分析研究
冯立杰1, 百文晓1, 翟雪琪1, 王金凤1,2
(1.郑州大学 管理工程学院, 河南 郑州 450001; 2.上海海事大学 经济管理学院, 上海 201306)
摘要:针对煤矿生产物流系统安全资源配置问题,在构建基于安全风险及安全成本的安全资源指标体系基础上,运用回归分析法拟合了安全风险与安全成本目标函数,并构建了煤矿生产物流系统安全资源配置多目标优化模型,采用自适应进化粒子群算法对该模型进行优化求解。实例结果表明,采用自适应进化粒子群算法能够得出满足煤矿生产物流系统安全资源配置多目标优化要求的不同可行解。
关键词:煤矿生产物流系统; 安全资源配置; 多目标优化; 自适应进化粒子群算法
煤矿生产物流系统安全资源配置在资源配置中占比最高,影响着煤矿生产的稳定性与安全性[1]。目前,国内外学者的相关研究大多集中于风险评估、效率优化等方面。WANG Q等[2]确定了风险因素的优先级,并运用非线性模糊层次分析法构建模型,对煤矿开采风险因素进行评估;YANG L等[3]构建了基于BP神经网络的煤矿安全评价体系,运用交叉验证技术提高了安全风险评估的精度;LEI T等[4]建立了煤矿安全动态投入-产出模型,并采用逆递推法求解,以优化煤矿安全投入结构;FENG Y C[5]构建了基于管理熵的煤矿生产物流内部控制评价模型,以实现煤矿生产物流效率的优化;王金凤等[6]构建了以安全水平为硬约束、效率最大化为目标函数的煤矿生产物流效率优化模型,对煤矿生产物流系统安全资源进行了优化配置;FENG C等[7]通过构建利润最大化模型,探讨了降低煤矿安全成本、优化安全投入结构问题。上述研究多为单一评价煤矿安全风险或单纯优化安全资源配置,关于如何协调二者之间关系的成果并不多见。
在现有相关问题研究方法中,多目标优化理论能够协调多个相互冲突目标间的作用机理,实现多个目标优化。但多目标优化模型中函数形式较复杂,普通线性规划方法难以求得理想解,因此许多学者将多目标优化与粒子群算法(Particle Swarm Optimization,PSO)结合,应用于各领域的优化问题。K. Sethanan等[8]提出了变异的多目标PSO算法,用以解决甘蔗收割机的路径规划问题;N. Delgarm等[9]提出了单粒子多目标PSO算法,并将其应用于伊朗不同气候区建筑节能性能的优化;邱玉琢等[10]构建了面向运输网络优化的多目标模型,并提出采用改进的多目标PSO算法进行求解,以实现运输强度和单位运量能源消耗同时最小化,较好地达到了2个相互制约的目标间协调双赢。
本文在构建煤矿生产物流系统的安全资源指标体系基础上,采用多目标优化理论,建立了考虑安全成本和安全风险的系统安全资源配置模型,并采用自适应进化粒子群(Adaptive Evolutionary Particle Swarm Optimization,AEPSO)算法进行求解,以期为煤矿生产物流系统的安全资源配置提供科学的决策依据。
1.1 煤矿生产物流系统安全风险指标
煤矿生产过程本质上是一种特殊的物流过程。煤矿生产物流系统内部同时存在3种相互影响的物流形态,其中风流、电流、水流为流程型过程,材料流、设备流为离散型过程,煤炭流为批量型过程[11]。影响煤矿生产物流系统安全状态的因素众多,且各因素与安全状态之间的作用机理具有动态时变、强非线性等复杂特征。
在衡量煤矿生产物流系统安全状态时,采用百万吨死亡率等定量指标过于注重结果而忽视过程,从人-机-环-管等方面构建指标体系则不能充分体现煤矿生产物流系统的运行特点[12]。本文基于煤矿生产全过程中已发现的及潜在的风险类型和程度,以安全风险水平来综合反映煤矿生产物流系统的安全状态,依据科学性、系统性、可行性等原则,将安全风险指标细分为人员因素X1、作业因素X2、机电因素X3、运输因素X4、通风因素X5、排水因素X6、瓦斯因素X7。
1.2 煤矿企业安全成本指标
安全成本是衡量安全活动经济消耗的主要尺度。煤矿企业的安全成本产生于整个生产经营过程,包含生产及管理的所有方面,是煤矿产品生产的一种附加性成本[13]。参照国际劳工组织的安全标准及国内研究成果,可将煤矿安全成本定义为在基础性安全标准下,为实现煤矿生产安全支付的保证性费用及因安全问题产生的损失性费用的总和。
安全成本C可以分为保证性安全成本C1和损失性安全成本C2两大类。保证性安全成本C1包含为达到一定程度安全生产水平而提供基础条件的安全工程费用C11及安全预防费用C12;损失性安全成本C2主要包括企业内部损失C21和外部损失C22。
2.1 模型假设
鉴于煤矿生产物流系统行业特色,为保证多目标优化模型构建合理且后期处理可行,提出以下假设。
假设1:在生产初期,加大安全资源投入可快速降低安全风险,但当安全风险降低到一定程度时,盲目增加安全资源投入反而会造成资源冗余及资源配置效率低下。因此,假设一段时期内煤矿生产物流系统安全资源各要素的总投入一定。
假设2:煤矿企业经济性优劣由单位安全成本表示,煤炭产量采用柯布-道格拉斯生产函数计算。
2.2 模型构建
2.2.1 目标函数建立
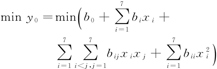
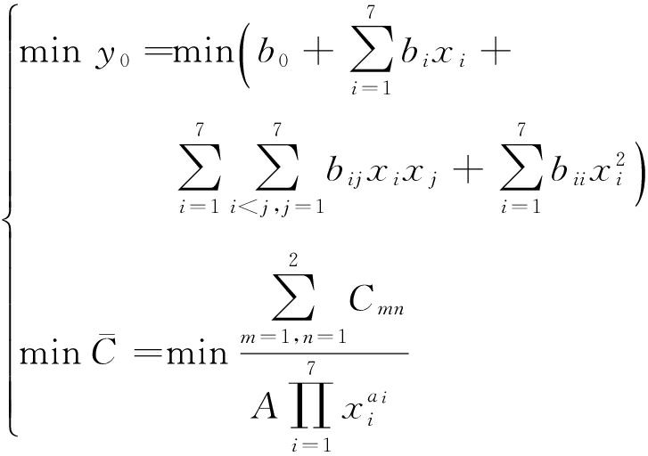
(1) 安全风险分析。采用多元回归分析法拟合安全风险与指标间的作用关系。将煤矿生产物流系统安全风险指标X1—X7的投入x1—x7设为决策变量,将安全风险状态设为y0,由此建立安全风险状态的目标函数:

(1)
式中:b0为常数;bi为决策变量xi对安全状态的线性影响系数;bij为决策变量xi和决策变量xj的交互作用对安全状态的影响系数;bii为决策变量xi对安全状态的平方影响系数。
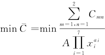
(2) 安全成本分析。将煤矿生产物流系统的最低单位安全成本作为目标函数。由柯布-道格拉斯生产函数设定投入-产出关系,即煤炭总产量F可用资源投入表示为
(2)
式中:A为技术进步水平常数;ai为煤矿生产物流系统各决策变量的相对重要程度,a1+a2+…+a7=1。
将煤矿生产物流系统的单位安全成本定义为安全总成本与煤炭总产量之比,则单位安全成本目标函数为

(3)
式中
为单位安全成本。
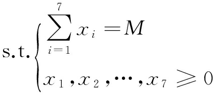
2.2.2 约束条件分析
(1) 资源变量投入约束。影响煤矿生产物流系统安全风险的各决策变量总资金投入M一定,设![]()
(2) 非负性约束。各决策变量的投入均为非负值,即x1,x2,…,x7≥0。
2.2.3 模型建立
综合考虑安全成本和安全风险,构建煤矿生产物流系统安全资源配置多目标优化模型:

(4)

(5)
2.3 模型求解
采用AEPSO算法求解煤矿生产物流系统安全资源配置多目标优化问题,将非支配排序策略、自适应惯性加权和特殊的变异操作引入PSO[14],以提高PSO算法的开拓能力和粒子的多样性,其有效性已通过4种具有代表性的多目标优化标准测试函数验证[15-17]。AEPSO算法基本流程如图1所示,其中N为迭代总次数,t为目前迭代数。

图1 AEPSO算法基本流程
AEPSO算法对PSO算法中粒子速度和位置更新公式(式(6)、式(7))进行改进,如式(8)所示。
vk(t)=ωvk(t-1)+c1r1(eh-pk(t-1))+ c2r2(eg-pk(t-1))
(6)
pk(t)=vk(t)+pk(t-1)
(7)
vk(t+1)=ωvk(t)+α[r1(eh-pk(t))+ r2(eg-pk(t))]+vm(t)
(8)
式中:vk(t)为粒子k在第t次迭代时的飞行速度;ω为惯性权重;c1,c2为加速度常数;r1,r2为[0,1]内的随机数;eh为粒子的个体极值;eg为粒子的全局极值;pk(t)为粒子k在第t次迭代时的位置;α为加速因子;vm(t)为变异项。
惯性权重ω由ω=ω0+r(ω1-ω0)进行调整,其中ω0,ω1均为常数,ω0∈[0,1],ω1>ω0,r为[0,1]内的随机数。ω0建议范围为[0,0.5],从而使ω在[ω0,ω1]间随机变化,即采用动态变化惯性权重代替线性下降权重。式(8)等号右边第二项为加速项,加速因子α=α0+t/N,t=1,2,…,N,其中α0∈[0,1]。加速因子随迭代次数增加而增大,可在后期增强全局搜索能力。式(8)中变异项vm(t)=sign(2r′-1)×βVmax,其中r′为[0,1]内的随机数,sign()操作用于确定粒子的飞行方向,2r′-1≥0时,sign(2r′-1)=1,2r′-1<0时,sign(2r′-1)=-1;β为常数,β∈[0,1];Vmax为最大允许速度。
AEPSO算法采用特殊变异操作,使后期变异运行得到增强,有助于克服早熟收敛,保持粒子群的多样性。本文采用Matlab对模型进行编程并求解,最终可得到一个Pareto解集,为优化问题提供满足不同需要的多组可行解。
3.1 数据收集及处理
选取某省20家煤矿2014—2015年的安全状态作为研究对象。依据煤矿安全资金专项投入表,可统计出其人员、机电、瓦斯等安全风险指标的资源投入数据;根据煤矿生产安全成本表,可获得安全成本指标数据;安全风险水平等定性指标可通过煤矿专业人员对安全风险状况划分等级并打分来获得,分为安全风险很低(0~10分)、安全风险较低(10~20分)、安全风险较高(20~30分)、安全风险很高(30~40分)。为消除数据量纲影响,采用均值化变换方法对收集的数据进行标准化处理。
3.2 模型构建及求解
选取某煤矿作为优化对象,其安全风险较高,亟待改善,且经营困难的情况颇具代表性。收集该煤矿2015年各项安全风险指标投入及各类安全成本数据,拟合关系式,进而构建该煤矿生产物流系统安全资源配置模型,并对其进行优化求解。
3.2.1 煤矿生产物流系统安全风险分析
依据该煤矿资源投入及专家打分数据,采用Minitab拟合多元回归二次模型。剔除Minitab拟合结果中假设检验结果判定概率大于0.05的不显著项,可得回归方程:
y0=429.6+20.61x1-153.6x2+170.5x3+ 16.0x4+503.5x5-426.1x6-138.23x7+ 10.471x1+82.22x2+11.412x3-132.76x4- 50.75x5+79.88x6+6.138x7-63.85x1x2+ 44.97x1x3+105.46x1x4-102.65x1x6+ 6.249x1x7-105.0x2x3-44.33x2x5+ 266.2x2x6+72.87x3x4-37.74x3x5- 53.03x3x6-4.919x3x7-224.0x4x6- 0.49x5x7
(9)
根据Minitab拟合结果,人员因素与通风因素、作业因素与运输因素、作业因素与瓦斯因素、运输因素与通风因素、通风因素与排水因素、排水因素与瓦斯因素、运输因素与瓦斯因素交互作用不明显,其余均通过了显著性检验,说明其余指标的交互作用对总体安全风险状态影响较为显著。此外,回归方程的决定系数与决定调整系数均较高,分别为99.74%,99.37%,且二者差距较小,说明模型拟合效果较好。
3.2.2 煤矿生产安全成本分析
根据2014—2015年各煤矿资源投入及产量数据,可拟合煤炭总产量函数。对式(2)两边取对数,得
利用Minitab软件进行回归拟合分析,得到参数A与ai。最终可得煤炭总产量与各类安全资源投入间的函数关系表达式为
由式(3)可得单位安全成本的目标函数为

(10)
该煤矿2015年产量为110万t,各类安全资源总投入为7 515万元,即模型中约束条件M=7 515,其中人员、作业、机电、运输、通风、排水、瓦斯因素投入组合为(2 267.54,821.6,1 453.27,372.96,688.57,1 018.36,892.7)万元,安全总成本为776.85万元,安全工程费用、安全预防费用、企业内部损失、企业外部损失等具体分配为(509.22,86.74,154.26,26.63)万元。将上述数据带入式(4)、式(5),可得考虑风险与成本的该煤矿生产物流系统安全资源配置多目标优化模型:

(11)

(12)
3.3 结果分析
针对多目标优化模型,采用AEPSO算法在Matlab中求解,得到优化后的Pareto解集,选出3组具有代表性的结果,具体见表1。
由表1可知,该煤矿生产物流系统安全资源重新配置后,人员、作业、机电等各因素投入均有变化,安全风险水平均降至良好范围,而总投入变化较小,表明煤矿生产物流系统安全资源优化配置取得了理想效果,所得Pareto优化解分布较为均匀,具备良好的多样性。
优化后第3组数据中安全风险状况分数降至7,但单位安全成本却升至39.28 元/t,说明安全成本与安全风险间呈非线性关系,在单位安全成本降到一定程度后,优化安全资源配置不会使单位安全成本随安全风险的降低而减少。因此,该煤矿可结合自身实际,根据规划的方向对决策变量进行相应调整,选择更合适的资源配置方案。
表1 有代表性的部分Pareto解与煤矿生产物流现状对比

根据优化结果,建议该煤矿在保障安全的前提下,在安全资源配置方面进行以下调整:
(1) 适当减少人员、运输、通风、排水方面的安全资源投入。目前该煤矿在人员、运输、通风、排水4个方面资源冗余较高,主要原因:该煤矿长期以来将人员作为实现安全生产的关键因素,在人员素质、安全教育培训、职工身心健康等方面投入大量资源;该煤矿高度重视运输系统和通风系统的可靠性,投入了先进的运输和通风设备,并安装了实时监控系统,配多人监管,导致资源投入过度;该煤矿水文地质条件复杂,购买了先进的排水设备并引入专业技术人员,导致排水方面的投入也存在冗余。
(2) 适当增加作业、机电、瓦斯方面的安全资源配置,提高煤矿抵御生产物流系统安全风险的能力。首先,该煤矿需从自然环境和工作环境2个方面分别加大安全资源投入,为井下作业人员提供相对舒适的作业环境。其次,该煤矿虽购置了部分现代化综采机械,但自动化开采具有人力开采无法比拟的优势,因此应继续加大该方面的投入,不断提升煤矿的机械化水平。再次,由于该煤矿为高瓦斯突出矿井,一旦发生瓦斯突出事故,后果十分严重,但其瓦斯防治技术却较落后,必须投入高效瓦斯防治技术,以消除瓦斯突出隐患。
针对煤矿生产物流系统中安全风险与安全成本相互影响、相互制约的现状,在分析安全风险的影响因素及安全成本构成基础上,构建了综合指标体系;运用回归分析法拟合了目标函数,建立了考虑风险及成本双重目标的煤矿生产物流系统安全资源配置模型,并运用AEPSO算法求该多目标优划模型的优化解。实例研究结果表明,采用AEPSO算法得出的Pareto前沿分布均匀,可提供满足预期要求的多组可行解,实现了煤矿生产物流系统安全资源的优化配置。但煤矿生产物流系统具有时序动态性、复杂多属性等特征,如何选择更科学合理的模型来拟合安全指标与总体安全状态间的作用机理,将是下一步的研究重点。
参考文献:
[1] 王金凤,安云飞,翟雪琪,等.基于逆优化的煤矿生产物流系统安全资源配置研究[J].工业工程与管理,2015(5):137-142.
[2] WANG Q,WANG H,QI Z.An application of nonlinear fuzzy analytic hierarchy process in safety evaluation of coal mine[J].Safety Science,2016,86:78-87.
[3] YANG L,SONG M.Coal mine safety evaluation with V-fold cross-validation and BP neural network[J].Journal of Computers,2010,5(9):1364-1371.
[4] LEI T,WANG L,DING R,et al.Study on the dynamic input-output model with coal mine safety[J].Procedia Engineering,2011,26:1997-2002.
[5] FENG Y C.Research on internal control evaluation for coal mine production logistics based on management entropy[J].Advanced Materials Research,2014,1023:172-178.
[6] 王金凤,翟雪琪,冯立杰.面向安全硬约束的煤矿生产物流效率优化研究[J].中国管理科学,2014,22(7):59-66.
[7] FENG C,MIN Z.The analysis about economic effects of coal safety regulations on the basis of cost and technology[C]// The International Conference on E-Business and E-Government,Guangzhou,2010:844-847.
[8] SETHANAN K,NEUNGMATCHA W.Multi-objective particle swarm optimization for mechanical harvester route planning of sugarcane field operations[J].European Journal of Operational Research,2016,252(3):969-984.
[9] DELGARM N,SAJADI B,KOWSARY F,et al.Multi-objective optimization of the building energy performance: a simulation-based approach by means of particle swarm optimization (PSO)[J].Applied Energy,2016,170:293-303.
[10] 邱玉琢,陈森发.基于改进PSO的综合运输网络管理多目标优化[J].管理科学学报,2008,11(6):43-50.
[11] 贺超,庄玉良,王建军.基于物联网的煤矿逆向物流管理信息系统研究[J].科技管理研究,2013,33(10):171-174.
[12] 张炎亮,陈鑫,李亚东.基于灰色理论的煤矿生产物流安全状态指标优化[J].煤矿安全,2014,45(3):209-212.
[13] 陆宁,于玲玲,王茜,等.煤矿企业安全成本的优化研究[J].矿业安全与环保,2014(1):116-119.
[14] CHAKRABORTY D,GUHA D,DUTTA B.Multi-objective optimization problem under fuzzy rule constraints using particle swarm optimization[J].Soft Computing,2015,20(6):2245-2259.
[15] 王建林,吴佳欢,张超然,等.基于自适应进化学习的约束多目标粒子群优化算法[J].控制与决策,2014,29(10):1765-1770.
[16] NESAMALAR J J D,VENKATESH P,RAJA S C.Managing multi-line power congestion by using hybrid nelder-mead-fuzzy adaptive particle swarm optimization (HNM-FAPSO)[J]. Applied Soft Computing,2016,43(C):222-234.
[17] 夏立荣,李润学,刘启玉,等.基于动态层次分析的自适应多目标粒子群优化算法及其应用[J].控制与决策,2015,30(2):215-221.
Research on safety resource allocation of coal mine production logistics system
FENG Lijie1, BAI Wenxiao1, ZHAI Xueqi1, WANG Jinfeng1,2
(1.School of Management Engineering, Zhengzhou University, Zhengzhou 450001, China;
2.School of Economics and Management, Shanghai Maritime University, Shanghai 201306, China)
Abstract:For safety resource allocation of coal mine production logistics system, regression analysis method was used to fit an objective function of safety risk and cost on the basis of constructing safety resource index system of safety risk and cost. A multi-objective optimization model of safety resource allocation of coal mine production logistics system was constructed and adaptive evolutionary particle swarm algorithm was used to solve the optimization model. The example analysis result shows that the adaptive evolutionary particle swarm optimization algorithm can obtain different feasible solutions which satisfy multi-objective optimization requirements of safety resource allocation of coal mine production logistics system.
Key words:coal mine production logistics system; safety resource allocation; multi-objective optimization; adaptive evolutionary particle swarm optimization
文章编号:1671-251X(2017)05-0013-06
DOI:10.13272/j.issn.1671-251x.2017.05.004
收稿日期:2016-11-20;
修回日期:2017-03-20;责任编辑:李明。
基金项目:国家自然科学基金资助项目(71271194)。
作者简介:冯立杰(1966-),男,河南焦作人,教授级高级工程师,博士,研究方向为工业工程、工程技术创新,E-mail:451068991@qq.com。
中图分类号:TD67
文献标志码:A
网络出版:时间:2017-04-25 17:38
网络出版地址:http://kns.cnki.net/kcms/detail/32.1627.TP.20170425.1738.004.html
冯立杰,百文晓,翟雪琪,等.煤矿生产物流系统安全资源配置研究[J].工矿自动化,2017,43(5):13-18.