黄华
(重庆工程职业技术学院 现代教育技术中心, 重庆 402260)
摘要:针对传统煤矿节能减排优化模型选取的目标函数比较单一的问题,构建了涵盖经济效益、能源消耗、污染物排放量等目标函数的煤矿节能减排多目标优化模型,并应用基于改进的蝙蝠算法寻找3个目标函数之间的优化解,实现了经济效益最大化、能源消耗最低化、污染物排放量最少化的优化结果。仿真结果表明,相比于PSO-E、NSGA-II算法,改进的蝙蝠算法能够在较短的迭代步数内获取较高的个体适应度,且能够实现较佳的多目标优化结果,符合节能规划的目标需求。
关键词:煤矿节能减排; 多目标函数; 多目标优化; 污染物排放量; 蝙蝠算法; 差分进化算法
全球经济一体化背景下,煤炭等高耗能行业普遍面临产业转型升级问题。在国家能源节约背景下,煤炭等行业普遍存在节能减排要求。目前,我国煤炭行业普遍重节能减排技术,重后期尾端弥补控制,重大一统的解决思路与方案,反而忽视节能减排体系建设,忽视前端初期有效控制策略,忽视因地制宜、因时制宜的针对性措施,导致能源利用率较低、生态环境破坏程度较高、经济效益波动大。因此,加强煤炭等高耗能行业节能减排体系研究,是主导高耗能行业转型升级、提升企业效益的必要途径之一[1]。
国内诸多研究机构及相关学者开展了节能减排的研究并取得了不少成果。基于目标权重向量的粒子群优化算法,基于灰关联分析法、遗传算法与支持向量机的混合算法,基于PSO(Particle Swarm Optimization,粒子群算法)与NSGA-Ⅱ(Non-dominated Sorting Genetic Algorithm,第二代非支配排序遗传算法)的混合算法等多种混合智能优化算法相继应用到了煤炭等行业的节能减排综合评价体系中,利用这些算法的优化解集特性对煤炭行业节能减排的参数或者是优化目标函数进行优化处理,以此获得目标优化结果(效益最大、能耗最低或污染物排放量最少)[2-3]。但是,这些常用混合智能优化算法设定的目标函数要么是单一目标,要么是优化目标中任意2种的结合,并未从真正意义上实现煤炭节能减排的多目标优化[4-6]。基于此,本文将一种改进的蝙蝠算法应用于煤炭节能减排的多目标优化问题中,以期获得具有创新意义的理论研究成果。
1.1 基本蝙蝠算法
根据蝙蝠回声定位的生理特征,英国学者X.S.YANG于2010年提出蝙蝠算法,其核心机理如下:进行捕猎时,蝙蝠通过嘴发出超声波信号,当遇到障碍物时被自动弹回。蝙蝠根据自身需求进行回声的频率、脉冲信号分析,然后通过各种特征来准确计算障碍物的位置及性质。该算法成功模拟了蝙蝠捕猎全过程,通过增大脉冲、减小响度进行局部搜索,进而精准地判定出猎物的位置[7]。
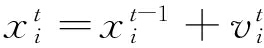
设定蝙蝠种群的特征参数主要为
,分别表示第i只蝙蝠在t时刻的速度、位置、声波频率,i=1,2,3,4。
满足如下更新定义:
(1)
(2)
(3)
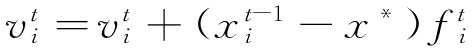
式中:fmax,fmin分别为声波频率更新的最大值、最小值;β为随机数,β∈[0,1];
为蝙蝠种群在t-1时刻的瞬时位置;x*为当前迭代周期内蝙蝠种群的最优位置解[7]。
加入随机扰动ε,进行局部搜索后,通过式(4)获取蝙蝠位置全新最优解
。
(4)
式中
表示上一个迭代周期的局部位置优化解;ε∈[-1,1];
为脉冲响度。
蝙蝠捕猎全过程的脉冲频度
及脉冲响度
更新式定义为
(5)
(6)
式中
为初始脉冲频度;γ为脉冲频度增加系数,γ>0,且为常数;α为脉冲响度衰减系数,通常取0<α<1。
可见,与其他智能算法一样,基本蝙蝠算法能够同时兼顾局部和全局2个不同的搜索过程,并对两者进行良好协调[7]。
1.2 基本蝙蝠算法改进
基本蝙蝠算法在进行位置、速度等更新时,声波频率
具有很大的随机性,蝙蝠通过群体交流后,一般选择自主更新位置,并且此时的蝙蝠位置更新会受到相应频率的影响,而不是依靠具体的蝙蝠算法的位置和速度来更新。虽然基本蝙蝠算法可以进行蝙蝠个体及最优个体的良性交流,在加快收敛速度时具有一定的指导搜索性,但是却容易陷入局部最优值。所以,引入差分进化算法,利用其基于种群的全局搜索能力、较强的全局收敛能力及鲁棒性,对基本蝙蝠算法进行改进,改进算法称之为差分进化蝙蝠算法(Differential Evolution Bat Algorithm,DEBA)[8]。
据此,式(3)可改进为
(7)
式中
为第k代蝙幅种群的全局最优解;
为选定蝙蝠的声波频率;
为蝙幅种群中的任意蝙幅的位置,满足
。
由于蝙蝠个体位置的更新公式类似于差分算法,频率相当于规模因子,所以,称式(7)为差分算子。
式(4)可改进为
(8)
式中:η∈[-1,1],是随机数;
>,表示蝙蝠种群平均脉冲频度。
式(5)可改进为
(9)
式中hi表示一个正常数。
随着迭代步数k的变化而变化,当k增加时,其变化最为明显。
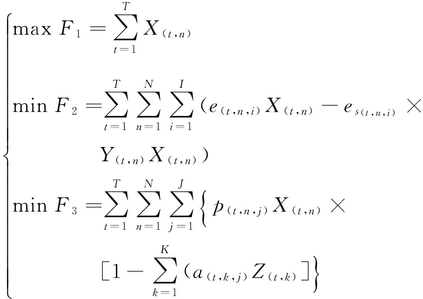
2.1 目标函数
与传统煤矿节能减排优化模型选取的目标函数不同,本文选取经济效益最大化、能源消耗最低化、污染物排放量最少化为目标函数,如式(10)所示[9]。

(10)
式中:T,N,I,J,K分别表示矿区节能计划年数、煤炭生产总工序、能源消耗种类、煤炭生产过程中排放物的种类及排放物综合治理项目种类;X(t,n)表示在第t年第n道工序对应的煤炭产量;e(t,n,i)表示在第t年第n道工序对应的第i种能源的单位消耗量;es(t,n,i)表示在第t年第n道工序进行节能设备改造后对应的第i种能源节省的单位消耗量;Y(t,n)表示在第t年第n道工序时是否进行节能设备改造;p(t,n,j)表示在第t年第n道工序对应的第j种排放物的单位排放量;a(t,k,j)表示在第t年第k种综合治理项目对第j种排放物的单位增益量;Z(t,k)表示在第t年是否对第k种排放物综合治理项目进行投资。
本文中,设T=5,表示计划周期为5年;N=4,表示总工序为4道,主要包含掘进、回采、运提、选煤;I=4,表示能源消耗主要有电能、煤炭、汽油、柴油等4类;排放物种类数J=2,将排放物简单定义为碳化物与硫化物两类,所以,其对应排放物综合治理项目数K=2。
2.2 约束条件
(1) 煤炭生产工序之间存在如下约束条件:
(11)
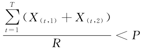
(2) 煤炭总产量约束条件:

(12)
式中:R为回采率,为常数,本文取R=0.45;P为既定区域煤炭生产总量。
(3) 节能投资效益约束条件:节能设备改造投资及排放物综合治理投资应该满足如下投资总金额的约束条件[10]。
(13)
(14)
(15)
式中:FY(t,n)、FZ(t,k)分别表示第t年第n道工序设备改造费用、第k种排放物综合治理费用;C为用于设备改造与污染物综合治理的最大投资费用。
(4) 排放物综合治理效益约束条件:针对不同排放物所采取的不同综合治理项目措施,其累计治理效果不能超过100%[11]。
(16)
(5) 其他约束条件[12]:
(17)
式(10)与式(11)—式(17)构成煤矿节能减排多目标优化数学模型。
3.1 实验数据
以某煤矿调研数据为原始数据,通过实验研究基于DEBA的煤矿节能减排多目标优化模型的节能效果。某煤矿2010—2015年相关生产数据见表1—表3。
表1 某煤矿2010—2015年煤炭产量

表2 某煤矿生产每吨煤的能源消耗量

表3 某煤矿生产每吨煤的污染物排放量

3.2 参数初始化
初始参数选取如下:T=5,N=4,I=4,J=3,R=0.45,群体数=500;P=6 824 t,C=4 000万元,K=2;X(t,n)∈[0,250万t];es(t,n,i)=0.1。
此外,DEBA算法初始参数见表4。
表4 DEAB算法初始参数

3.3 改进蝙蝠算法的优化应用结果分析
根据前述多目标函数及相应的约束条件,在应用Matlab进行仿真得到100组非支配解后,得到如下结论:
(1) 该煤矿未来5年煤炭生产总量为953.89~1 494.61万t;能源消耗总量为1 421.46~2 572.4万t;污染物排放总量为98.625~221.395万t。
(2) 煤炭生产总量、能源消耗量、污染物排放量相互之间的关系曲线如图1所示。

(a) 煤炭生产总量与能源消耗量之间的关系曲线

(b) 煤炭生产总量与污染物排放量之间的关系曲线

(c) 能源消耗量与污染物排放量之间的关系曲线
图1 煤炭生产总量、能源消耗量、污染物排放量 相互之间的关系曲线
由图1可知,当煤炭生产总量超过1 400万t时,能源消耗量变为2 200万t左右,这取决于能源消耗的有效控制。当煤炭生产总量为1 250万t左右时,污染物排放量达到最大值,约22万t。在采取相应的污染物排放措施后,随着煤炭生产总量的增加,污染物排放量呈现下降趋势。能源消耗与污染物排放之间呈现明显的非线性趋势,当能源消耗量达到1 900万t时,污染物排放量达到最大值,约24万t。在采取相应控制措施后,随着能源消耗量的逐渐增加,污染物排放整体呈现下降趋势。
平均煤炭产量、平均能源消耗量、平均污染物排放量与DEBA算法迭代步数之间的关系曲线如图2所示。

(a) 平均能源消耗量

(b) 平均污染物排放量

(c) 平均煤炭产量
图2 平均能源消耗量、平均污染物排放量平均煤炭 产量与DEBA算法迭代步数之间的关系曲线
由图2可知,迭代步数为800左右时,平均煤炭产量、平均能源消耗量、平均污染物排放量均达到稳定状态,且稳定时期内,煤炭产量为1 500万t左右,能源消耗量为2 200万t标煤左右,平均污染排放量为220万t左右。
3.4 算法性能分析
为了更好地评价DEBA算法的性能,选取带惯性因子的粒子群算法(PSO-W)、NSGA-II算法作为参考评价模型,并选取个体适应度最优值、标准方差、适应度平均值作为评价指标。
多种算法在煤矿节能减排多目标优化中的性能比较结果见表5。
表5 多种算法在煤矿节能减排多目标 优化中的性能比较结果

由表5可知,相比于PSO-W算法、NSGA-II算法,DEBA算法的适应度最优值、标准方差、适应度平均值等指标均为最小,这符合本文经济效益最大、能源消耗最低、污染物排放量最少的优化要求。
根据某煤矿规划期内经济效益最大、能源消耗最低、污染物排放量最少的优化需求,结合煤炭产量、能源消耗量、污染物排放量、煤炭开采关键工序、投资经济效益等多方面因素,构建了煤矿节能减排多目标优化数学模型,并将改进的蝙蝠算法应用于煤矿节能减排多目标优化中。仿真结果表明,相比于PSO-W算法、NSGA-II算法,改进的蝙蝠算法可以在较低的迭代步数下获得较好的优化性能,且适应度最优值、适应度平均值均能够满足最小化要求,符合节能规划的目标需求。
参考文献:
[1] 黄瑞敏.煤矿节能减排中的问题与优化措施[J].产业科技与论坛,2015(10):237-238.
[2] 李整,秦金磊,谭文,等.基于目标权重导向多目标粒子群的节能减排电力系统优化调度[J].中国电机工程学报,2015,35(增刊1):67-74.
[3] 毛君,杨辛未,潘德文,等.基于改进粒子群算法的刨煤机多目标优化设计[J].机械设计与研究,2016,32(1):168-170.
[4] 薛胜雄,韩彩红,操松林,等.矿山用大型主排水泵站节能目标与对策[J].流体机械,2015,43(11):43-46.
[5] 史晓光.基于SVM的煤炭企业节能减排评价研究[D].邯郸:河北工程大学,2014.
[6] 张书征.煤矿主排水系统节能措施综述[J].中州煤炭,2015(10):93-96.
[7] 马祥丽,张惠珍,马良.蝙蝠算法在物流配送车辆路径优化问题中的应用[J].数学的实践与认知,2015,45(24):80-86.
[8] 张斯嘉,郭建胜,钟夫,等.基于蝙蝠算法的多目标战备物资调运决策优化[J].火力与指挥控制,2016,41(1):58-61.
[9] 肖辉辉,段艳.基于DE算法改进的蝙蝠算法的研究及应用[J].计算机仿真,2014,31(1):272-277.
[10] 杨娟.煤炭矿区节能减排多目标优化决策研究[D].武汉:中国地质大学(武汉),2014.
[11] 赵永椿,马斯鸣,杨建平.燃煤电厂污染物超净排放的发展及现状[J].煤炭学报,2015,40(11):2629-2640.
[12] 孙继平.煤矿监控新技术与新装备[J].工矿自动化,2015,41(1):1-5.
[13] 徐通.低碳经济背景下煤炭行业节能减排方法创新问题探讨[J].煤炭经济研究,2012,32(6):45-46.
Research on multi-objective optimization of coal mine energy saving and emission reduction
HUANG Hua
(Modern Education Technology Center, Chongqing Vocational Institute of Engineering,Chongqing 402260, China)
Abstract:In view of problem of single objective function existed in traditional optimization model of coal energy saving and emission reduction, a multi-objective optimization model of coal mine energy saving and emission reduction was established, which contains objective functions of economic benefits, energy consumption and pollutant emissions. Improved bat algorithm was applied to look for the optimization solution among three objective functions, so as to achieve the optimization results of the maximization of the economic benefits, the minimization of energy consumption and the minimization of pollutant emissions. The simulation results show that the improved bat algorithm can obtain a higher individual fitness within shorter iteration steps, and can achieve better multi-objective optimization results and meet target demand of the energy saving plan compared with PSO-E, the NSGA-II algorithm.
Key words:energy saving and emission reduction of coal mine; multi-objective function; multi-objective optimization; pollutant emissions; bat algorithm; differential evolution algorithm
文章编号:1671-251X(2017)06-0064-05
DOI:10.13272/j.issn.1671-251x.2017.06.015
收稿日期:2016-11-25;
修回日期:2017-02-17;责任编辑:张强。
基金项目:四川省教育厅理工科重点项目(14ZA0287)。
作者简介:黄华(1982-),男,重庆永川人,实验师,硕士,研究方向为计算机科学与技术、网络信息安全与管理,E-mail:03031068@163.com。
中图分类号:TD67
文献标志码:A 网络出版时间:2017-05-26 09:58
网络出版地址:http://kns.cnki.net/kcms/detail/32.1627.TP.20170526.0958.015.html
黄华.煤矿节能减排多目标优化研究[J].工矿自动化,2017,43(6):64-68.