张国栋, 祁瑞敏
(郑州工业应用技术学院 机电工程学院, 河南 郑州 451150)
摘要:针对传统的绞车故障诊断方法存在滞后性和缺乏对早期故障的预测能力的问题,设计了基于信息融合的煤矿绞车健康诊断系统。该系统以LabVIEW软件为开发平台,利用传感器采集绞车的振动信号,通过计算获取振动信号基本概率赋值,从而提取特征信号,然后采用D -S证据理论进行信息融合,根据融合规则判定绞车是否健康运行。测试结果验证了该系统的可行性。
关键词:煤矿绞车; 健康诊断; 状态监测; 振动信号; 多传感器信息融合; 基本概率赋值; 特征信号
煤矿绞车是由电动机、齿轮箱、卷筒等组成的大型设备,是承接井上、井下的关键通道,具有“煤矿咽喉”之称,装载量较大,运行功率较高,稳定性要求较高,其运行状态的正常与否直接关系到整个煤矿生产的安全。因此,对煤矿绞车进行健康诊断研究具有重要意义[1]。
传统的绞车故障诊断是当设备发生故障停机时,对各故障点进行查找、检修,具有一定的滞后性,缺乏对早期故障的预测能力。为此,笔者设计了一种基于信息融合的煤矿绞车健康诊断系统,可对绞车早期的异常状况进行预测,在故障发生之前进行报警提示。将多传感器信息融合技术应用到煤矿绞车健康诊断系统中,既能及早预报异常状况,克服单个传感器的不确定性,又能保证当某个传感器受到干扰时仍有正常信号发出,使系统能实时接收到数据,在信息融合的基础上,进行健康状况诊断。
基于信息融合的煤矿绞车健康诊断系统以LabVIEW为开发平台[2-4],将传感器分别放置在电动机、齿轮箱和卷筒的水平及垂直方向,并通过数据采集卡采集振动信号,然后进行特征提取,即获取其对应的基本概率赋值,再采用D -S证据理论进行信息融合,最后根据融合规则进行健康诊断,并在人机界面显示[3],如图1所示。
![]()
图1 基于信息融合的煤矿绞车健康诊断系统总体结构
1.1 信号采集模块设计
由于振动信号易于采样、受干扰较小,且在设备运行状态出现异常时,其振动频率及幅值也会发生相应的变化,所以,对煤矿绞车进行振动信号特征提取是健康诊断的关键[5-7]。
对振动信号进行实时采集是特征提取的前提。系统硬件连接如图2所示,首先利用传感器采集振动信号,变送器将采集的振动信号转换为电流信号,再送入数据采集卡进行数据采集。系统中所用传感器为磁电式速度传感器,所用的变送器为振动速度变送器,数据采集卡选用PCI-1250系列采集卡(带接线端子,可对采集的电流信号进行滤波,同时将电流信号转换成直流电压信号)。将数据采集卡插入工控机插槽内,根据安装向导,即可安装使用,但在信号采集前,需对采样频率、触发方式、采样点、通道数等进行设置。
![]()
图2 系统硬件连接
1.2 信号特征提取
对信号进行特征提取是信息融合的关键[8-10],根据传感器所采集的振动信号烈度先求得其先验概率密度函数为
(1)
式中:xj为第j个传感器特征提取后的参数;oi表示目标类型,设M为目标个数,在本设计中,M=2,即用o1表示健康状态,o2表示非健康状态;x为被测量值;μj为均值;δj为标准差。
定义传感器j与目标i的相关系数Cj(i)为

(2) 定义最大相关系数
其中Cj(oi)为传感器j对oi的相关系数。
根据传感器j与各相关系数的分布系数
Cj(oi),可得到可靠系数Rj(即各传感器对整个检测系统的有效性)

(3)式中N为传感器个数。
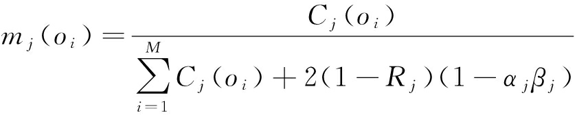
传感器j对目标oi的信任度可用基本概率赋值表示,其公式如下:

(4)
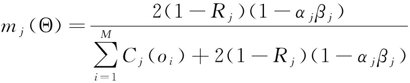
传感器j对目标oi的不确定性也可用基本概率赋值表示(即不支持健康状态,也不支持非健康状态),其公式如下:

(5)
1.3 D -S证据理论
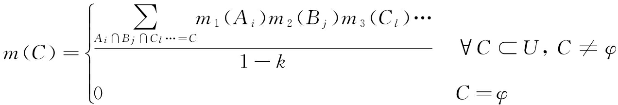
由于井下环境条件比较恶劣,造成传感器所采集的信号具有不确定性和随机性。解决不确定问题有很多算法,如贝叶斯算法、模糊集理论、D -S证据理论等,其中因D -S证据理论引入了信任函数、似然函数等,对处理不确定性问题具有优势,所以本采用D -S证据理论进行信息融合。
在获取基本概率赋值的基础上,运用D -S证据理论进行信息融合[11-15]。U为一识别框架,则函数m:2U→[0,1]在满足式(6)和式(7)时,称m(A)为A(绞车健康或非健康)的基本概率赋值,即式(4)中的mj(oi),第j个传感器获取的对健康或非健康精确信任程度,表示对A直接支持度,m(Φ)表示不确定,即式(5)中的mj(Θ),即不支持健康,也不支持非健康,合成规则如式(8)所示。
(6)
(7)

(8)
式中k为冲突因子,
。
式(8)是将各证据中健康状态或非健康状态两两取交集进行依次融合。本设计中经过6次融合。若k≠0,则m(C)确定一个基本概率赋值;若k=0,则m1、m2冲突,不能获取基本概率赋值。
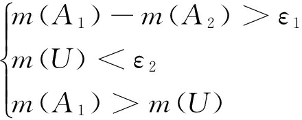
1.4 融合规则
设∃A1,A2⊂U满足:
(9)
m(A2)=max{m(Ai),Ai⊂U,
(10)
式中m(A1)、m(A2)分别为融合结果中健康状态、非健康状态基本概率赋值。
若A1,A2满足式(11)中的条件,那么A1为判决结果,否则就为不确定状态,即判断不出健康还是非健康状态。

(11)
式中:ε1,ε2为预先设定的门限;m(U)为整个识别框架所占的权重,可表示健康状态,也可表示非健康状态,即为不确定性状态。
根据实验和实际运行分析,并且结合专家经验,本设计所选择的门限为ε1=0.950 0,ε2=0.005 0。
在信号采集前需要进行参数设置,设计中采样频率设置为1 000 Hz,触发方式选择内部触发方式,采样点设置为1 024,各通道增益均设定为1,按下开始按钮就可同时对6个通道进行信号采集,即通道1、通道2采集的是电动机水平、垂直方向的信号,通道3、通道4采集的是齿轮箱水平、垂直方向的信号,通道5、通道6采集的是卷筒水平、垂直方向的信号,若需退出,点击停止按钮即可。信号采集界面如图3所示。

图3 信号采集界面
根据特征提取的方法和步骤,本设计中N=6,表示有6个传感器参与信息融合,假设j=1,2,…,6,j=1代表第1个传感器,放置在电动机水平方向,采集的振动信号如图3中通道1所示;j=2代表第2个传感器,将其放置在电动机的垂直方向,采集的振动信号如图3中通道2所示。其他4个传感器依次用于测量齿轮箱、卷筒的水平、垂直方向的振动信号,通过通道3—通道6显示,然后再进行特征提取,经过5次融合后,诊断结果如图4、图5所示。若用户想进一步查看融合结果,可根据融合规则,再进行健康诊断。

图4 信息融合界面

图5 健康诊断界面
通过诊断结果可以看出,系统已经开始出现了不健康状态,这样可实现对设备运行状态的早期预测,提醒用户及时检修设备,及早发现异常,把设备故障造成的损失降到最低。
基于信息融合的煤矿绞车健康诊断系统通过传感器实时采集绞车电动机、齿轮箱、卷筒的振动信号,对采集到的振动信号进行处理后,计算出健康状态和非健康状态的信任度,并进行信息融合,根据融合规则,诊断出绞车是否工作在健康状态。
测试结果表明,该系统可实时监测绞车的运行状态,诊断其是否处于健康状态,避免了故障状况的发生。由于采用了多传感器技术,相比传统的故障诊断系统能更早预知异常状况,把握绞车整机运行情况,稳定性更好,可靠性更高。
参考文献:
[1] 谭逢友,卢宏伟,刘成俊,等.信息融合技术在机械故障诊断中的应用[J].重庆大学学报(自然科学版), 2006,29(1):15-18.
[2] 刘平,岳林,刘永富.基于LabVIEW的旋转机械振动监测系统开发[J].机械科学与技术,2011,30(4):586-589.
[3] 向丹.基于LabVIEW的滚动轴承故障诊断系统的开发[J]. 矿山机械, 2013,41(10):129-133.
[4] 吴笛.基于LabVIEW的机械故障远程诊断系统的设计与实现[J].机械传动,2011,35(1):26-30.
[5] 田鹤,韩刚.信息融合技术在带式输送机故障诊断中的应用[J].矿山机械,2011,39(3):51-54.
[6] 乔淑云.基于EMD方法的煤矿绞车轴承故障诊断[J].工矿自动化,2016,42(4):51-54.
[7] 蒋雯,张安,邓勇.信息融合中传感器可信度的动态确定及应用[J].哈尔滨工程大学学报,2010,42(7):1137-1140.
[8] 訾兴建.多传感器信息融合技术在瓦斯监测中的应用[J].煤矿安全,2010,41(9):36-38.
[9] 黄漫国,樊尚春,郑德智,等.多传感器信息融合技术研究进展[J].传感器与微系统,2010,29(3):5-8.
[10] 李豪亮,师义民,陈华.基于D -S证据理论的Bayes信息融合[J].模糊系统与科学,2009,23(1):46-51.
[11] 陈炜军,景占荣,袁芳菲,等.D -S证据理论的不足及其数学修正[J].中北大学学报(自然科学版),2010,32(2):161-168.
[12] 王鹏,凌俊斌,陈震伟.基于LabVIEW平台开发的一种雷电冲击测量系统[J].高压电器,2010,46(2):79-82.
[13] 薛光辉,吴淼.机电设备故障诊断方法研究现状与发展趋势[J].煤炭工程,2010,42(5):103-105.
[14] 王志伟,胡瑜,李银伟.基于小波和自适应模糊神经的旋转设备故障诊断[J].华东交通大学学报,2010,27(1):72-77.
[15] 胡伟,李欧.模糊信息融合在带式输送机故障诊断中的应用[J].工矿自动化,2013,39(5):48-51.
Design of health diagnosis system of coal mine winch based on information fusion
ZHANG Guodong, QI Ruimin
(School of Mechanical and Electrical Engineering, Zhengzhou University of Industrial Technology, Zhengzhou 451150, China)
Abstract:In view of problems of lag and lack of ability of early failure prediction of traditional fault diagnosis methods of winch, a health diagnosis system of coal mine winch based on information fusion was designed. The system takes LabVIEW software as development platform, it uses sensors to collect vibration signals of the winch, and obtains basic probability assignments through calculation to extract characteristic signals; then adopts D -S evidence theory to fuse information, and determines whether the winch is running properly according to fusion rules. The test result shows feasibility of the system.
Key words:mine winch; health diagnosis; condition monitoring; vibration signal; multi-sensor information fusion; basic probability assignment; characteristic signal
文章编号:1671-251X(2017)06-0076-04
DOI:10.13272/j.issn.1671-251x.2017.06.018
收稿日期:2017-01-10;
修回日期:2017-02-17;责任编辑:张强。
基金项目:河南省科技攻关项目(142102210048)。
作者简介:张国栋(1983-),男,河南商丘人,讲师,硕士,现主要从事智能控制与信息处理技术方面的教学与科研工作,E-mail:zhangguodong1983@126.com。
中图分类号:TD534.6
文献标志码:A 网络出版时间:2017-05-26 10:06
网络出版地址:http://kns.cnki.net/kcms/detail/32.1627.TP.20170526.1006.018.html
张国栋,祁瑞敏.基于信息融合的煤矿绞车健康诊断系统设计[J].工矿自动化,2017,43(6):76-79.