杨贺1,2, 邱黎明1,2, 汪皓1,2, 张子阳2, 赵聪2
(1.煤矿瓦斯与火灾防治教育部重点实验室, 江苏 徐州 221116;2.中国矿业大学 安全工程学院, 江苏 徐州 221116)
摘要:为了研究开采下伏8号煤层能否缓解赵庄煤矿主采3号煤层开采过程中的强矿压显现问题,采用FLAC3D软件模拟远距离下保护层开采方案,分析了下保护层8号煤层开采前后被保护层3号煤层采掘过程中的应力峰值、应力分布及塑性范围。结果表明,随着下保护层8号煤层工作面的推进,被保护层3号煤层工作面在倾向上的应力整体呈“M”型分布,煤体两端呈现应力集中,中部区域应力较低,使布置于中部卸压区的3号煤层工作面巷道围岩产生不同程度的卸压;下保护层8号煤层开采后,被保护层3号煤层工作面的煤体应力峰值减小约18%,采动影响距离减小约10 m,且应力集中程度减弱,工作面煤体基本未出现新的塑性区域。
关键词:煤炭开采; 围岩稳定性; 强矿压显现; 下保护层开采; 采动应力场; 卸压
近年来,随着矿井开采规模逐年扩大,矿压显现加剧,煤与瓦斯突出和冲击地压等煤岩动力灾害日益严重,严重威胁矿井人员和生产设施的安全。防治煤岩动力灾害已成为当前矿山灾害防治的首要任务。作为区域性卸压措施,保护层开采被用于煤与瓦斯突出、冲击地压灾害防治,得到深入研究[1-5]。沈荣喜等[6]利用FLAC3D软件研究了七台河矿区近距离保护层开采的防冲机理,并讨论了保护层工作面的合理布置。曹承平[7]研究了近距离上保护层开采的瓦斯治理方法,提出在保护层设计走向孔抽排上邻近层卸压瓦斯。张拥军等[8]应用RFPA-Gas程序研究了近距离上保护层开采瓦斯运移规律,得到被保护层瓦斯流量分布、瓦斯压力分布和透气系数的变化规律。保护层开采不仅有较理想的防突效果,也具有明显的防冲作用。目前对保护层开采的研究多集中在近距离上保护层防突领域,对远距离下保护层缓解强矿压显现作用的研究较少。
山西晋城无烟煤矿业集团有限责任公司赵庄煤矿主采3号煤层,回采过程中工作面出现不同程度的巷道变形,其中巷道上方顶板下沉,底臌和帮臌现象尤为明显,特别是底板底臌程度严重,且伴随有间歇性的煤炮声、片帮现象。3号煤层下方42 m处为8号煤层,厚度为0~2.55 m,平均厚度为0.86 m,煤厚小,目前未开采,且两煤层相对层间距[9]为21.2。为研究开采8号煤层能否缓解3号煤层开采过程中的强矿压显现问题,拟采用先采8号煤层再采3号煤层的远距离下保护层开采方案,对该方案进行FLAC3D数值模拟研究,分析远距离下保护层8号煤层开采前后,被保护层3号煤层回采期间的应力分布、塑性范围及差异,进而判断其卸压效果。
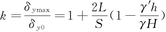
当保护层工作面开采后,该区域原始应力场的平衡状态遭到破坏,围岩应力重新分布。为研究下保护层开采后上覆煤岩层的卸压规律,将上覆煤岩体视为连续介质,采用弹性力学理论[10-13]建立工作面倾向模型。为便于求解,用应力的转移量来表征上覆煤岩层的卸压程度,对保护层的受力情况进行抽象,抽象出的力学模型[14]如图1所示,其中k为应力集中系数,q0为煤岩体所受载荷。

图1 保护层应力分布计算力学模型
保护层工作面开采后上覆煤岩层发生自重转移,造成采空区边缘有较大的应力集中,应力集中区的支撑应力为
(1)
式中:L为工作面倾向长度的一半;S为侧向支承压力分布范围;γ为岩石容重;H为采深;γ′为煤的容重;h为煤层厚度。
根据应力与内力的关系,有
(2)
式中:δy为y方向应力;δymax为y方向集中应力;δy0为原岩应力,δy0=q0=γH。
由式(1)、式(2)得
(3)
由于δymax=kδy0,所以有
(4)
则应力转移量为(k-1)q0。
根据赵庄煤矿3号、8号煤层综合地质情况建立数值模型。赵庄煤矿位于沁水煤田东南部,3号煤层可采走向长度为1 962 m,倾向长度为219.5 m,煤层厚度为4.48 m,煤层倾角为1~8°。直接顶多为砂质泥岩或泥岩,厚0~13.08 m;基本顶为中粒砂岩、细粒砂岩及粉砂岩,厚0.6~12.26 m,裂隙较发育,呈半张开状,有方解石和泥质物充填现象;直接底多为砂质泥岩或炭质泥岩,局部地段为粉砂岩或细粒砂岩,厚度为0~11.2 m,有时有泥岩伪底;基本底为细粒砂岩,属软弱-坚硬型。根据现场地质调查、煤岩力学试验研究结果和相关资料,确定模拟计算所用的岩体力学参数,见表1。根据表1及煤层赋存条件建立三维数值模型,其边界条件如图2所示。模型四周边界均固定水平位移,底端边界固定垂直位移,顶端边界施加均匀载荷,设置岩体垂直应力为10.83 MPa,水平应力为13 MPa,模型初始位移和速度均为0,模型采用Mohr-Coulomb破坏准则。
表1 岩体力学参数

鉴于赵庄煤矿3号煤层回采过程中冲击地压现象频现,基于该矿地质工程背景,为研究开采下伏8号煤层能否缓解3号煤层开采过程中的强矿压显现问题,提出2种模拟开采方案:① 非保护层开采,即不采8号煤层,直接开采3号煤层;② 下保护层开采,即先采8号煤层作为保护层,后采3号煤层。

图2 煤层三维数值模型
通过逐步开挖模拟采掘过程,分别计算、分析2种方案在回采过程中,3号煤层巷道及工作面围岩应力大小及分布、塑性范围的变化规律,进而得出远距离下保护层开采的卸压效果。
3.1 回采期间巷道围岩应力
受回采期间采动剧烈影响,回采期间3号煤层工作面前方围岩应力发生了显著改变。在模拟3号煤层工作面回采过程中,3号煤层中设有应力监测点,监测2种模拟开采方案下,3号煤层走向及倾向上巷道垂直应力。依据模拟研究目的,采用FLAC3D软件的单元应力导出命令导出回采期间应力分布数据,如图3、图4所示。

(a) 走向

(b) 倾向
图3 采用非保护层开采,工作面推进100 m时 垂直应力分布
采用下保护层开采方案时,工作面推进100 m后,上巷垂直应力峰值约为25.4 MPa,应力集中系数为1.81,采动影响距离超前工作面50~65 m,比采用非保护层开采方案时减少5 m左右;下巷垂直应力峰值约为26.9 MPa,应力集中系数为1.83,采动影响距离超前工作面80~120 m,比采用非保护层开采方案时减少10 m左右。由图3、图4及提取的应力数据可知,采用下保护层开采方案时,在工作面推进过程中,应力峰值区分别位于煤壁前方4~18 m、后方8~16 m,比采用非保护层开采方案时减小约18%,而在下保护层8号煤层的采空区中部,被保护层3号煤层应力最小,中部应力比周围煤岩体所受应力小接近一个数量级。

(a) 走向

(b) 倾向
图4 采用下保护层开采,工作面推进100 m时 垂直应力分布
3.2 下保护层开采上覆煤岩层应力分布
下保护层8号煤层开采后,被保护层3号煤层原始应力场的平衡状态遭到破坏,围岩应力重新分布。为研究下保护层8号煤层工作面推进过程中被保护层3号煤层的应力分布规律,通过FLAC3D软件的单元应力导出命令导出相应数据,经处理得到被保护层3号煤层倾向上最大主应力分布,如图5所示。

图5 3号煤层倾向上最大主应力分布
从图5可看出,倾向上3号煤层应力分布曲线整体上呈“M”型,区域划分明显,应力集中区呈对称分布。下保护层8号煤层工作面推进50 m时,被保护层3号煤层卸压区前后20~70 m开始出现应力集中,随着回采推进距离的增加,煤体两端围岩倾向应力逐步增大,应力集中区范围也逐渐扩大,推进距离达到500 m时,围岩倾向应力由原始应力增加到23.6 MPa,比未采动时增加了4.1 MPa。下保护层采空区上覆煤岩层自重转移,被保护层3号煤层此处应力得到释放,对应图5中卸压区域(倾向100~200 m)。在下保护层8号煤层推进200 m时,被保护层3号煤层卸压区应力减小,最低为16.5 MPa,卸压效果最理想。
为避免被保护层3号煤层巷道布置到应力集中区,加剧冲击地压危险性,被保护层3号煤层工作面应布置在下保护层8号煤层工作面的卸压范围内,即3号煤层工作面的上下巷应分别位于8号煤层工作面上下巷的内侧。根据模拟计算结果,8号煤层工作面上巷与3号煤层工作面上巷之间倾向上垂直投影距离s2应大于6.8 m,其对应卸压角δ约为73°;2个工作面下巷间倾向上垂直投影距离s1应大于8.1 m,其对应卸压角β约为87°,如图6所示。这样布置巷道能使3号煤层工作面完全处于卸压区域内,取得理想的防冲效果。

图6 保护层8号煤层与被保护层3号煤层工作面巷道布置
3.3 回采期间巷道围岩塑性区
下保护层开采后,首先表现出卸压作用,其次表现出煤层膨胀变形,最后表现出瓦斯动力参数变化,卸压作用可视为引起其他因素变化的原因。被保护层受采动影响,应力重新分布,回采期间巷道开挖活动影响煤岩体的稳定性,破坏了其围岩结构,巷道周围出现塑性区。2种开采方案下被保护层3号煤层工作面巷道塑性区分布如图7所示。
从图7可看出,采用非保护层开采方案时,尽管工作面中部有结构较完整的弹性区,但其他大部分范围的围岩在回采过程中逐渐发生了塑性变形,煤层应力较大,煤层围岩由于应力集中而破碎,对于围岩稳定性具有威胁;上巷顶底板塑性区范围为3~6 m,下巷顶底板塑性区范围为4~10 m。采用下保护层开采方案时,由于围岩在下保护层开采过程中已经发生了塑性变形,回采期间只有小范围的围岩发生了新的塑性变形;上巷顶底板塑性区范围为2~4 m,下巷顶底板塑性区范围为3~7 m,巷道围岩稳定性得到提高。

(a) 非保护层开采

(b) 下保护层开采
图7 2种开采方案下的塑性区分布
(1) 采用下保护层开采方案时,在回采期间,工作面推进过程中应力峰值区分别位于煤壁前方4~18 m、后方8~16 m,主采3号煤层工作面的煤体应力峰值减小约18%,采动影响距离减小约10 m,同时应力集中程度减弱,缓解了主采3号煤层因应力集中而出现的强矿压显现。
(2) 8号煤层开采过程中,倾向上3号煤层应力分布曲线整体呈“M”型,区域划分清晰,煤体两端呈现应力集中,中部卸压效果明显。8号煤层推进200 m时,被保护层3号煤层卸压区应力减小,最小为16.5 MPa,此时卸压效果最理想。随着回采推进距离的增加,煤体两端围岩倾向应力逐步增大,增幅趋于平稳,应力集中区的范围逐渐扩大。
(3) 下保护层8号煤层开采后,被保护层3号煤层在采掘过程中巷道围岩产生不同程度的卸压,工作面煤体基本未出现新的塑性破坏区域,在后期的采掘过程中不易再次产生塑性破坏。
参考文献:
[1] 袁东升.近距离保护层开采多场演化及安全岩柱研究[D].郑州:河南理工大学,2010.
[2] 刘林.开采保护层保护效果及范围的数值模拟研究[J].矿业安全与环保,2005,32(6):6-9.
[3] 付建华.煤矿瓦斯灾害防治理论研究与工程实践[M].徐州:中国矿业大学出版社,2005.
[4] 程远平,俞启香,袁亮.上覆远程卸压岩体移动特性与瓦斯抽采技术[J].辽宁工程技术大学学报,2003,22(4):483-486.
[5] 涂敏,黄乃斌,刘宝安,等.远距离下保护层开采上覆煤岩体卸压效应研究[J].采矿与安全工程学报,2007,24(4):418-421.
[6] 沈荣喜,王恩元,刘贞堂,等.近距离下保护层开采防冲机理及技术研究[J].煤炭学报,2011,36(增刊1):63-67.
[7] 曹承平.近距离上保护层开采的实践[J].煤炭科学技术,2006,34(4):33-35.
[8] 张拥军,于广明,路世豹,等.近距离上保护层开采瓦斯运移规律数值分析[J].岩土力学,2010,31(增刊1):398-404.
[9] 刘洪永,程远平,赵长春,等.保护层的分类及判定方法研究[J].采矿与安全工程学报,2010,27(4):468-474.
[10] 钱鸣高,缪协兴.采场上覆岩层结构的形态与分析[J].岩石力学与工程学报,1995,14(2):97-106.
[11] 朱术云,姜振泉,姚普,等.采场底板岩层应力的解析法计算及应用[J].采矿与安全工程学报,2007,24(2):192-195.
[12] 肖远见,李美海,周定武.开采层底板岩层的应力分布实验及探讨[J].矿业安全与环保,2005,32(5):28-31.
[13] 彭维红,董正筑,李顺才.半平面体弹性问题的边界积分公式及应用[J].中国矿业大学学报,2005,34(3):400-404.
[14] 王海峰.采场下伏煤岩体卸压作用原理及在被保护层卸压瓦斯抽采中的应用[D].徐州:中国矿业大学,2008.
Numerical simulation research on mining stress field of overlying coal-rock seam under far distance lower protective seam mining
YANG He1,2, QIU Liming1,2, WANG Hao1,2, ZHANG Ziyang2, ZHAO Cong2
(1.Key Laboratory of Coal Methane and Fire Control, Ministry of Education, Xuzhou 221116, China;2.Faculty of Safety Engineering, China University of Mining and Technology, Xuzhou 221116, China)
Abstract:In order to research the problem that mining underlying No.8 coal seam can alleviate strong strata behavior during mining No.3 coal seam or not, a far distance lower protective seam mining scheme was simulated by use of FLAC3D software, and stress peak value, stress distribution and plastic range were analyzed during mining process of the protected No.3 coal seam before and after mining the lower protective No.8 coal seam. The research results show that with the lower protective No.8 coal seam advancing, inclined stress of working face of the protected No.3 coal seam represents "M" shape, namely both ends of coal body shows stress concentration, and stress in middle region is lower, so as to make surrounding rock of the No. 3 coal seam working face roadway, which is arranged in central pressure relief area, get pressure relief with different degree. After mining the lower protective No.8 coal seam, the stress peak value of the protected No.3 coal seam working face is reduced about 18%, and mining influence distance is shorted about 10 m. Meanwhile, stress concentration degree is weakened, and new plastic zone does not appear in coal body of the working face.
Key words:coal mining; surrounding rock stability; strong strata behavior; lower protective seam mining; mining stress field; pressure relief
文章编号:1671-251X(2017)06-0037-05
DOI:10.13272/j.issn.1671-251x.2017.06.009
收稿日期:2017-01-12;
修回日期:2017-04-24;责任编辑:李明。
基金项目:国家自然科学基金资助项目(51574231,51504244);教育部科学技术研究项目(113031A);中国矿业大学第七批优秀创新团队建设项目(2014ZY001);煤炭资源与安全开采国家重点实验室大学生科技创新计划项目(SKLMD20150004)。
作者简介:杨贺(1991-),男,河南三门峡人,硕士研究生,研究方向为煤岩动力灾害预防,E-mail:1016490524@qq.com。通信作者:邱黎明(1991-),男,河南周口人,博士研究生,研究方向为煤岩电磁辐射技术,E-mail:limingloving@cumt.edu.cn。
中图分类号:TD322
文献标志码:A 网络出版时间:2017-05-26 09:47
网络出版地址:http://kns.cnki.net/kcms/detail/32.1627.TP.20170526.0947.009.html
杨贺,邱黎明,汪皓,等.远距离下保护层开采上覆煤岩层采动应力场数值模拟研究[J].工矿自动化,2017,43(6):37-41.