实验研究
伍云霞, 申少飞
(中国矿业大学(北京) 机电与信息工程学院, 北京 100083)
摘要:提出了一种基于距离度量学习的煤岩识别方法。该方法首先从煤岩图像训练集中提取煤岩图像特征;然后学习到特定的距离度量,使得煤样本特征间、岩石样本特征间距离变小,煤样本特征与岩石样本特征间距离变大,以提高分类识别效果;最后采用分类器进行煤岩识别。实验结果表明,对于煤岩样本图像的LBP特征、HOG特征、GLCM特征,与基于欧式距离、LDA、ITML的煤岩识别方法相比,该方法具有更高的煤岩识别率。
关键词:煤岩识别; 分类识别; 煤岩特征提取; 距离度量学习
目前煤岩自动识别技术主要有基于物理探测技术的煤岩识别方法[1]和基于计算机视觉的煤岩识别方法两大类。基于物理探测技术的煤岩识别方法复杂、可靠性差,在实际应用中难以推广。基于计算机视觉的煤岩识别方法具有处理直观、可靠性高、通用性强、易于实施等特点,文献[2-6]均采用煤岩图像进行煤岩分类识别研究。
近年来,随着计算机视觉方法的发展,基于距离度量学习[7-12]的研究越来越多,并且取得了良好的分类识别效果。尤其是在人脸识别领域,受图像中人物年龄、表情、姿势,光照,拍摄角度、时间等复杂因素的影响,传统人脸识别算法的识别准确率较低,因此研究者尝试通过机器学习方法进行人脸识别,其中一个解决方法即距离度量学习,有效提高了分类器的识别率。在计算机视觉中的煤岩识别领域,煤岩图像拍摄环境的复杂性、光照、拍摄角度等都对煤岩图像识别产生巨大影响,本文参考基于距离度量学习的人脸识别方法,提出了基于距离度量学习的煤岩识别方法,其原理如图1所示。该方法通过煤岩图像训练集提取已知类别的煤岩图像特征集,学习到一个合适的、鲁棒性强的距离度量,使同类特征间距离变小、异类特征间距离变大,用分类器进行煤岩分类,得到更好的分类识别效果。

图1 基于距离度量学习的煤岩识别方法原理
1.1 方法基本思想
基于距离度量学习的煤岩识别方法基本思想如图2所示,圆圈和三角形分别代表煤和岩石样本特征。在原来的煤岩特征空间中,由于光照、角度、煤岩质地等问题,煤和岩石样本特征非常接近,同类样本特征之间的分布也比较松散,如图2(a)所示。从分类角度考虑,煤岩样本很容易错分。为了解决该问题,基于距离度量学习的煤岩识别方法学习到一个关于煤岩特征的距离度量,相当于将煤岩特征向量转换到一个新的特征空间,使得同类特征之间的距离变小、异类特征之间的距离变大,即煤样本特征之间、岩石样本特征之间变得紧密,煤样本特征与岩石样本特征之间变得越来越远,如图2(b)所示。这样有利于提高分类识别效果。

图2 基于距离度量学习的煤岩识别方法基本思想
1.2 方法理论模型
设任意2个样本特征的列向量分别为a,b,则2个样本的欧式距离度量公式为
(1)
本文在欧式距离度量公式基础上,提出以下距离度量函数:
(2)
式中A为距离度量矩阵,其为s×s对称正定矩阵,s为样本特征向量的维数。
A可由非零矩阵w表示为A=wwT,w∈Rs×l,1≤l≤s,则式(2)可表示为
(3)
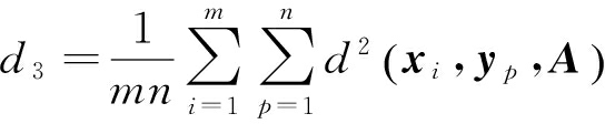
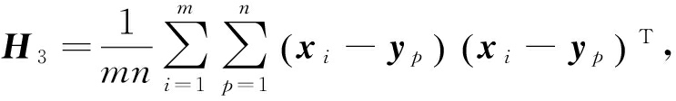
设煤岩图像训练集中,m幅煤样本图像的特征集为
幅岩石样本图像的特征集为
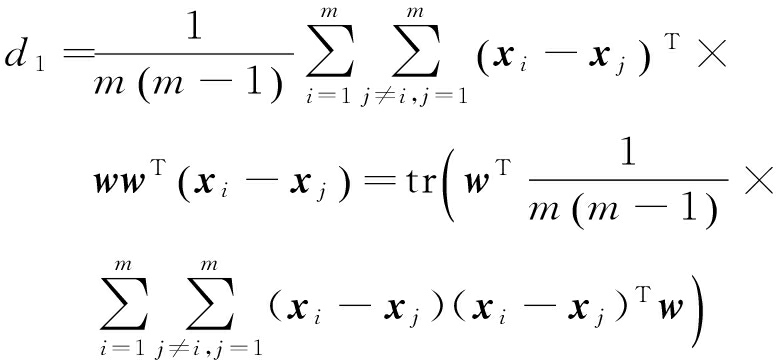
分别为煤样本和岩石样本的s维特征列向量。所有煤样本特征中两两之间距离度量平方的均值为
(4)
所有岩石样本特征中两两之间距离度量平方的均值为
(5)
所有样本特征中煤样本特征与岩石样本特征两两之间距离度量平方的均值为
(6)
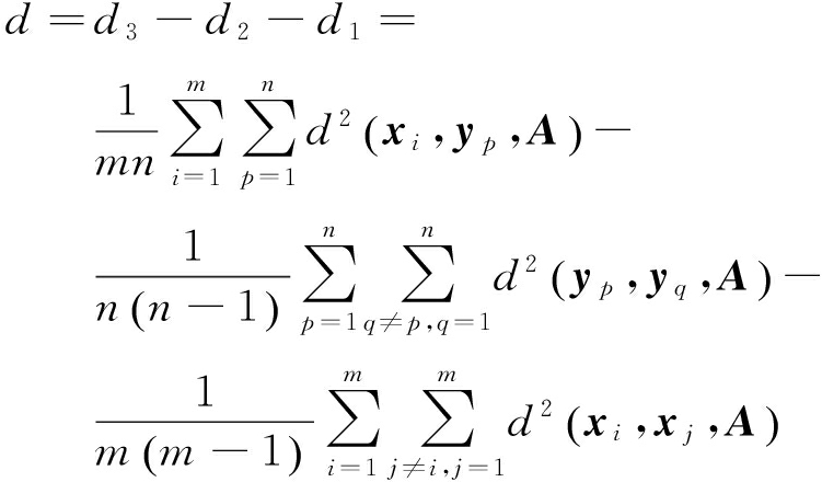
距离度量函数应使煤样本特征之间、岩石样本特征之间的距离越来越小,煤样本特征与岩石样本特征之间的距离越来越大,即使函数d=d3-d2-d1取得最大值。

(7)
结合式(3),式(4)可写为

(8)
式中tr()表示求矩阵的迹,即求矩阵对角线元素的和。
令
则式(8)可简化为![]()
同理,令![]()
则式(5)可简化为
令
则式(6)可简化为![]()
由此可得

(9)
在初始限制条件wTw=I(I为单位矩阵)下求解函数d的极大值问题可转换为求矩阵H=H3-H2-H1的特征向量w和特征值β 的问题。
(10)
将wTw=I代入式(10),可得
Hw=β w
(11)
求解式(10)可得矩阵H所有的特征值和特征向量。将特征值按从大到小的顺序排列,选取前l个特征值β1,β2,…,βl及其对应的l个特征向量w1,w2,…,wl,可得到s×l矩阵
以及距离度量矩阵A=w*w*T。
用式(2)度量待识别样本特征与已知样本特征的距离,利用KNN(K-Nearest Neighbor,K最近邻)分类器进行分类,距离最近的K个样本特征中大多数样本所属的类别即为该待识别样本的类别。
采用在不同光照、角度下拍摄的煤岩样本图像各120幅进行实验,部分样本图像如图3所示。样本图像为64×64 GIF格式。随机抽取煤岩样本图像各60幅作为训练集,其余图像作为测试集。煤岩识别过程如下。
(1) 提取不同的纹理特征。采用基本局部二值模式(Local Binary Pattern, LBP)[13]算子、方向梯度直方图(Histogram of Oriented Gradient, HOG)[14]、灰度共生矩阵(Gray Level Co-occurrence Matrix, GLCM)[15]3种特征提取方法提取煤岩样本图像的纹理特征。
基本LBP算子特征提取。基本LBP算子定义:在3×3的窗口内,以窗口中心像素灰度值为阈值,将相邻8个像素的灰度值与其进行比较,若某像素的灰度值大于阈值,则将该像素位置标记为1,否则为0。这样3×3邻域内的8个像素经比较可产生8位二进制数(通常转换为十进制数,即LBP码,共256种),进而得到该窗口中心像素的LBP值,并用该值反映该区域的纹理信息。采用LBP模式的统计直方图来表达图像信息,即可提取到256维的LBP特征向量。


(a) 煤样本图像


(b) 岩石样本图像
图3 部分煤岩样本图像
HOG特征提取。每一张煤岩样本图像像素大小为64×64,每个细胞块的大小为8×8,每个特征块含有4×4个细胞块,2个相邻特征块的重叠率为0.5,那么该图像含有49个特征块。每个细胞块有9个梯度方向,因此每个细胞块可以得到9维的HOG特征向量,每个特征块可以得到36维的HOG特征向量,该图像可以得到1 764维的HOG特征向量。
GLCM特征提取。图像的灰度级数为256,对图像进行直方图均衡化,均衡化后图像的灰度级数压缩为16。提取图像的GLCM,该矩阵的生成步长为1,生成方向为0°。将GLCM的能量、熵、相比度、逆差矩作为4维纹理特征。
(2) 利用不同的纹理特征,求取其对应的距离度量矩阵。
(3) 对于一幅待识别的煤岩样本图像,用步骤(1)中的方法提取其各个不同视点下的纹理特征向量,根据式(2)度量其与训练集中每一幅图像的距离。利用KNN分类器对待测样本进行分类。
3.1 l对煤岩识别率的影响
由于矩阵w*由矩阵H的l个特征向量组成,选取的l不同,则矩阵w*不同,得到的距离度量矩阵A也不同,可见l变化会对煤岩分类的识别率产生影响。对于不同的纹理特征,煤岩识别率随l变化的规律也不相同,如图4所示。若采用LBP特征,l<65时,随着l增大,煤岩识别率逐渐增大;l=65时,煤岩识别率达到最大值85%;之后随着l增大,煤岩识别率稳定在85%左右。若采用HOG特征,l<5时,随着l增大,煤岩识别率逐渐增大;l=5时,煤岩识别率达到最大值84.16%;l>5时,煤岩识别率逐渐减小至60%左右,之后趋于平稳。若采用GLCM特征,随着l增大,煤岩识别率逐渐增大,l=3时,煤岩识别率达到最大值95%。
3.2 ROC曲线
ROC(Receiver Operating Characteristic,受试者工作特征)曲线是一种经典的评价分类器性能的曲线,曲线下面积越大,表示分类器性能越好。采用不同特征时,KNN分类器的ROC曲线如图5所示。其中敏感性(真阳性率)为分类器能够正确识别的煤样本占所有煤样本的比例,1-特异性(假阳性率)为分类器错认为煤的岩石样本占所有岩石样本的比例。可看出基于距离度量学习的KNN分类器性能明显优于基于欧式距离的KNN分类器。

图4 l对煤岩识别率的影响

(a) 基于LBP特征

(b) 基于HOG特征

(c) 基于GLCM特征
图5 采用不同特征时KNN分类器的ROC曲线
3.3 煤岩识别率
采用传统的欧式距离,基于监督量学习的距离度量方法——LDA[10]、ITML[11],以及本文提出的距离度量学习方法对基于LBP特征、HOG特征和GLCM特征的煤岩特征集进行距离度量,并采用KNN分类器进行分类识别,所得煤岩识别率见表1。可看出采用距离度量学习方法时煤岩识别率较其他3种方法高。
表1 采用不同距离度量方法时的煤岩识别率 %

(1) 由ROC曲线可知,基于距离度量学习的KNN分类器与基于传统欧式距离的KNN分类器相比,具有更好的分类性能。
(2) 针对煤岩图像的LBP特征、HOG特征、GLCM特征,基于距离度量学习的煤岩识别方法与传统的基于欧式距离、LDA、ITML的煤岩识别方法相比,煤岩识别率更高。
参考文献:
[1] 刘俊利,赵豪杰,李长有.基于采煤机滚筒截割振动特性的煤岩识别方法[J].煤炭科学技术,2013,41(10):93-95.
[2] 孙继平,陈浜.基于小波域非对称广义高斯模型的煤岩识别算法[J].煤炭学报,2015,40(增刊2):568-575.
[3] 孙继平,佘杰.基于小波的煤岩图像特征抽取与识别[J].煤炭学报,2013,38(10):1900-1904.
[4] 张宁,任茂文,刘萍.基于主成分分析和BP神经网络的煤岩界面识别[J].工矿自动化,2013,39(4):55-58.
[5] 孙继平.基于图像识别的煤岩界面识别方法研究[J].煤炭科学技术,2011,39(2):77-79.
[6] 孙继平,佘杰.基于支持向量机的煤岩图像特征抽取与分类识别[J].煤炭学报,2013,38(增刊2):508-512.
[7] TURK M,PENTLAND A.Eigenfaces for recognition[J].Journal of Cognitive Neuroscience,1991,3(1):71-86.
[8] SCHIFFMAN S S,YOUNG F W,REYNOLDS M L.Introduction to multidimensional scaling:theory,methods,and applications[M].New York:Academic Press,1981.
[9] LU J,PLATANIOTIS K N,VENETSANOPOULOS A N.Face recognition using LDA-based algorithms.[J].IEEE Transactions on Neural Networks,2003,14(1):195-200.
[10] DAVIS J V,KULIS B,JAIN P,et al.Information-theoretic metric learning[C]∥Proceedings of the 24th International Conference on Machine Learning,Corvalis,2007:209-216.
[11] LIU C S,LI X BI,YANG Y P.Text classification algorithm based on neighborhood component analysis[J].Computer Engineering,2012,38(15):139-141.
[12] LU J,ZHOU X,TAN Y P,et al.Neighborhood repulsed metric learning for kinship verification[J].IEEE Transactions on Pattern Analysis & Machine Intelligence,2012,36(2):331-345.
[13] 宋克臣,颜云辉,陈文辉,等.局部二值模式方法研究与展望[J].自动化学报,2013,39(6):730-744.
[14] DALAL N,TTIGGS B.Histograms of oriented gradients for human detection[C]∥IEEE Computer Society Conference on Computer Vision and Pattern Recognition,Beijing,2005:886-893.
[15] 郭德军,宋蛰存.基于灰度共生矩阵的纹理图像分类研究[J].林业机械与木工设备,2005,33(7):21-23.
Coal-rock recognition method based on distance metric learning
WU Yunxia, SHEN Shaofei
(School of Mechanical Electronic and Information Engineering, China University of
Mining and Technology(Beijing), Beijing 100083, China)
Abstract:A coal-rock recognition method based on distance metric learning was proposed. In the method, features of coal-rock images are extracted firstly from training sets of coal-rock images. Then a fit distance metric is gotten, which can make distance between any two features of coal samples or the ones of rock samples smaller and distance between features of coal samples and rock samples bigger, so as to improve classification and recognition effect. Finally, classifier is used to recognize coal-rock. The experimental results show when extracted coal-rock features are LBP, HOG or GLCM features, the method has higher coal-rock recognition rate than coal-rock recognition methods based on Euclidean distance, LDA or ITML.
Key words:coal-rock recognition; classification and recognition; coal-rock feature extraction; distance metric learning
文章编号:1671-251X(2017)05-0022-05
DOI:10.13272/j.issn.1671-251x.2017.05.006
收稿日期:2016-10-01;
修回日期:2017-03-31;责任编辑:李明。
基金项目:国家重点研发计划资助项目(2016YFC0801800);国家自然科学基金重点资助项目(51134024)。
作者简介:伍云霞(1969-),女,湖北天门人,副教授,博士,主要从事煤岩识别方面的研究工作,E-mail:angil.wu@163.com。
中图分类号:TD67
文献标志码:A
网络出版:时间:2017-04-25 17:46
网络出版地址:http://kns.cnki.net/kcms/detail/32.1627.TP.20170425.1746.006.html
伍云霞,申少飞.基于距离度量学习的煤岩识别方法[J].工矿自动化,2017,43(5):22-26.