实验研究
陈顺1, 郑南山1,2 , 祁云1, 班盟1
(1.中国矿业大学 环境与测绘学院, 江苏 徐州 221116;2.国土环境与灾害监测国家测绘地理信息局重点实验室, 江苏 徐州 221116)
摘要:针对传统煤矿沉陷监测方法存在监测周期长、提取的矿区地表变形量准确率不高的问题,提出将Offset Tracking技术应用到煤矿沉陷区地表大变形的监测中。以张双楼煤矿作为研究对象,应用Offset Tracking技术对该煤矿沉陷区的SAR影像进行处理,采用互相关系数过采样因子法建立地形起伏与噪声偏移量模型,使用最小二乘模拟轨道偏移分量,获取了矿区方位向和距离向的二维变形图和矿区变形信息。利用实测数据对Offset Tracking技术的监测结果进行评价,结果表明,利用Offset Tracking技术监测到的矿区最大沉降位置和变形方向与实测数据基本一致,误差仅为1 cm,说明Offset Tracking 技术能够准确、有效地监测煤矿沉陷区地表大变形,为煤矿沉陷区的合理治理提供依据。
关键词:煤矿沉陷区; 变形监测; 偏移分量; 互相关系数过采样因子法; Offset Tracking; D -InSAR
近年来,随着煤矿的持续开采和开采速度、强度的增加,煤矿沉陷区的变形量级也显著增加,矿区大变形沉陷普遍存在于煤矿采空区[1],加强对矿区沉陷变形的监测具有重要意义。
传统的煤矿沉陷监测方法,如水准测量、GPS测量等方法,虽然测量精度较高,但是只能获得煤矿沉陷区的点位信息,而且有监测周期长、费时费力和成本高昂等缺点[2]。D -InSAR技术利用矿区变形前后的2幅或多幅SAR影像进行差分干涉处理而获取煤矿地表变形量,虽然能够全天时、全天候、大面积地获取矿区沉降信息,但是D -InSAR技术受时空失相干的影响严重,相位解缠处理也相当繁琐,而且当煤矿沉陷区发生大变形时,D -InSAR技术会因为变形量太大导致SAR影像失相干而没法准确提取矿区地表变形量[3]。
Offset Tracking技术是一种新兴的变形监测方法,该方法是基于追踪像素偏移量而进行地表变形的监测,因此,能够监测地表大量级的变形,而且不受失相干的影响,也不需要进行相位解缠的处理,目前主要应用在滑坡、地震同震形变场和冰川位移等大变形的监测中[4]。如林昊[5]利用Offset Tracking技术对树坪滑坡进行监测,得出了利用Offset Tracking技术处理高分辨率影像也能很好地对滑坡进行监测的结论;邵叶[6]同时利用Offset Tracking和D -InSAR技术分别对巴姆、汶川、玉树地震的数据进行处理,获取了地震同震形变场,研究表明,Offset Tracking用于探测地震同震形变场比D -InSAR更具有优势。
本文以徐州矿务集团张双楼煤矿作为研究对象,针对目前矿区地表大变形问题,将Offset Tracking技术应用到煤矿沉陷区大变形的监测中,通过采用互相关系数过采样因子方法,建立地形起伏和噪声模型及模拟轨道引起的偏移分量,准确获取了煤矿沉陷区大变形的沉降量和变形方式。
Offset Tracking利用SAR影像的后向散射强度信息,采用最优解和互相关技术寻找2幅影像的同名点并逐像素进行配准,从而获得同名像元在距离向和方位向的配准偏移量,最后从配准偏移量中提取地表变形量[7]。利用Offset Tracking技术监测变形的流程如图1所示。

图1 利用Offset Tracking技术监测变形的流程
在利用Offset Tracking技术监测矿区地表沉降的过程中,SAR影像的配准偏移量的计算是关键,决定了Offset Tracking获取煤矿沉陷区变形量的精度。矿区 SAR影像配准得到的同名像素坐标偏移量主要由4个分量组成:矿区地表沉降引起的偏移量、卫星轨道位置与姿态差异引起的像素偏移量、地形起伏引起的偏移量及噪声等引起的偏移量。从总的偏移量中扣除轨道误差分量、地形起伏分量和噪声分量后[8],就获得了地表变形的配准偏移分量,计算公式如式(1)所示。
(1)
式中:Rdef为矿区地表沉降引起的偏移量;Rset为主、副影像间同名点配准后的坐标偏移量;Rorb为轨道误差引起的偏移量;Rtop为地形起伏引起的偏移量;Rnoi为噪声引起的偏移量。
因此,为了准确获取煤矿沉陷区的变形场,在计算矿区SAR影像的配准偏移量中采用了互相关系数过采样因子方法,并建立了地形起伏和噪声模型及像素偏移分量计算模型。
1.1 互相关系数过采样因子方法
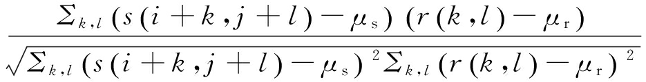
在完成影像粗配准的基础上,采用基于归一化互相关系数计算配准偏移量,式(2)给出了计算互相关系数的公式。
(2)
式中
为滑动窗口的中心坐标;
为参考窗口的中心坐标;s为滑动窗口的像元值;μs为滑动窗口的平均像元值;r为参考窗口的像元值;μr为参考窗口的平均像元值。
基于互相关系数只能够得到影像间像元级的配准精度,为了进一步提高配准精度,需要进行亚像元级的配准。传统的亚像元级配准是先对SAR影像进行内插过采样处理,再进行互相关系数计算,但是基于SAR影像本身的过采样耗时较长,不利于高密度偏移量的快速提取,而且精度受影像分辨率的限制[9]。因此,本文改进传统的亚像元级配准方法,采用基于互相关系数过采样因子的方法进行亚像元级精配准。该方法无需对SAR影像直接进行内插采样,而是对搜索窗口内计算得到的互相关系数进行内插过采样,首先在副影像上选择4像素×4像素大小的搜索窗口,基于式(2)计算得到搜索窗口内的互相关系数,之后采用一定倍数(如8倍)的过采样因子,将窗口中互相关过采样为32像素×32像素的大小,最后以获得的互相关系数峰值位置作为亚像元级配准结果。
1.2 地形起伏和噪声模型建立
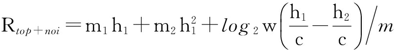
为准确提取可靠的矿区变形场,必须去除地形起伏和噪声对像素偏移量的影响。所以,本文引入该地区的DEM(Digital Elevation Model,数字高程模型)数据,采用联合建模方式达到同时去除这2种系统性偏移量的目的,模型如式(3)所示。
(3)
式中:Rtop+noi为地形起伏引起的偏移量和噪声引起的偏移量之和;m1,m2为地形偏移量模型系数;h1为主影像中心像元高程值 ;h2为副影像中心像元高程值;w为卫星功率值;c为电磁波传播速度。
在式(3)中,前2项为地形偏移量模型,第3项为噪声偏移量模型,将Rtop+noi从总偏移量中扣除后,得到公式(4)。
(4)
式中Rset-top-noi为扣除地形和噪声偏移量后的总偏移量。
1.3 像素偏移分量计算模型建立
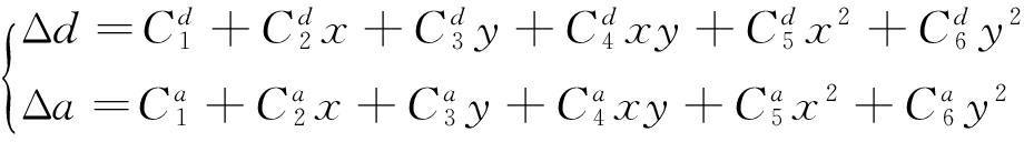
如式(4)所示,为得到煤矿沉陷区的变形场,还需要从总地表偏移量中扣除轨道偏移量,但是2次SAR影像成像时卫星轨道位置和姿态差异引起的同名像素偏移量,难以通过轨道参数直接计算。因此,使用大量同名像素的配准坐标偏移量,采用多项式模型拟合由于轨道引起的系统偏移量,由于在SAR影像内的大部分区域是没有发生变形的,即2次成像间的变形量为0,则这些稳定区域计算出的配准偏移量,即为轨道误差引起的偏移量,即Rset-top-noi=Rorb。基于这些稳定区域的配准偏移量,采用最小二乘算法即可拟合出由轨道引起的偏移量模型[10]。为了得到高精度的偏移量拟合模型,基于传统的多项式拟合模型,本文将轨道误差引起的偏移量Rorb分为距离向偏移量Δd和方位向偏移量Δa,分别对Δd,Δa进行二阶多项式最小二乘拟合,如式(5)所示。
(5)
式中
为距离向偏移量拟合系数,i=1,2,…,6;
为方位向偏移量拟合系数;
表示主影像上的像元位置。
由模型拟合得到轨道偏移量后,将配准偏移量Rset-top-noi减去拟合的轨道偏移量Rorb,即为实际的矿区地表变形偏移量Rdef,最后将矿区地表变形偏移量Rdef分离成实部和虚部,提取出方位向和距离向的地表变形值[11]。
由于Offset Tracking技术是基于追踪像元偏移量计算出地表变形量的,所以,受雷达信号失相干的影响很小,也不需要进行相位解缠处理,可以监测到变形量更大和时间跨度更长的地表形变场[12]。
2.1 研究区域概况
本文以张双楼煤矿为研究对象。张双楼煤矿位于徐州市西北沛县境内,经过30年的高强度开采,张双楼煤矿及其周围已经出现了不同程度的地面沉陷,造成了地表变形、民房开裂、路表塌陷、矿区局部地震等地质灾害问题,严重地影响了当地居民的生活和矿区的安全生产[13]。本文采用Offset Tracking技术对张双楼煤矿沉陷区大变形进行监测,获取了矿区沉降的分布情况、沉降量和沉降方式等变形信息。研究区域的SAR强度影像如图2所示。

图2 研究区域的SAR强度影像
2.2 实验数据的选取
虽然Offset Tracking技术具有不受影像失相干影响的优势,但是该技术是基于追踪像元偏移量而计算地表变形量的,所以,它的监测精度依赖于所选用的SAR影像数据的分辨率,所选用的SAR影像数据的分辨率越高,提取出的地表变形的精度就越高[14]。而对D -InSAR技术来说,在监测地表沉降的过程中其监测精度会受到影像数据分辨率、波长、季节等多种因素的影响,而且其能够监测到的地表变形的量级是在一定范围内的。在D -InSAR技术生成的干涉图中,单个像元的变化量为一条干涉条纹时,其变化量恰好能被监测到,此时,该像元的形变梯度为最大形变梯度量[15]。最大变形函数模型为
(6)
式中:dx为最大形变梯度;λ为影像数据波长;η为像元边长。
将各个雷达数据的波长和分辨率代入式(6),得出L波段的PALSAR影像数据最有利于D -InSAR技术探测到更大的地表变形量,同时冬季时间的影像数据可以将由植被变化带来的失相干影响降到最低。因此,在保证Offset Tracking技术监测精度的前提下,为了增加Offset Tracking技术和D -InSAR技术监测结果的对比度,本实验选取L波段的ALOS PALSAR影像作为研究区域的实验数据,实验数据的基本信息见表1。
表1 实验数据基本信息

3.1 矿区大变形数据处理及结果
本文使用GAMMA雷达遥感影像处理软件对研究区域的PALSAR影像数据进行处理,首先进行像元空间重采样,其次进行影像配准处理,包括计算影像间整体偏移多项式的粗配准和基于互相关系数过采样因子方法计算局部配准偏移量的精配准,通过建立的地形起伏、噪声模型和基于最小二乘法模拟的轨道偏移量模型,从总偏移量中去除地形起伏、噪声和轨道差异引起的偏移量,将得到的矿区变形场配准偏移量进行实部和虚部的分离,最后生成了矿区方位向和距离向的二维沉降图。其中方位向沉降如图3所示,距离向沉降如图4所示。

图3 基于Offset Tracking技术处理生成的方位向沉降

图4 基于Offset Tracking技术处理生成的距离向沉降
从图3可以看出,矿区沉陷区在方位向上有7 cm的偏移量,沉降整体呈现西南-东北走向,最大沉降点位于沉降区的东北角。从图4可以看出,矿区沉陷区在距离向上有5 cm的偏移量,在沉陷区内呈现出西-东的偏移趋势。
同时,采用D -InSAR技术对矿区影像数据进行处理,经过配准、干涉图生成、去除地形相位、去除平地效应、滤波、相位解缠等处理后,最终生成的矿区沉降如图5所示。

图5 基于D -InSAR技术处理生成的矿区沉降
从图5可以看出,D -InSAR技术共探测出矿区内A,B两处发生了沉降,其中沉降区A形成了一个沉降漏斗,沉降量为3 cm,且呈西南-东北走向,沉降中心位于沉降区A的东北角处,沉降区B沉降量较小,仅为5 mm。
3.2 矿区大变形监测结果分析
将Offset Tracking技术和D -InSAR技术的监测结果进行对比,结果见表2。从表2可看出,Offset Tracking技术监测的矿区最大沉降量所处位置与D -InSAR技术监测结果和实测数据一致,都位于沉陷区东北角处,但是在沉陷区最大沉降量的监测中,Offset Tracking技术监测结果与实测数据相比只有1 cm左右的误差,而D -InSAR技术监测结果和实测数据的误差达到2.8 cm,表明了Offset Tracking技术在监测地表大变形时比D -InSAR技术的监测结果精度更高,并且Offset Tracking技术得到了沉陷区的变形方向,沉陷区在方位向上呈西南-东北的变形趋势,在距离向上则呈现出西-东的偏移趋势。将Offset Tracking技术用于监测煤矿沉陷区地表大变形,能够准确地获取煤矿沉陷区的沉降量和变形方向等信息。
表2 矿区沉降信息统计

利用Offset Tracking 技术对张双楼煤矿沉陷区进行变形监测,处理过程中采用了互相关系数过采样因子法,并建立了地形起伏和噪声偏移量模型及使用最小二乘模拟了轨道偏移分量,最终获得了沉陷区方位向和距离向的二维位移图,监测出沉陷区在方位向上有7 cm的偏移,在距离向上有5 cm的偏移,同时获得了沉陷区的变形方式。监测结果表明,沉陷区在方位向上具有整体向西南-东北的位移趋势,在距离向上则呈现出西-东的偏移趋势,与实际情况一致。将D -InSAR技术监测结果和矿区实测数据与Offset Tracking 技术监测结果进行对比分析,结果表明,Offset Tracking 技术可以更准确地监测煤矿沉陷区的沉降量和沉降分布情况,监测结果比D -InSAR技术更接近实测值,为治理和修复煤矿沉陷区提供了依据。
参考文献:
[1] 冯婷婷.D -InSAR技术在神东矿区开采沉陷监测中的应用[D].焦作:河南理工大学,2015:23-45.
[2] 高腾飞,陶秋香,刘国林,等.L波段D -InSAR在矿区地面沉降监测中的应用[J].中国科技论文,2016,11(15):1738-1743.
[3] 汪磊,邓喀中,薛继群,等.融合概率积分模型与D -InSAR的开采沉陷预计[J].金属矿山,2016(2):160-163.
[4] 周辉.利用InSAR资料研究缅甸地震同震形变和震源参数[D].长沙:中南大学,2013:26-46.
[5] 林昊.基于D -InSAR和Offset Tracking技术的滑坡形变场提取研究[D].北京:中国地质大学(北京),2014:31-38.
[6] 邵叶.基于D -InSAR和Offset Tracking技术的同震形变场提取研究[D].北京:中国地震局地震预测研究所,2011:42-65.
[7] QU Chunyan,SHAN Xinjian, LIU Yunhua,et al. Ground surface ruptures and near-fault, large-scale displacements caused by the Wenchuan Ms8.0 earthquake derived from pixel offset tracking on synthetic aperture radar images[J].Acta Geological Sinica(English Editon),2012,86(2):510-519.
[8] 庾露.基于高分辨率SAR数据的子带干涉测量技术及其在地震同震形变场应用研究[D].北京:中国地震局地质研究所,2015:37-69.
[9] 刘云华,屈春燕,单新建.基于SAR影像偏移量获取汶川地震二维形变场[J].地球物理学报,2012,55(10):3296-3306.
[10] 刘斌,张景发,罗毅,等.基于SAR影像构建三维同震形变场方法研究[J].大地测量与地球动力学,2013,33(4):4-8.
[11] 陈强,罗容,杨莹辉,等.利用SAR影像配准偏移量提取地表形变的方法与误差分析[J].测绘学报,2015,44(3):301-308.
[12] 李佳,李志伟,汪长城,等.SAR偏移量跟踪技术估计天山南依内里切克冰川运动[J].地球物理学报,2013,56(4):1226 -1236.
[13] 赵洪运.基于D -InSAR技术的矿区形变监测[J].神华科技,2015,13(6):31-34.
[14] 刘一霖.矿区开采沉陷大量级形变监测与反演分析[D].西安:长安大学,2013:12-23.
[15] 王爱国,李陶.融合多源地面沉降监测数据的理论与方法研究[J].测绘工程,2016,25(9):6-11.
CHEN Shun1, ZHENG Nanshan1,2 , QI Yun1, BAN Meng1
(1.School of Environment Science and Spatial Informatics, China University of Mining and Technology, Xuzhou 221116, China;2.NASG Key Laboratory of Land Environment and Disaster Monitoring, Xuzhou 221116, China)
Abstract:In view of problems of long monitoring cycle, low accuracy of extracted deformation quantity of surface shape existed in traditional coal mining subsidence monitoring methods, Offset Tracking technology was applied to monitoring of large deformation of coal mine subsidence area. Taking Zhangshuanglou Coal Mine as research object, the Offset Tracking technology was used to deal with SAR images of the coal mine subsidence area, two-dimensional deformation figure and the mining deformation information in distance and azimuth direction were obtained by adopting method of cross-correlation factor and over sampling to establish terrain fluctuation and noise offset model, and using the least square method to simulate track offset component. The monitoring results of using the Offset Tracking technology was evaluated with measured data. The results show that the maximum subsidence location and deformation direction of the mining area which monitored by the Offset Tracking technology are consistent with the measured data, and the error is only 1 cm. The results show that the Offset Tracking technology can accurately and effectively monitor the large deformation of coal mine subsidence area, and can provide basis for rational control of coal mine subsidence area.
Key words:coal mine subsidence area; deformation monitoring; offset component; method of cross-correlation factor and over sampling; Offset Tracking; D -InSAR
文章编号:1671-251X(2017)06-0032-06
DOI:10.13272/j.issn.1671-251x.2017.06.008
收稿日期:2016-11-18;
修回日期:2017-03-08;责任编辑:张强。
基金项目:国家自然科学基金项目(51174206)。
作者简介:陈顺(1991-),男,江苏徐州人,硕士研究生,研究方向为数字矿山与沉陷控制工程,E-mail:2281036897@qq.com。
中图分类号:TD325
文献标志码:A 网络出版时间:2017-05-26 09:45
网络出版地址:http://kns.cnki.net/kcms/detail/32.1627.TP.20170526.0945.008.html
陈顺,郑南山,祁云.Offset Tracking在煤矿沉陷区地表大变形监测中的应用[J].工矿自动化,2017,43(6):32-37.