李世光1, 薛寒1, 李珍2, 高正中1, 李莹1
(1.山东科技大学 电气与自动化工程学院, 山东 青岛 266590;2.日照市机电工程学校 机电系, 山东 日照 276800)
摘要:针对用于矿井中有煤尘而无爆炸危险的地方、以油浸式为主的变压器,提出了一种基于优化模糊Petri网的矿用变压器故障诊断模型。根据故障征兆与故障之间的关系,利用模糊产生规则来建立故障诊断模型;利用Elman网络算法的自学习和自适应能力对模型初始参数进行优化处理,使模糊Petri网初始参数值的设置更加合理。Matlab仿真结果表明,优化模型和未优化模型的故障诊断准确率分别为87.88%和75.76%,验证了优化模型的有效性。
关键词:矿用变压器; 油浸式变压器; 故障诊断; 模糊Petri网; Elman网络
目前国内矿井电源变压器主要分为一般型变压器和隔爆型变压器。部分文献对隔爆型变压器进行了故障诊断研究[1],但是鲜有研究矿用一般型变压器故障的文献。文献[2]提出了基于FPN(Fuzzy Petri Nets, 模糊Petri网)的变压器故障诊断方法,但该方法学习能力差,不能调整参数。人工神经网络的问世使变压器故障诊断技术实现了新的突破。文献[3]提出将BP(Back Propagation,反向传播)网络用于FPN模型进行故障诊断,但该方法容易出现局部极小值,造成误差过大。文献[4]提出将RBF(Radial Basis Function,径向基函数)网络算法应用到变压器故障诊断上,该算法可以更快地进行参数训练,但对故障系统的模型表达不够清晰。
本文针对用于矿井中有煤尘而无爆炸危险的地方、以油浸式为主的变压器,提出了一种改进的故障诊断模型,在模糊Petri网中[5],运用Elman网络算法对变压器故障模型初始参数进行优化处理,使模糊Petri网参数设置更加准确[6-7]。仿真分析结果验证了该方法的有效性。
定义1 模糊Petri网是一个十元组[8-9] :FPN={P,T,C,I,O,M,S,W,f,β} 。其中P={P1,P2,…,Pm}(m≥0),P是所有库所的有限集合;T={t1,t2,…,tn}(n>0),T为所有变迁ti(i=1,2,…,n)的有限集合,在基于Elman优化的模糊Petri网诊断模型(Elman Fuzzy Petri Nets, EFPN)中,变迁节点ti和输出库所对应;C代表命题的集合,C= {C1 ,C2,…,Cm},且|P|=|C|,P ∩ T ∩ D= Ф;I与O分别为输入函数、输出函数,表示变迁ti到库所P的映射;M:P→[0,1],为任一库所到其托肯值M(pi)的映射; S:T→[0,1],表示变迁到阈值λi的映射,S(ti)=λi;W是连接权值的集合,反映变迁点燃对输入库所P的支撑度,W={W1,W2,…,Wm};f:T→[0,1],为一个映射,给变迁ti赋予规则的一个置信度f(ti)=μi;β:P→C,表示库所P和命题的映射关系。
2.1 模糊产生式规则
在EFPN中,故障征兆与故障的关系不是单纯的0和1关系,而是介于0与1之间的一种模糊关系。为了更准确地对系统故障作出诊断,选用模糊产生式规则表达知识。模糊产生式规则一般可表示为前提条件-规则结论(置信度),就是IF-THEN(CF)这种形式[10]。以变迁ti的输入库所为规则的前提条件,用输出库所来表示规则的结论。推算过程用ti的点燃表示。
定义2 如果在模糊产生式规则中的前提条件或结论部分有“and”、“or”,称此规则为合成式规则。本文的单层单指向网络的规则类型为IF dl and d2 and … and dn THEN d(CF=μi),d为结果命题,如图1所示 。
2.2 模糊推理算法
定义3 ∀ti∈T,若∀Pi∈I(ti),z=

图1 合成式模糊规则Petri网
其中z为变迁触发函数,ωij为库所Pi与变迁ti之间的权值,则称变迁ti是使能的、可点燃的;反之则不能点燃[11]。输出库所的标注值满足以下关系:

(1)
由定义3得连续函数:
(2)
式中y(x)为S型函数。
利用式(2)就可依次点燃每个变迁。
3.1 故障诊断模型
依据变压器油中产生的主要气体CH4,C2H4,C2H6,C2H2,CO,CO2与总烃(C)来进行矿用变压器的内部故障诊断,其中C作为一个整体进行衡量[12-13]。以这些特征气体(P1-P6)作为输入库所(故障征兆),变压器的5种故障(P7-P11)作为输出库所。根据故障征兆与故障之间的关系,利用模糊产生规则来建立EFPN故障诊断模型,如图2所示。依靠该模型可诊断出变压器的故障类型。

图2 矿用变压器故障诊断模型
3.2 模糊产生式规则建模
规则1:IF C稍高and CH4稍高and C2H4低and CO2低THEN油和纸一般过热(CF=0.7)。
规则2:IF C很高and H2很高and C2H2不高and CO高and CO2高THEN 油和纸严重过热(CF=0.7)。
规则3:IF C不高and H2较高and C2H2稍高 THEN 油中火花放电(CF=0.7)。
规则4:IF C高and H2高and C2H4稍高and CO2 较高and C2H2高THEN 油和纸电弧放电(CF=0.7)。
规则5:IF C不高and H2较高and CH4稍高THEN 油中局部放电(CF=0.7)。
3.3 参数初值的选取
参照专家的相关经验,现设置其阈值λ1—λ5均为0.5,可信度μ1—μ5均为0.8。各个弧上权值的初始值设定:W11 =0.3,W12=0.5,W15=0.2,W23 =0.15,W24=0.25,W25=0.15,W26=0.45,W33 =0.35,W36 =0.65,W42 =0.3,W43 =0.1,W45 =0.05,W46=0.55,W51 =0.4,W53 =0.6。
模糊产生式规则中的Wij、λi等参数大多是通过各种经验获取的,往往不够精确,这就常常会致使诊断无法达到令人满意的效果。所以本文运用Elman网络算法所具有的自学习和自适应能力,对参数进行优化处理[14]。把Elman网络算法应用于FPN中,在初始参数的基础上,利用Elman结构内部反馈网络,对每个节点依次进行参数调整,就可用所需的精度来逼近函数,从而获得比较理想的结果。
Elman网络结构可用式(3)表示[15]:

(3)
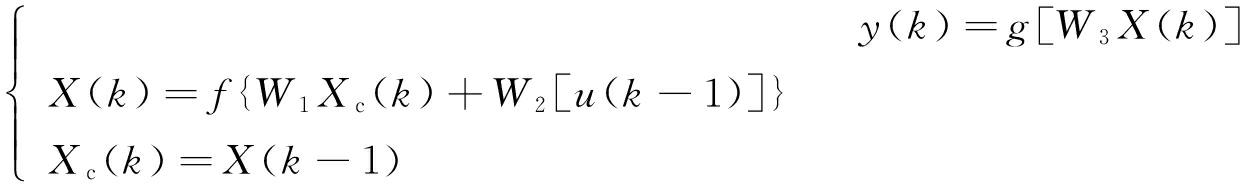
式中:W1为状态层到中间层的连接权值; W2为输入层到中间层的权值;W3为中间层到输出层的权值;u为网络输入;X,Xc分别为隐含层与状态层输出;y为网络输出;f(·)为S型激活函数;g(·)为输出神经元的传递函数。
Elman网络参数的调整优化与BP算法原理相同,其学习指标函数为
(4)
式中
为目标输出向量。
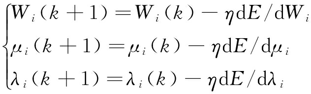
在EFPN模型的参数调整中,设置的初始参数值代表输入,故障诊断的结果表示输出,要进行调整的参数是各个连接权值(W)和阈值(λ)。根据式(5)-式(6)求取一阶梯度:
(5)

(6)
求得一阶梯度后,通过式(7)对参数Wij,λi进行优化处理。学习率η不宜设置过大,也不能过小,经过凑试得知η取0.05比较合适。

(7)
EFPN模型学习和训练的步骤如下:
(1) 选好需要训练的样本,确定参数的初值。
(2) 对于选取的学习训练样本集,通过式(2)计算实际输出托肯值。
(3) 计算误差代价函数X,若X<£,则结束学习,£为误差允许值;否则,继续下一步。
(4) 运用Elman算法调整模型中的参数。
(5) 返回第(2)步,直到误差满足设定的要求。
用Matlab软件进行仿真分析,利用Elman算法优化FPN模型参数,选取109组矿用变压器历史故障数据作为训练样本集,66组作为测试样本。对FPN故障诊断模型中的参数进行优化。设定误差允许值£=0.001,训练误差曲线如图3所示。

图3 训练误差曲线
从图3可得,经过308次训练,误差值第1次达到允许值要求。经过调整后的阈值λ1—λ5为0.462 0,0.485 0,0.364 3,0.501 0,0.474 4。优化后的权值见表1。
表1 EFPN调整后的权值

分别用FPN模型参数初始值与Elman优化后的参数,对66组测试样本进行故障检验,其中EFPN模型诊断正确的有58组,准确率为58/66 =87.88%;FPN模型诊断正确的有50组,准确率为50/66 =75.76%。仿真结果表明,Elman优化值的诊断结果错误率更低。因测试样本数据过多,表2给出了部分测试样本诊断结果,#表示诊断错误。
运用Elman网络算法对模糊Petri网参数进行优化处理,使EFPN诊断模型有自适应与学习能力。通过仿真对比可知,与FPN模型相比,EFPN诊断模型进一步提高了诊断的正确率。不过EFPN诊断模型收敛不够快,经过308次训练才收敛,而FPN无需额外的训练时间。这是EFPN模型需改进的地方。
表2 测试样本诊断结果(部分)

参考文献:
[1] 温敏敏,宋建成,宋渊,等.矿用隔爆型干式变压器故障预警系统设计[J].煤炭科学技术,2014,42(5):72-76.
[2] 李江林,史志鸿,赵成功,等.一种基于FPN的变电站故障推理机制[J].电力系统保护与控制,2012,40(17):13-18.
[3] 鲍培明.基于BP网络的模糊Petri网的学习能力[J].计算机学报,2004,27(5):695-702.
[4] 杨志超,张成龙,吴奕,等.基于粗糙集和RBF神经网络的变压器故障诊断方法研究[J].电测与仪表,2014,51(21):34-39.
[5] 赵成功.基于气体增长速率和Petri网的变压器内部故障状态推理[J].电力系统保护与控制,2013,41(9):121-124.
[6] 陈金强.基于RIMER专家系统和DGA的变压器故障诊断[J].高压电器,2013,49(11):76-81.
[7] 张珂斐,郭江,聂德鑫,等.基于化学反应优化神经网络与融合DGA算法的油浸式变压器模型研究[J].高电压技术,2016,42(4):1275-1281.
[8] 高正中,龚群英,赵丽娜,等.基于模糊Petri网和状态监测的井下水泵故障诊断[J].工矿自动化,2016,42(5):28-31.
[9] 戴晨曦,刘志刚,胡轲珽,等.基于模型与模糊Petri网融合的高铁牵引变压器故障诊断[J].电力系统保护与控制,2016,44(11):26-32.
[10] 王建元,纪延超.模糊Petri网络知识表示方法及其在变压器故障诊断中的应用[J].中国电机工程学报,2003,23(1):122-126.
[11] 公茂法,张言攀,柳岩妮,等.基于BP网络算法优化模糊Petri网的电力变压器故障诊断[J].电力系统保护与控制,2015,43(3):113-117.
[12] 陈伟根,刘冰洁,周恒逸,等.变压器油中溶解气体光声光谱检测的温度特性[J].电工技术学报,2010,25(11):15-20.
[13] 魏云冰,王东晖,韩立峰,等.一种基于MIA的油浸式变压器放电性故障定位新方法[J].电力系统保护与控制,2015,43(21):41-47.
[14] 李天云,程思勇,童建东,等.基于Elman神经网络的油浸式电力变压器故障诊断[J].中国电力,2006,39(11):55-57.
[15] 刘景艳,李玉东,郭顺京.基于Elman神经网络的齿轮箱故障诊断[J].工矿自动化,2016,42(8):47-51.
Fault diagnosis of mine-used transformer based on optimized fuzzy Petri net
LI Shiguang1, XUE Han1, LI Zhen2, GAO Zhengzhong1, LI Ying1
(1.College of Electrical Engineering and Automation, Shandong University of Science and Technology, Qingdao 266590, China; 2.Electromechanical Department, Rizhao Electrical and Mechanical Engineering School, Rizhao 276800, China)
Abstract:For oil-immer transformer used in places with coal dust and no explosion hazard,an improved fault diagnosis model of mine-used transformer based on fuzzy Petri net was proposed. Fuzzy generation rule was used to establish fault diagnosis model according to relationship between fault symptom and the fault. Self-learning and adaptive ability of Elman network algorithm are used to optimize initial parameters of the model, and the settings of initial parameters of the fuzzy Petri net are more reasonable. Matlab simulation results show that fault diagnosis accuracy of the optimized model and unoptimized model is 87.88% and 75.76% respectively, which verifies effectiveness of the optimized model.
Key words:mine-used transformer; oil-immer transformer; fault diagnosis; fuzzy Petri net; Elman network
文章编号:1671-251X(2017)05-0054-04
DOI:10.13272/j.issn.1671-251x.2017.05.013
收稿日期:2016-12-29;
修回日期:2017-03-24;责任编辑:胡娴。
基金项目:中国博士后科学基金资助项目(2015T80729);青岛市博士后研究人员应用研究项目(2015190)。
作者简介:李世光(1962-),男,山东青岛人,高级工程师,研究方向为电力系统及其自动化、控制理论与控制工程、检测技术与自动化装置,E-mail:lsgskd@163.com。通信作者:薛寒(1993-),男,山东青岛人,硕士研究生,研究方向为电气工程,E-mail:1075291566@qq.com。
中图分类号:TD611
文献标志码:A
网络出版:时间:2017-04-25 18:09
网络出版地址:http://kns.cnki.net/kcms/detail/32.1627.TP.20170425.1809.013.html
李世光,薛寒,李珍,等.基于优化模糊Petri网的矿用变压器故障诊断[J].工矿自动化,2017,43(5):54-57.