吴健波1, 王恩元2, 任学坤2, 王笑然2
(1.中国矿业大学 信息与控制工程学院, 江苏 徐州 221116;2.中国矿业大学 安全工程学院, 江苏 徐州 221116)
摘要:针对大采深厚煤层冲击地压监测预警难题,分别建立了基于常规指标(支护阻力、钻孔应力和瓦斯浓度)及常规指标(支护阻力、钻孔应力和瓦斯浓度)与地球物理指标(微震平均震源距、微震日能量、微震日频次、电磁辐射强度)综合的Logistic回归冲击地压预警模型,得到了冲击地压危险性(发生概率)与监测指标之间的定量表达式,并结合千秋煤矿现场实测数据对冲击地压预警模型进行验证。研究结果表明,基于综合指标Logistic回归的冲击地压预警模型预测准确率达89.2%,其拟合优度和预测准确率均优于基于常规指标Logistic回归的冲击地压预警模型。
关键词:煤炭开采; 大采深厚煤层; 冲击地压; 监测预警; Logistic回归
冲击地压是严重的煤岩动力灾害,它通常是在煤岩力学系统达到极限强度时,聚集在煤岩体中的能量以突然、急剧、猛烈的形式释放,造成煤岩体震动和破坏,同时产生动力将煤岩抛向井巷,发出强烈声响,造成设备、井巷破坏及人员伤亡等[1-2]。冲击地压的突发性和强大破坏力对煤矿安全开采构成很大威胁,特别是随着开采深度的增加,冲击地压问题越来越严重[3]。
对冲击地压进行有效防治首先需要进行准确的监测预警[4-5]。目前冲击地压监测预警方法主要有以钻屑法、矿压观测法、综合指数法等为代表的常规方法和以声发射法、微震法、电磁辐射法、超声层析成像法、红外辐射法等为代表的地球物理方法。近年来,基于上述2种及以上方法的耦合多参量综合监测预警技术成为冲击地压灾害监测领域的研究热点。王恩元等[6]提出了冲击地压危险前兆的声电判据,并借助电磁辐射仪器对冲击危险工作面进行监测预警;刘金海等[7]提出了震动场-应力场一体化监测预警概念,并提出了冲击地压多参量实时在线联合监测的观点;张宗文等[8]通过现场实践证明地音和微震相结合可以更好地监测煤岩体跨尺度破坏过程;吕进国等[9]提出了基于微震、电磁辐射及钻屑量的冲击地压层次化监测方法。
矿井进入深部开采后,会出现一些新的、有别于浅部的地质条件,如出现了新的断裂构造,原来在向斜-翼布置开采的工作面,发展到深部后煤层变厚,煤体所受构造应力增大,上覆岩层增厚造成的重力作用使顶板压力增大,更易发生煤岩动力灾害[10]。研究表明,特厚煤层综放工作面的冲击载荷来源于基本顶的断裂冲击,基本顶在工作面前方断裂并强迫其下位岩层断裂,从而造成冲击地压灾害[11-12]。在一些矿区,基本顶是厚度达100 m的砾岩层,悬顶面积大,不易垮落,易于集聚大量弹性能,加上地质构造复杂、煤层厚、采深大等复杂条件,造成该类工作面冲击危险性增大[13]。针对目前大采深厚煤层工作面冲击地压监测预警难题,杨光宇等[14]通过综合指数法和可能性指数法对大采深厚表土复杂空间结构孤岛工作面冲击危险性进行了分析评价,并综合采用应力在线监测和钻屑法对冲击危险性进行了实时预报;魏全德等[15]通过微震冲量和钻孔应力一体化测试实现了特厚煤层下山煤巷冲击危险区和冲击危险程度相结合的冲击地压实时监测预警。
上述研究在大采深厚煤层工作面冲击地压灾害监测预警方面取得了一定效果,但普遍存在预警准确率不高、数据挖掘不充分、各监测指标间的耦合关系不明确等问题。冲击地压的发生是煤岩体从渐变向突变失稳的过程,而微震、电磁辐射、钻孔应力、支护阻力等参量演化是冲击地压孕育发展过程中多种影响因素综合作用的结果。探求大采深厚煤层条件下冲击地压危险性(发生概率)与微震、电磁辐射强度、钻孔应力、支护阻力等参量之间的关系,对冲击地压监测预警具有十分重要的意义。Logistic回归能够从冲击地压的各种监测指标中挖掘有用信息,得到各个监测指标的耦合权重,并以概率的形式揭示工作面回采过程中冲击危险性发展变化规律,在冲击地压危险预测中有广泛的应用前景。因此,本文采用Logistic回归建立冲击地压预测指标与冲击地压危险性之间的预警模型,并采用义马煤业(集团)有限责任公司千秋煤矿实测数据验证基于Logistic回归的大采深厚煤层冲击地压预警技术的准确性。
千秋煤矿1958年开始生产,2007年核定生产能力为2.1 Mt/a。该煤矿地质构造复杂,煤层平均厚度为23.6 m,采深近700 m,冲击地压灾害严重。自2008年6月以来,千秋煤矿21141、21112、21221、21201(已停采)、21032工作面均发生过冲击地压灾害,其中21141工作面冲击地压有38次发生在下巷、1次发生在回采工作面,21112,21221工作面各4次均在下巷,21201工作面3次均在下巷,21032工作面2次在回风上下山,如图1所示。可见5个工作面冲击地压大多发生在下巷,共49次,占冲击地压总数的94.23%;发生在回风上下山的共2次,占3.85%;发生在回采工作面的共1次,占1.92%。

图1 千秋煤矿冲击地压发生位置统计
Logistic回归是一种统计分析工具,能对因变量和自变量进行回归建模,可探究某种灾害发生的危险因素,并根据危险因素定量预测该灾害的发生概率[16]。Logistic回归能得到各灾害监测指标的耦合权重,并以事件发生概率的形式给出灾害发生预测结果,广泛应用于滑坡、地震等灾害预测研究中[17-18]。
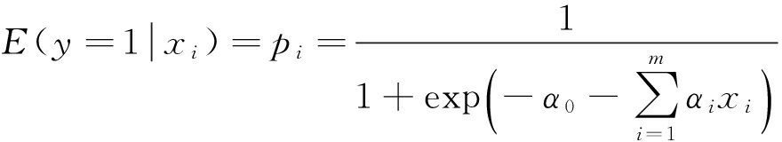
将冲击地压分为“发生”和“未发生”2种状态,设冲击地压发生因变量为y,则y=1表示冲击地压发生,y=0表示冲击地压未发生。设冲击地压发生的评价指标向量为x=[x1 x2… xm](xi为第i个评价指标,i=1,2,…,m,m为评价指标总数),冲击地压发生的条件概率为E(y=1|xi)=pi(pi为冲击地压发生概率),则Logistic回归模型可表示为[18]

(1)
式中:α0为常数;αi为评价指标xi的耦合权重参数。
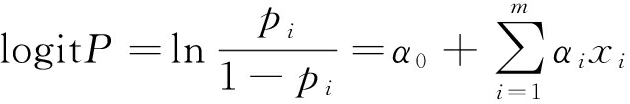
对冲击地压发生概率与不发生概率之比P(称为优势比)进行logit变换(取对数),得到Logistic回归模型的线性表达式:
(2)
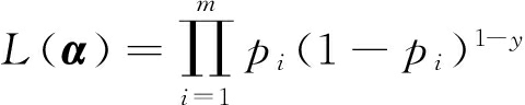
指标耦合权重参数向量α=[α0 α1… αm],通常采用最大似然估计法进行求解。向量α的最大似然函数为
(3)
对式(3)取对数可得
(4)
根据最大似然原理,为求得使对数似然函数(式(4))达到最大值的指标耦合权重参数向量α,对ln L(α)求一阶导数并令其为0,再采用Newton-Raphson 非线性迭代法求解,即可得到指标耦合权重参数向量α的最大似然估计值[16]。
首先基于常规指标建立冲击地压预警模型,然后基于常规指标与地球物理指标组成的综合指标建立冲击地压预警模型,并对2种模型预测结果进行比较。采用千秋煤矿现场测得的127组有效数据,前90组数据用于拟合Logistic回归方程,其余37组数据用于验证冲击地压预警模型的预测结果。
3.1 基于常规指标Logistic回归的冲击地压预警模型分析
首先选取支护阻力、钻孔应力和瓦斯浓度3个常规指标建立基于Logistic回归的冲击地压预警模型,利用SPSS统计分析软件对该模型进行分析,结果表明:参与分析的数据为90个,全部纳入分析,无缺省值;模型的显著性为0.095,说明输入的所有常规指标参量与logitP具有一定的相关关系;模型的Cox & Snell R 平方和Nagelkerke R 平方分别为0.147和0.224,说明该模型的回归变异性不大。上述结果验证了选用该模型是合理的。
基于常规指标Logistic回归的冲击地压预警模型预测结果见表1。可看出65个无冲击地压事件被准确预测出,正确率为80.2%,但只有2个冲击地压事件被准确预测出,正确率为22.2%,总的正确率为(65+2)/90=74.4%;有16次实际未发生冲击地压但进行了预警,误报率为16/90=17.8%;有7次实际发生了冲击地压而未预警,漏报率为7/9=77.8%。可见基于常规指标Logistic回归的冲击地压预警模型预测效果不理想。
表1 基于常规指标Logistic回归的冲击地压 预警模型预测结果

3.2 基于综合指标Logistic回归的冲击地压预警模型分析
采用常规指标(钻孔应力、支护阻力、瓦斯浓度)和地球物理指标(微震平均震源距、微震日能量、微震日频次、电磁辐射强度)作为冲击地压预警综合指标。采用SPSS统计分析软件对模型进行分析,结果表明:模型显著性为0.019,说明输入的所有常规指标参量与logitP之间存在显著的相关关系,且远小于基于常规指标Logistic回归的冲击地压预警模型的显著性;模型的拟合显著性最高可达0.922,说明该模型拟合优度较好。
基于综合指标Logistic回归的冲击地压预警模型预测结果见表2。可看出73个无冲击地压事件被准确预测出,正确率为90.1%,7个冲击地压事件被准确预测出,正确率为77.8%,总的正确率为(7+73)/90=88.9%;有8次实际未发生冲击地压但进行了预警,误报率为8/90=8.9%;有2次实际发生了冲击地压而未预警,漏报率为2/9=22.2%。该模型的正确率、误报率和漏报率都明显优于基于常规指标Logistic回归的冲击地压预警模型,预测效果较为理想。
表2 基于综合指标Logistic回归的冲击地压 预警模型预测结果

3.3 冲击地压危险性预测验证
表3为基于综合指标Logistic回归的冲击地压预警模型的指标耦合权重、显著性水平和Wald统计量,可看出冲击地压发生的重要指标参量为微震日能量、瓦斯浓度、微震平均震源距、电磁辐射强度。微震平均震源距、微震日能量、微震日频次、电磁辐射强度、钻孔应力的指标耦合权重为正值,说明随着这些参量的增大,冲击地压危险性增加,与实际情况吻合。
表3 基于综合指标Logistic回归的冲击地压预警模型结果分析

根据表3可得冲击地压危险性与各监测指标间的定量表达式为
p=[1+exp(24.321-1.496d-0.061e-0.017f- 0.101s+0.045r-0.963b+54.536g)]-1
(5)
式中:p为冲击地压危险性预测值;d为微震平均震源距;e为微震日能量;f为微震日频次;s为电磁辐射强度;r为支护阻力;b为钻孔应力;g为瓦斯浓度。
用于验证冲击地压预警模型预测性能的37组现场实测数据见表4。将数据代入式(5),可得基于综合指标Logistic回归的冲击地压预警模型预测值,其与现场实测数据的对比如图2所示。其中实测值为0代表无冲击地压发生,实测值为1代表有冲击地压或大能量矿震发生;基于综合指标Logistic回归的冲击地压预警模型得到的预测值为0~1,当其值大于0.5时发出冲击预警。
表4 用于验证冲击地压预警模型预测性能的现场实测数据


图2 基于综合指标Logistic回归的冲击地压 预警模型预测值与实测值对比
从图2可看出,基于综合指标Logistic回归的冲击地压预警模型在37次预测中,误报3次(误报率为8.1%),漏报1次大能量矿震事件(漏报率为25%),对其余33次事件都进行了准确预测,预测准确率为89.2%。
(1) 建立了千秋煤矿大采深厚煤层冲击地压预警指标体系,包括常规指标(钻孔应力、支护阻力、瓦斯浓度)体系及该常规指标与地球物理指标(微震平均震源距、微震日能量、微震日频次、电磁辐射强度)结合的综合指标体系。
(2) 采用Logistic回归方法,基于常规指标和综合指标建立了大采深厚煤层冲击地压预警模型,并采用千秋煤矿实测数据对该模型进行了测试,结果表明基于综合指标Logistic回归的冲击地压预警模型较基于常规指标Logistic回归的冲击地压预警模型具有更好的拟合优度及更高的预测准确率。
(3) 采用SPSS软件得出了综合指标与冲击地压危险性之间的定量关系,并结合现场实测数据对基于综合指标Logistic回归的冲击地压预警模型进行了验证,结果表明该模型对冲击地压的预测准确率为89.2%。
参考文献:
[1] 何满潮,谢和平,彭苏萍,等.深部开采岩体力学研究[J].岩石力学与工程学报,2005,24(16):2803-2813.
[2] 夏永学,康立军,齐庆新,等.基于微震监测的5个指标及其在冲击地压预测中的应用[J].煤炭学报,2010,35(12):2011-2016.
[3] 张菊连,沈明荣.高速公路边坡稳定性评价新方法[J].岩土力学,2011,32(12):3623-3629.
[4] 王恩元,刘晓斐,李忠辉,等.电磁辐射技术在煤岩动力灾害监测预警中的应用[J].辽宁工程技术大学学报(自然科学版),2012,31(5):633-634.
[5] 王笑然,刘晓斐,马东,等.煤岩受载变形破坏声电信号时域特征的实验[J].煤矿安全,2014,35(9):35-39.
[6] 王恩元,何学秋,李忠辉,等.煤岩电磁辐射技术及其应用[M].北京:科学出版社,2009.
[7] 刘金海,翟明华,郭信山,等.震动场、应力场联合监测冲击地压的理论与应用[J].煤炭学报,2014,39(2):353-363.
[8] 张宗文,王元杰,赵成利,等.微震和地音综合监测在冲击地压防治中的应用[J].煤炭科学技术,2011,39(1):44-47.
[9] 吕进国,姜耀东,赵毅鑫.冲击地压层次化监测及其预警方法的研究与应用[J].煤炭学报,2013,38(7):1161-1167.
[10] 张瑞玺.开滦矿区深部煤层冲击地压监测与防治体系研究[D].北京:中国矿业大学(北京),2015.
[11] 姜福兴,舒凑先,王存文.基于应力叠加回采工作面冲击危险性评价[J].岩石力学与工程学报,2015,34(12):2428-2435.
[12] 朱斯陶,姜福兴,刘金海,等.深井厚煤层冲击地压与大变形协调控制机制研究[J].岩石力学与工程学报,2015,34(增刊2):4262-4268.
[13] 张洪伟,万志军,张源,等.非充分稳定覆岩下综放沿空掘巷窄煤柱变形机理[J].采矿与安全工程学报,2016,33(4):692-698.
[14] 杨光宇,姜福兴,王存文.大采深厚表土复杂空间结构孤岛工作面冲击地压防治技术研究[J].岩土工程学报,2014,36(1):189-194.
[15] 魏全德,姜福兴,姚顺利,等.特厚煤层下山煤柱区巷道冲击危险性实时监测预警研究[J].采矿与安全工程学报,2015,32(4):530-536.
[16] 杜强,贾丽艳.SPSS统计分析从入门到精通[M].北京:人民邮电出版社,2011.
[17] OHLMACHER G C,DAVIX J C.Using multiple logistic regression and GIS technology to predict landslide hazard in Northeast Kansas,USA [J].Engineering Geology,2003,69(3/4):331-343.
[18] LI Zhonghui,WANG Enyuan,OU Jianchun,et al.Hazard evaluation of coal and gas outburst in a coal-mine roadway based on logistic regression model[J].International Journal of Rock Mechanics and Mining Science,2015,80:185-195.
Rock burst early-warning for thick coal seam in deep mining based on Logistic regression
WU Jianbo1, WANG Enyuan2, REN Xuekun2, WANG Xiaoran2
(1.School of Information and Control Engineering, China University of Mining and Technology, Xuzhou 221116, China; 2.School of Safety Engineering,China University of Mining and Technology, Xuzhou 221116, China)
Abstract:For difficult rock burst monitoring and early-warning for thick coal seam in deep mining, a rock burst early-warning model based on Logistic regression was established by use of conventional indexes (support resistance, borehole stress and gas concentration) as well as the one by use of comprehensive indexes including the conventional indexes (support resistance, borehole stress and gas concentration) and geophysical indexes (average focal distance, daily pulses and daily energy of microseism, and intensity of electromagnetic radiation). Quantitative expression between probability of rock burst occurrence and comprehensive indexes was obtained. Finally, the rock burst early-warning models were tested by use of measured data in Qianqiu Coal Mine. The research results show that forecasting accuracy rate of the rock burst early-warning model based on Logistic regression by use of comprehensive indexes achieves 89.2%, whose goodness of fit and forecasting accuracy rate is higher than the ones of the model by use of the conventional indexes.
Key words:coal mining; thick coal seam in deep mining; rock burst; monitoring and early-warning; Logistic regression
文章编号:1671-251X(2017)06-0042-05
DOI:10.13272/j.issn.1671-251x.2017.06.010
收稿日期:2016-11-22;
修回日期:2017-05-05;责任编辑:李明。
基金项目:教育部科学技术研究项目(113031A);中国矿业大学第七批优秀创新团队建设基金资助项目(2014ZY001)。
作者简介:吴健波(1982-),男,江苏启东人,副研究员,博士研究生,研究方向为矿山煤岩动力灾害监测,E-mail:wujianbo@cumt.edu.cn。
中图分类号:TD324
文献标志码:A 网络出版时间:2017-05-26 09:49
网络出版地址:http://kns.cnki.net/kcms/detail/32.1627.TP.20170526.0949.010.html
吴健波,王恩元,任学坤,等.基于Logistic回归的大采深厚煤层冲击地压预警[J].工矿自动化,2017,43(6):42-46.