徐元博1,2, 蔡宗琰2
(1.西京学院 机电技术系, 陕西 西安 710123; 2.长安大学 工程机械学院, 陕西 西安 710064)
摘要:针对常见故障特征提取方法不能完全、有效地提取复合故障特征的问题,提出了一种改进快速独立分量分析(FastICA)算法。该算法自适应选择不同的非线性函数进行渐进性分析,提取的数据特征较FastICA算法更准确。将改进FastICA算法应用于振动筛复合故障诊断中,仿真和实测结果表明,该算法可有效提取不同的故障特征,具有较高的分离精度。
关键词:振动筛; 复合故障诊断; 故障特征提取; 快速独立分量分析
在煤炭行业中,振动筛是广泛应用的分级、脱水、脱泥设备,其性能直接影响选煤的质量与效率。振动筛结构复杂,且运行环境恶劣,因此发生的故障较复杂,常伴有复合故障特征,故障特征提取困难[1-2]。
文献[3-6]利用经验模态分解算法对故障特征信号进行分析,但易发生模态混叠现象,造成模态分量物理意义不明确,可能引起对信号特征的误判和漏判[7]。文献[8-9]将希尔伯特变换方法应用于轴承故障特征的提取,对冲击信号有较好的识别能力,但当信号中出现复合故障频率时,提取出的故障频率很可能是复合故障频率之差,而不是真实频率。文献[10]通过形态滤波算法对振动信号进行处理,但在抑制噪声、提取故障特征的同时,也会过滤复合故障中的低频谐波信号,导致故障特征提取不完全。快速独立分量分析(Fast Independent Component Analysis,FastICA)算法可对混合信号中具有独立统计性的信号进行有效分离,具有运算速度快的优点,已成功应用于机械故障诊断领域[11-13],但其在分离信号时精度较低。鉴此,本文提出一种改进FastICA算法,并将该算法应用于振动筛复合故障诊断中。
一般的ICA(Independent Component Analysis,独立分量分析)数据信号模型是瞬时无噪混合模型,即
X=AS
(1)
式中:X为观测信号矩阵;A为未知的随机混合矩阵;S为源信号矩阵。
ICA算法的目的是找出分离矩阵W,使WA=I(I为单位矩阵),并将W作用于观测信号X,恢复估计的原始信号Y,即
Y=WX
(2)
FastICA算法从以上数学模型发展而来,其详细流程参考文献[5]。但FastICA算法中可供选择的非线性函数较少,因此本文提出一种改进的算法流程:
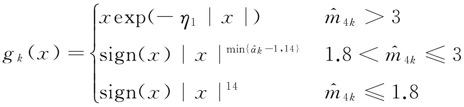
(1) 运行FastICA算法对数据进行预处理直到算法收敛,其中较常采用的非线性函数为g(s)=tanh(s)或g(s)=s/(1+s2)。
(2) 自适应选择非线性函数进行渐进性分析。改进FastICA算法在运行前假设信号服从广义高斯分布,因此定义广义高斯分布的非线性函数为

(3)
式中:x为采集数据;η1=3.348;
为第k组源信号的四阶矩;![]()
(3) 进行迭代,迭代方法见式(4)—式(6)。
(4)
W+←diag[c1,c2,…,cd]W+
(5)
(6)
式中:W+为迭代后的分离矩阵;
为协方差矩阵
为观测信号矩阵的平均值;c1,c2,…,cd为
的特征值。
从上述步骤可看出,FastICA算法在处理数据时往往只能选择固定的非线性函数,当数据不适应该非线性函数时,提取的数据准确性会受到影响。而改进后的算法可根据矩阵W+每一行的数据特征自适应选择不同的非线性函数进行渐进性分析,这样提取的数据特征较FastICA算法更准确。
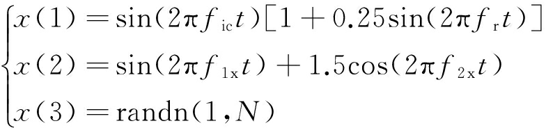
利用3组信号模拟振动筛常见的轴承故障、转子不对中故障及背景噪声:

(7)
式中:x(1)为轴承故障模拟信号;fic为轴承故障频率;t为时间;fr为轴承旋转频率;x(2)为转子不对中故障模拟信号;f1x为转子旋转频率;f2x为转子旋转频率的二倍频;x(3)为背景噪声模拟信号;N为采样点数。
仿真参数:fic=100 Hz,fr=30 Hz,f1x=30 Hz,f2x=60 Hz,N=10 240,采样频率为1 000 Hz。模拟信号波形如图1所示。

(a) 轴承故障模拟信号

(b) 转子不对中故障模拟信号

(c) 背景噪声模拟信号
图1 模拟信号波形
首先将模拟信号x(1),x(2),x(3)用随机均匀分布的3×3混合矩阵A进行混合,得到3组混合信号,如图2所示。然后利用改进FastICA算法对3组混合后信号特征进行还原,得到分离信号,如图3所示。对比图1和图3可看出,分离信号波形特征与模拟信号波形特征基本一致,只是幅值和顺序发生了变化。信号的物理意义主要体现在波形形状上,幅值和顺序的变化不影响对信号的分析。因此,可看出改进FastICA算法可从混合信号中分离出具有实际物理意义的成分。

(a) 轴承故障混合信号

(b) 转子不对中故障混合信号

(c) 背景噪声混合信号
图2 混合信号波形

(a) 轴承故障分离信号

(b) 转子不对中故障分离信号

(c) 背景噪声分离信号
图3 分离信号波形
用串音误差[14]来衡量改进FastICA算法的分离精度,其表达式为

(8)
式中:pij为分离矩阵与混合矩阵相乘后矩阵中元素;maxi|pij|,maxj|pij|分别为相乘后矩阵中第i行、第j列元素绝对值的最大值。
串音误差如图4所示,可看出随着迭代次数的增加,误差逐渐降低,保持在2%左右,表明改进FastICA算法具有较高的分离精度。
为进一步验证改进FastICA算法在实际工况下的实用性,将该算法应用到振动筛的故障诊断中。在振动筛4个轴承座上分别布置4路传感器采集振动信号。电动机轴承转速为910 r/min,即基频为15.17 Hz。1308型号滚动轴承内环点蚀故障尺寸为长0.5 mm、宽1.0 mm、深0.2 mm。轴承内环点蚀故障信号采样频率为20 kHz,采样点数为10 000,根据理论计算轴承内环故障特征频率为146.86 Hz。因轴承生产加工和安装等误差原因,实际测量的故障频率与理论计算频率略有不同。

图4 串音误差
采集的振动信号时域波形及其频谱分别如图5、图6所示。从图6可看出,内环故障特征频率已被噪声和其他干扰淹没,并没有在图中显现,只有基频频率16.56 Hz。

图5 振动信号时域波形

图6 振动信号频谱
分别采用形态滤波算法、希尔伯特变换方法和改进FastICA算法对故障特征频率进行提取,所得频谱如图7所示。从图7(a)可看出,形态滤波算法提取出的轴承内环故障特征频率基本淹没在噪声中;图7(b)中,希尔伯特变换方法虽然提取出了轴承内环故障特征频率,但由于噪声和其他干扰,提取效果不理想;从图7(c)可清晰看到轴承内环故障特征频率145.52 Hz及其2倍频291.04 Hz,同时发现基频的2倍频33.12 Hz,根据文献[15-16]关于不对中故障特征的描述,说明电动机转子发生了不对中故障。这是由于振动筛在大振动量级下运转时,大偏心块产生的径向力对传动轴产生较大影响,传动轴在旋转时发生了不对中现象。

(a) 形态滤波算法

(b) 希尔伯特变换方法

(c) 改进FastICA算法
图7 振动信号经处理后频谱
(1) 改进FastICA算法可自适应选择不同的非线性函数进行渐进性分析,提取的数据特征较FastICA算法更准确,提高了信号分离精度。
(2) 通过仿真模拟振动筛复合故障和应用实例可看出,改进FastICA算法可同时提取出轴承内环故障特征频率和不对中故障特征频率,验证了该算法在实际工矿现场对于复合故障特征提取的有效性。
(3) 应用改进FastICA算法时必须有足够的信号采集通路,因此在布置传感器时,现场工作量相对较大,如果信号采集通路少于振动源数,该算法会受到一定限制,这也是该算法今后需要改进的地方。
参考文献:
[1] 普亚松,郭德伟,张文斌.故障诊断技术在煤矿机械设备中的应用[J].工矿自动化,2015,41(4):36-39.
[2] MAKINDE O A,RAMATSETSEB I,MPOFU K.Review of vibrating screen development trends:linking the past and the future in mining machinery industries[J].International Journal of Mineral Processing,2015,145:17-22.
[3] 乔淑云.基于EMD方法的煤矿绞车轴承故障诊断[J].工矿自动化,2016,42(4):51-54.
[4] 刘勇智,刘聪.基于EMD和LS-SVM的旋转整流器故障诊断方法研究[J].微电机,2012,45(4):21-24.
[5] 牛杰,刘永祥,秦玉亮,等.一种基于经验模态分解的锥体目标雷达微动特征提取新方法[J].电子学报,2011,39(7):1712-1715.
[6] 庞维建,马海龙,朱益军.EMD滤波在煤矿电动机故障诊断中的应用[J].工矿自动化,2015,41(3):93-95.
[7] ZHANG D,YU D,ZHANG W.Energy operator demodulating of optimal resonance components for the compound faults diagnosis of gearboxes[J].Measurement Science and Technology,2015,26(11):115-117.
[8] 夏均忠,苏涛,王龙,等.基于Hilbert谱奇异值的滚动轴承故障诊断[J].噪声与振动控制,2014(5):140-144.
[9] 赵志宏,杨绍普,李韶华.基于Hilbert谱奇异值的轴承故障诊断[J].中国机械工程,2013,24(3):346-350.
[10] 李兵,高敏,张旭光,等.用形态梯度法与非负矩阵分解的齿轮故障诊断[J].振动、测试与诊断,2014,34(2):295-300.
[11] 唐先广,郭瑜,丁彦春.基于独立分量分析与希尔伯特-黄变换的轴承故障特征提取[J].振动与冲击,2011,30(10):45-49.
[12] 李晓晖,傅攀.基于一维盲源分离的滚动轴承故障诊断[J].电子测量与仪器学报,2013,27(6):535-542.
[13] 赵军,崔颖,刘维,等.基于随机共振和BBS/ICA的轴承故障诊断[J].北京工业大学学报,2014,40(2):176-181.
[14] 李宗,冯志鹏,褚福磊.基于改进的串音误差的盲分离评价指标[J].振动与冲击,2012,31(18):83-88.
[15] 李全坤,廖明夫,蒋云帆.双转子不对中故障振动特性分析[J].机械科学与技术,2014,33(12):1916-1920.
[16] 李明,李自刚.联轴器不对中故障转子系统的动力学试验[J].振动、测试与诊断,2015,35(2):345-351.
Application of improved FastICA algorithm in compound fault diagnosis of vibrating screen
XU Yuanbo1,2, CAI Zongyan2
(1.School of Mechanical and Electrical Technology, Xijing University, Xi'an 710123, China; 2.School of Engineering Machinery, Chang'an University, Xi'an 710064, China)
Abstract:In view of problem that common fault characteristic extraction methods could not extract compound fault characteristic completely and effectively, an improved fast independent component analysis(FastICA) algorithm was proposed. The improved FastICA algorithm adaptively selects different nonlinear function to take progressive analysis, so data characteristic extracted by the improved FastICA algorithm is more accurate than that extracted by FastICA algorithm. The improved FastICA algorithm was applied to compound fault diagnosis of vibrating screen. The simulation and actual test results show that the improved FastICA algorithm can extract different fault characteristics effectively with higher separation accuracy.
Key words:vibrating screen; compound fault diagnosis; fault characteristic extraction; fast independent component analysis
文章编号:1671-251X(2017)05-0079-04
DOI:10.13272/j.issn.1671-251x.2017.05.020
收稿日期:2016-10-12;
修回日期:2017-04-10;责任编辑:盛男。
基金项目:陕西省教育科学“十二五”规划课题项目(SGH13468);西京学院科研基金项目(XJ150128)。
作者简介:徐元博(1986-),男,陕西宝鸡人,助教,博士研究生,主要研究方向为机械故障诊断,E-mail:2016025001@chd.edu.cn。
中图分类号:TD67
文献标志码:A
网络出版:时间:2017-04-25 18:28
网络出版地址:http://kns.cnki.net/kcms/detail/32.1627.TP.20170425.1828.020.html
徐元博,蔡宗琰.改进FastICA算法在振动筛复合故障诊断中的应用[J].工矿自动化,2017,43(5):79-82.