软件ANSYS LS-DYNA对圆环链间的接触和碰撞过程进行模拟,得到接触产生的应力分布,用以验证理论分析的准确性。
圆环链接触算法是对称罚函数法,即程序在每一时步分别对从节点和主节点进行穿透检查。以从节点为例,如果当前时间步发生了穿透,则在从节点上施加法向接触力fs(fs=kiΔi,ki为接触刚度因子,Δi为穿透量)。在从节点上施加法向接触力fs后,根据作用与反作用原理,在主段的接触点上作用一个反方向的力,将这个反作用力按形函数等效分配到主段包含的各个节点上即可[2]。
2.1 圆环链模型建立
选择φ10×40圆环链为研究对象,圆环链材料选用23MnNiCrMo,材料参数见表1[8]。运用三维软件CATIA建立圆环链模型,将模型导入至ANSYS LS-DYNA中进行有限元分析。然后定义圆环链的接触为面-面接触,进行网格划分,如图2所示。对有限元模型施加边界条件和载荷,假定左圆环静止,在其左侧弯臂内部施加一固定约束,右环整体施加沿x轴正方向的速度,大小为0.5 m/s,设置模拟时间为0.05 s,进行计算分析。
表1 圆环链材料相关参数
Table 1 Related parameters of material of round-link chain


图2 圆环链有限元模型
Fig.2 Finite element model of round-link chain
2.2 有限元分析结果
通过软件导出的文件在Workbench中会自动生成很多面,这些面有大有小,同时会产生碎片,这样会使网格产生较大的畸形度,降低了网格的质量。同时在加载载荷后,由于模型的不正确导致结果不可靠,或者直接产生错误结果,所以,需要对模型进行简单的处理。
在文件导入后,发现由于建模过程中的部分倒角,导致很多比较小的面,这些小的面使网格划分时间变长,所以,需要对这些比较小的面进行处理,将其合并到相邻的大面中。本次处理过程中,使用了Workbench软件的Merge命令、Virtual Topology命令、Imprint Face命令对模型进行处理[9]。
经过有限元分析计算,得到圆环链接触动力学的求解结果,等效应力如图3所示。

图3 圆环链等效应力
Fig.3 Equivalent stress of round-link chain
从图3可以看出,右侧链环为受力环,沿x轴正方向运动过程中,最大应力发生在2个链环的接触部位,大小为4.13×107 Pa,同时链环弯臂与直臂的连接位置应力突出,这是由于圆环受到拉力的情况下,2个圆环接触区域产生应力集中,反复作用会导致圆环断裂。
为了进一步分析接触区域在0.05 s内速度、位移和加速度的变化情况,在2个圆环链接触部分选取6个节点进行分析[10]。各节点的速度、加速度和位移变化如图4所示。由图4(a)可以看出,在2个圆环链受到瞬间碰撞后,链环出现波动现象,最大的速度为0.022 m/s,发生在0.045 s,这使得两链环在接触区域发生摩擦;由图4(b)可以看出,链环加速度处于波动状态,呈现起伏性变化,表明链环碰撞过程处于振动状态,长时间会产生疲劳并导致断裂;由图4(c)看出,最大位移为0.88 mm,2个圆环链的接触属于面-面接触,其接触面产生相对摩擦运动,这说明摩擦会导致圆环链之间产生位移,从而发生变形,影响圆环链的质量[11]。
2.3 圆环链损伤断裂分析
圆环链在工作时,主要的受损形式是磨损。圆环链在传动过程中主要磨损如下:① 链条和链轮之间接触时产生磨损。② 链条传送过程中与磨料之间产生磨损。③ 在传动过程中,链条间的松紧不断转换产生疲劳磨损。④ 由于工作环境的复杂性,链环受到周围环境的影响产生腐蚀,加速其磨损。磨损不仅影响着链轮的传动效果,而且也影响整个传动机构的寿命。

(a) 各节点速度曲线

(b) 各节点加速度曲线

(c) 各节点位移曲线
图4 圆环链各节点有限元分析曲线
Fig.4 Finite element analysis curves of nodes of round-link chain
由上述分析结果可知,圆环链磨损会导致断裂。导致断裂的主要原因:① 圆环链在传动的过程中,2个链环之间不断摩擦,长时间会形成磨损而使圆环链变细,达不到应力要求而断裂。② 链条在正常运输货物时,链环上受到反复的交变载荷作用,造成链环出现疲劳裂纹,发生断裂[12]。
疲劳是在某点或某些点承受扰动应力,且在足够多的循环扰动之后形成裂纹或在完全断裂的材料中发生局部的、永久结构变化的发展过程[13]。疲劳破坏是圆环链断裂的主要原因,由于圆环链间不断受到交变载荷的作用,导致链环出现裂纹,最终发生断裂。因此,对圆环链疲劳寿命的预测可为今后进一步优化设计提供依据。
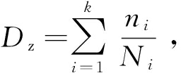
采用Miner线性疲劳累积损伤理论对圆环链进行分析,其理论依据:若构件在某恒幅交变应力范围S作用下,循环破坏的寿命为N,则可以定义其在经受n次循环时的损伤为D=n/N,n=0时,D=0,表示构件未受损伤;n=1时,D=1,表示构件发生疲劳破坏。构件在应力范围Si作用下,经受ni次循环的损伤为Di=ni/Ni,则在K个应力范围Si作用下,各经受ni次循环,可定义其总损伤为
破坏准则为D=∑ni/Ni=1,若设计寿命为时间Td,时间Td内的损伤为Dd,则疲劳寿命为Tf=Td/Dd[14]。
通过ANSYS Workbench对圆环链进行疲劳寿命预测,查阅相关资料模拟出材料的S-N曲线,对左侧圆环链施加一固定约束,右侧圆环链施加76 kN的力,圆环链按正弦规律加载动态载荷,通过计算得到圆环链的寿命云图,如图5所示。

图5 圆环链疲劳寿命云图
Fig.5 Fatigue life nephogram of round-link chain
由图5可以看出,圆环链最小寿命为49 073次循环,最小寿命的部位为圆环链弯臂与直臂的连接处,直臂与弯臂的连接处发生损伤会对圆环链的正常工作产生很大的影响。与文献[5]通过试验得出的结论一致,证明通过有限元法对圆环链疲劳寿命进行分析具有一定的可行性。
(1) 通过有限元分析软件ANSYS LS-DYNA对圆环链间的接触进行分析计算,得出圆环链最大应力主要集中在链环之间的接触位置和链环直臂与弯臂的连接处,这两处是圆环链最薄弱的区域,极易发生断裂,在设计时应加强这两处的刚度。
(2) 链环间的磨损是圆环链最主要的失效形式,由于在传动过程中,圆环链间接触区域不断摩擦,圆环链受反复交变载荷的作用,导致圆环链破裂。
(3) 通过Miner线性疲劳累积损伤理论对圆环链疲劳寿命进行预测,由有限元分析结果可知,最小寿命发生在直臂与弯臂的连接处,这与实际实验得出的结果一致。证明了利用有限元法对圆环链疲劳寿命进行分析具有一定的可靠性,可为圆环链的优化设计提供参考。
参考文献(References):
[1] 方立霞,詹学文.基于SolidWorks的矿用圆环链建模与分析[J].矿山机械,2016,44(6):74-78.
FANG Lixia,ZHAN Xuewen. Modeling and analysis of mine-used round-link chain based on SolidWorks[J].Mining&Processing Equipment,2016,44(6):74-78.
[2] 杨芝苗.矿用高强度圆环链冲击性能分析[D].西安:西安科技大学,2009.
[3] PANTAZOPOULOS G, VAZDIRVANIDIS A. Metallurgical investigation on fatigue failure of stainless steel chain in a continuous casting machine[J].Engineering Failure Analysis,2009,16(5):1623-1630.
[4] 李美霞,朱华双,刘金依.矿用圆环链间接触应力场的三维有限元分析[J].煤矿机械,2005,26(5):48-49.
LI Meixia,ZHU Huashuang, LIU Jinyi. Three-dimensional finite element analysis of stress fields due to contact between round link chains for mine use[J].Coal Mine Machinery,2005,26(5):48-49.
[5] 石岚,高宇.矿用高强度圆环链强度特性分析[J].太原理工大学学报,2005,36(3):270-273.
SHI Lan,GAO Yu. Analysis of strength characteristic of mine-used high-strength round-link chain[J].Journal of Taiyuan University of Technology,2005,36(3):270-273.
[6] 闵希春,杨广衍,吴宏涛,等.基于ANSYS的刮板输送机圆环链的有限元分析[J].机械设计与制造,2011(6):106-107.
MIN Xichun,YANG Guangyan,WU Hongtao, et al.Finite element analysis for round link chain of scraper conveyor based on ANSYS[J].Machinery Design & Manufacture,2011(6):106-107.
[7] 郭坤,孙远涛,段诚,等.基于有限元法的刮板输送机圆环链接触强度分析[J].矿山机械,2011,39(1):22-27.
GUO Kun,SUN Yuantao,DUAN Cheng, et al.Analysis on contact strength of round-linked chains of scraper conveyors based on FEM[J].Mining & Processing Equipment,2011,39(1):22-27.
[8] 何柏岩,孙阳辉,李国平,等.矿用高强度圆环链的力学性能与强度分析[J].应用基础与工程科学学报, 2012,20(5):828-837.
HE Baiyan, SUN Yanghui,LI Guoping,et al. Mechanical properties and strength analysis of the ring chains for mining equipment[J]. Journal of Basic Science and Engineering,2012,20(5): 828-837.
[9] 李惟慷,杨新乐,马力,等.矿用扁平接链环静态电测实验及有限元分析[J].机械工程与自动化,2004(1):64-66.
LI Weikang, YANG Xinle, MA Li,et al. Static state electricity test experiment and finite element analysis for mining flat type connector units[J]. Mechanical Engineering & Automation,2004(1):64-66.
[10] 李惟慷.矿用圆环链传动接触动力学及损伤机理的研究[D].阜新:辽宁工程技术大学,2012:57-60.
[11] 赵海翔.基于断裂力学的疲劳寿命预测工具箱的开发[D].沈阳:东北大学,2012:1-2.
[12] 朱斌,张楠.矿用高强度圆环链损伤机理及寿命预测[J].辽宁工程技术大学学报(自然科学版),2013,32(11):1493-1496.
ZHU Bin,ZHANG Nan. Damage mechanism and life prediction of high-intensity ring chain for mining[J].Journal of Liaoning Technical University(Natural Science),2013,32(11):1493-1496.
[13] 杨娟娟,李艳军,马志强.刮板输送机断链故障分析及处理措施[J].榆林学院学报,2013(6):25-26.
YANG Juanjuan, LI Yanjun, MA Zhiqiang. Analysis and treatment of chain breakage failure of scraper conveyors[J]. Journal of Yulin College, 2013(6):25-26.
[14] 张强,王海舰,付云飞,等.刮板输送机链轮力学特性及疲劳寿命预测[J].机械强度,2015,37(2):328-336.
ZHANG Qiang,WANG Haijian, FU Yunfei, et al. Mechanical property and fatigue life prediction of sprocket in scraper conveyor[J].Journal of Mechanical Strength,2015,37(2):328-336.
Damage analysis and lifetime prediction of round-link chain of mine-used scraper conveyor
ZHANG Ke, YANG Shiwen, GAO Huifeng, LIU Sirong
(School of Mechanical and Power Engineering, North University of China, Taiyuan 030051, China)
Abstract:A three-dimensional model of round-link chain of scraper conveyor was established by 3D software CATIA, contact-impact process of round-link chain was simulated and analyzed by finite element analysis software ANSYS. The analysis results show that stress is concentrated on the contact area between the round-link chains and joint between straight arm and curved arm when the round-link chain is in instant startup state. The joint between the straight arm and curved arm is the weakest area of the round-link chains, and it is easy to break, so stiffness was should be strengthened in design.The contact area between the round-link chains is rubbed continuously during transmission process, and the round-link chains are broken by repeated alternating load. Lifetime of the round-link chain was predicted by theory of fatigue damage accumulation, and draw conclusion: the minimum lifetime of the round-link chain is 49 073 cycles, position of the minimum lifetime is the joint between the straight arm and curved arm. The analysis results can provide basis for optimization design of the round-link chain.
Key words:scraper conveyor; round-link chain; contact analysis; damage analysis; lifetime prediction; finite element analysis
文章编号:1671-251X(2017)07-0053-05
DOI:10.13272/j.issn.1671-251x.2017.07.011
收稿日期:2016-11-18;
修回日期:2017-04-17;责任编辑:张强。
基金项目:山西省煤基重点科技攻关项目(MJ2014-14-0202);中北大学研究生科技创新项目(20161316)。
作者简介:张可(1992-),男,山西运城人,硕士研究生,研究方向为机械工程,E-mail:846444178@qq.com。
引用格式:张可,杨世文,高慧峰,等.矿用刮板输送机圆环链损伤分析及寿命预测[J].工矿自动化,2017,43(7):53-57. ZHANG Ke,YANG Shiwen,GAO Huifeng,et al.Damage analysis and lifetime prediction of round-link chain of mine-used scraper conveyor[J].Industry and Mine Automation,2017,43(7):53-57.
中图分类号:TD407
文献标志码:A 网络出版时间:2017-06-27 16:37
网络出版地址:http://kns.cnki.net/kcms/detail/32.1627.TP.20170627.1637.011.html