邹梦麒1,2, 刘初升1,2, 武继达1,2
(1.中国矿业大学 机电工程学院, 江苏 徐州 221116;2.中国矿业大学 盱眙矿山装备与材料研发中心, 江苏 徐州 221116)
摘要:应用PROE软件建立了单边驱动式摇摆筛的三维结构模型,并对其进行动态仿真分析,得到作用在偏心轴上的载荷历程。运用解析法和有限元法对偏心轴应力进行分析,得到其应力分布曲线和应力云图,分析结果表明,偏心轴上的危险部位出现在中间轴承座支撑处,最大应力值为35 MPa。运用局部应力应变法对偏心轴疲劳寿命进行分析,得到单边驱动式摇摆筛偏心轴的疲劳寿命为0.98 a,通过分析能够有效预防事故的发生。该研究成果为偏心轴的设计和改进提供了可靠依据。
关键词:单边驱动式摇摆筛; 偏心轴; 解析法; 有限元法; 应力分析; 疲劳寿命分析
单边驱动式摇摆筛是属于物料筛分技术领域的机械设备,尤其适用于选煤厂潮湿细粒煤炭的干法深度筛分[1-3]。偏心轴是单边驱动式摇摆筛的重要部件之一,其质量的好坏直接关系到筛分的效率和安全。偏心轴和它的名字一样,它的中心并非在轴线的中心,不但能传递自转,同时还能传递公转。 所以,在偏心轴内不可避免会产生交变的弯曲应力和扭转应力, 这些应力可能引起偏心轴疲劳,导致失效。一旦偏心轴失效, 就可能导致其他零件随之被破坏。因此,需要对偏心轴进行应力分析和疲劳寿命分析,为偏心轴的设计和改进提供可靠的依据。
运用PROE软件(Pro/Engineer软件的简称)建立的单边驱动式摇摆筛的三维结构模型如图1所示,其主要由电动机、连杆、偏心轴、下筛框、上筛框、悬挂杆、支撑架、机架组成。其中,下筛框固定在机架上,上筛框通过悬挂杆悬挂在机架横梁上。电动机通过胶带传动将动力传递至偏心轴,进而通过连杆驱动上筛框做往复直线运动,从而带动安装在上下筛框支撑架上的筛网做弛张运动。

1-电动机;2-连杆;3-偏心轴;4-下筛框;5-上筛框;6-悬挂杆;7-支撑架;8-机架
图1 单边驱动式摇摆筛的三维结构模型
单边驱动式摇摆筛的驱动机构可简化为如图2所示的曲柄摇杆机构[4]。曲柄转动带动连杆做平面运动,进而连杆带动摇杆摆动,使筛框做往复运动。图中e为曲柄长度,L为连杆长度,l为摇杆长度,θ为曲柄转角,α为连杆转角,φ为摇杆摆角,ω为曲柄角速度,ω1为摇杆角速度,Sx和Sy为质量块m在水平和竖直方向上的位移。

图2 单边驱动式摇摆筛的驱动机构简图
对于偏心轴的应力分析,在以往的研究中,往往忽略了机构的实际运动情况。本文在考虑摇摆筛的运动和变形情况下,利用 PROE软件对摇摆筛进行刚柔耦合动力学仿真[5-6],得到作用在偏心轴上的载荷历程,分析计算偏心轴的应力分布。
运用PROE软件建立好单边驱动式摇摆筛的三维模型后,首先需要对生成柔性体的部件进行材料属性设置,获得最终的刚柔模型。然后在应用程序中选择机构,按照摇摆筛的实际运动情况,设置运动仿真参数,进行刚柔耦合动力学仿真,分析得到摇摆筛稳定运转时偏心轴偏心段处的载荷历程及上筛框的速度变化历程,分别如图3、图4所示。

图3 偏心处的载荷历程

图4 上筛框的速度变化历程
将载荷F和速度v随时间变化图导入Excel中,根据功率公式P=Fv求得上筛框运动过程中功率变化曲线,如图5所示。

图5 上筛框运动过程中功率变化曲线
从图3中可以看出,作用在偏心轴偏心段处的最大载荷Fmax为22 138 N;从图5中可以看出,摇摆筛在正常工作时所需的电动机功率为15 kW。仿真分析所得到的这些结果是对摇摆筛偏心轴进行应力分析的基础和前提。
通过解析法计算偏心轴强度与刚度时,通常将各种载荷简化为如图6(a)所示:将连杆对偏心轴的支反力简化为2个集中力F,由于偏心作用,产生一对大小相等、方向相同的阻力矩M1;轴承座对轴颈的支反力简化为4个竖直向上的力FN;并设电动机主动力矩为M2,胶带轮产生的主动力矩为M3。

图6 偏心轴受力及内力
偏心轴由于F偏心作用而承受的轴承阻力矩M1为
M1|N·m=Fmaxe=277
(1)
式中e为曲柄长度,e=12.5 mm。
电动机对偏心轴施加的主动力矩M2为
(2)
式中:P为胶带轮输入的功率,P=15 kW;n为偏心轴的转速,n=550 r/min。
由力矩平衡可求出摇摆筛在运转过程中胶带轮产生的主动力矩M3为
M3|N·m=2M1-M2=294
(3)
至此,即可画出整个偏心轴的扭矩图和弯矩图,如图6(b)和(d)所示。
由于扭转作用而产生的剪切应力[7]为
(4)
由于弯矩作用而产生的正应力[7]为
(5)
式中:T为扭矩;Wt为圆截面的抗扭界面系数,对于实心轴,Wt=πd3/16,d为实心轴直径;Y为计算点到中性轴距离的绝对值;Iz为横截面对中性轴的惯性矩,对于偏心轴外表面,Iz =πd4/64。
按第四强度理论计算得出偏心轴圆周表面的合应力[8]为
(6)
从图6可以看出,点①—点④为危险点,容易产生疲劳破坏。现对这4点的合应力进行分析,分析结果见表1。
根据表1中的数据,用Excel绘制出偏心轴合应力随轴向尺寸变化的曲线,如图7所示。
表1 危险点应力分析


图7 偏心轴合应力随轴向尺寸变化曲线
从图7中可以看出,偏心轴在承受最大载荷时,出现的最大应力为34.4 MPa,而偏心轴的材料为45号钢,45号钢的屈服强度不小于355 MPa。因此,偏心轴上的最大应力值远小于材料的屈服极限,符合使用要求。
有限元法能够根据偏心轴的实际工作情况来施加约束与载荷,对真实物理系统进行模拟,采用有限元法能够得到更加准确的应力分布云图。将偏心轴的三维模型导入Workbench中,采用自由划分法对偏心轴进行网格划分[9-10],网格划分时全部划分为Solid187,Solid186实体单元,共有15 496个单元和27 384个节点。偏心轴的有限元模型如图8所示。

图8 偏心轴的有限元模型
网格划分后,根据实际情况对偏心轴施加轴承力、转矩和约束,计算得到偏心轴在转动周期内承载最大时的应力分布结果,如图9所示。

图9 偏心轴的应力分布云图
由图9可知,偏心轴上的危险部位出现在中间轴承座支撑处,最大应力值σd为35.099 MPa,与解析法所得结果基本一致。
疲劳是指在某点或某些点承受交变应力, 在足够多的循环作用之后形成裂纹或完全断裂的材料中所发生的局部的、永久结构变化的发展过程[11]。偏心轴在工作时受到交变载荷作用, 不可避免地会发生疲劳破坏,进行疲劳寿命分析可以有效地预防事故的发生。常用的疲劳寿命分析方法有名义应力法、局部应力应变法和裂纹扩展寿命法[12-13]。根据不同的疲劳破坏形式,可以选择不同的疲劳分析方法。本文主要运用局部应力应变法对偏心轴进行疲劳寿命分析。
目前, 局部应力应变法中常见的损伤公式有兰德格拉夫损伤公式、道林损伤公式、史密斯损伤公式。应用较多的是兰德格拉夫损伤公式[14]。
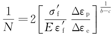
R.W.兰德格拉夫认为:损伤的大小由塑性应变幅Δεp与弹性应变幅Δεe的值来控制[14]。应变循环造成的损伤公式为
(7)
计入平均应力的影响,修正后的损伤公式为
(8)
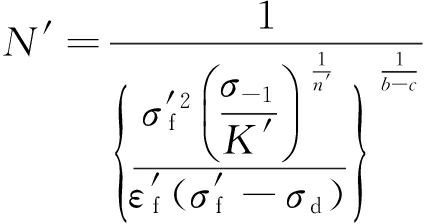
将循环次数N转化为年数N′:

(9)
式中
为疲劳强度系数;
为疲劳延性系数;E为弹性模量;b为疲劳强度指数;c为疲劳延性指数;σm为平均应力;σ-1为许用应力疲劳值;K′为循环强度系数;n′为应变硬化指数。
根据机械设计手册查得[15]45号钢的低周疲劳性能参数如下
许用应力疲劳值σ-1=285.1 MPa。
将最大应力σd=35.099 MPa和各参数值代入式(9)中,经过计算得到N′=0.98 a。
通过对偏心轴进行疲劳寿命分析,得到了偏心轴的疲劳寿命为0.98 a,从而确定了对偏心轴进行检修和更换的时间,能够有效地预防事故的发生。
通过对单边驱动式摇摆筛的偏心轴进行应力分析和疲劳寿命分析,得到了偏心轴危险点的位置和偏心轴的疲劳寿命,不仅可为偏心轴的设计和改进提供可靠依据,而且还能有效地预防事故的发生。
(1) 利用PROE软件对需要生成柔性体的部件进行柔性化处理,然后对摇摆筛进行动力学仿真分析,得到作用在偏心轴上的载荷历程,由于考虑了摇摆筛的运动和变形情况,结果比实际更相符。
(2) 分别运用解析法和有限元法对偏心轴进行应力分析,分析结果表明,中间轴承座支撑处应力集中明显,是偏心轴上的危险部位。
(3) 运用兰德格拉夫损伤公式对偏心轴进行疲劳寿命分析,得到偏心轴的疲劳寿命为0.98 a,通过分析可以有效地预防事故的发生。
参考文献:
[1] 闫俊霞,刘初升,张士民,等.集中驱动式弛张筛筛面动力学分析[J].矿山机械,2011,39(4):95-97.
[2] 刘初升,赵跃民,武继达,等.一种分布驱动式摇摆筛:201410016518.4[P].2016-01-20.
[3] 赵跃民,刘初升,张成勇.煤炭干法筛分理论与设备的进展[J].煤,2008,17(2):15-18.
[4] 董海林.大型集中驱动式弛张筛的筛面动力学特性研究[D].徐州:中国矿业大学,2013.
[5] 李吉伟,陈秀娟,崔继强.基于ADAMS的ZS60600F型冷却输送振动筛动态特性仿真分析[J].铸造技术,2011,32(11):1573-1575.
[6] 吕鲲,袁扬.基于ADAMS的六杆机构运动学及动力学仿真分析[J].河南理工大学学报,2012,31(5):555-560.
[7] 文虎一,侯作富,康福.复摆颚式破碎机偏心轴应力分析与研究[J].机械研究与应用,2016,29(1):98-100.
[8] 刘鸿文.材料力学[M].北京:高等教育出版社,2004.
[9] 姚灵灵,贺乃宝,高倩,等.液压支架前连杆疲劳寿命预测方法[J].工矿自动化,2015,41(10):46-48.
[10] 蔡力钢,马仕明,赵永胜,等.多约束状态下重载机械式主轴有限元建模及模态分析[J].机械工程学报,2012,48(3):165-173.
[11] 赵斌.压缩机曲轴的模态分析和疲劳分析[J].石油化工设备,2008,37(5):39-42.
[12] 徐海龙.发动机曲轴扭转振动及其疲劳分析[D].太原:中北大学,2016.
[13] 姚卫星.结构疲劳寿命分析[M].北京:国防工业出版社,2003.
[14] 汪昌安,赵斌.基于有限元技术的背压活塞的模态分析与疲劳寿命计算[J].科学技术与工程,2009,9(12):3472-3474.
[15] 成大先.机械设计手册[M].6版.北京:化学工业出版社,2016.
Analysis of stress and fatigue of eccentric shaft of unilateral driven swing screen
ZOU Mengqi1,2, LIU Chusheng1,2, WU Jida1,2
(1.School of Mechatronic Engineering, China University of Mining and Technology, Xuzhou 221116, China; 2.Xuyi Mining Equipments and Materials Research and Department Center, China University of Mining and Technology, Xuzhou 221116,China)
Abstract:The three-dimensional structure model of unilateral driven swing screen was established by PROE software, and the load history on the eccentric shaft was obtained by dynamic simulation analysis. The stress distribution curve and stress cloud of the eccentric shaft were analyzed by using analytical method and finite element method. The analysis results show that the dangerous part of the eccentric shaft appears at the support of the intermediate bearing, and the maximum stress is about 35 MPa. The fatigue life (0.98 a) of the eccentric shaft was calculated by using the local stress-strain method, which can effectively prevent accident occurrence. These results provide a reliable basis for design and improvement of eccentric shafts.
Key words:unilateral driven swing screen; eccentric shaft; analytical method; finite element method; stress analysis; fatigue life analysis
文章编号:1671-251X(2017)05-0058-04
DOI:10.13272/j.issn.1671-251x.2017.05.014
收稿日期:2016-11-09;
修回日期:2017-01-24;责任编辑:张强。
基金项目:中国矿业大学盱眙矿山装备与材料研发中心创新基金项目(CXJJ201303)。
作者简介:邹梦麒(1992-),男,河南信阳人,硕士研究生,研究方向为机械动力学,E-mail:1303878357@qq.com。
中图分类号:TD452
文献标志码:A
网络出版:时间:2017-04-25 18:13
网络出版地址:http://kns.cnki.net/kcms/detail/32.1627.TP.20170425.1813.014.html
邹梦麒,刘初升,武继达.单边驱动式摇摆筛偏心轴的应力与疲劳分析[J].工矿自动化,2017,43(5):58-61.