经验交流
马海龙1, 王军2
(1.北京天地龙跃科技有限公司, 北京 100013; 2.甘肃省安全生产科学研究院, 甘肃 兰州 730000)
摘要:针对电动机联接性故障特征识别困难的问题,阐述了不对中故障、联接螺栓松动故障、基础刚度不足故障这3种典型电动机联接性故障的数学模型及其频谱特征,提出了利用经验模式分解方法对电动机的振动信号进行滤波处理,根据故障特征频率得出诊断结果。现场应用结果验证了该方法的有效性。
关键词:电动机故障; 联接性故障; 不对中; 螺栓松动; 基础刚度; 经验模式分解
电动机为煤矿设备提供原动力,保证了煤矿生产的有效进行。因此,对电动机运行状态进行监测及诊断具有重要的现实意义。电动机的常见故障可概括为2个方面:一方面是电动机自身的故障,如电动机轴承故障、电动机转子不平衡、电动机匝间短路等;另一方面是电动机的联接性故障。电动机的联接性故障是指电动机与其相联接设备之间的故障,主要包括电动机轴伸端不对中、电动机与底座的联接螺栓松动、电动机基础刚度不足等。对于电动机联接性故障,众多学者进行了深入研究。文献[1]利用振动信号的概率密度和PCA(Principal Component Analysis,主成分分析)相结合的方法,分析了联接螺栓松动特征和识别方法。文献[2]将信息融合技术引入联接螺栓松动的识别中,同时采用基于熵度量的无监督特征约简法,获得了很高的故障诊断准确率。文献[3]建立了联接螺栓松动的力学模型并进行了仿真实验研究。文献[4]建立了在不对中状态下联轴器外壳质心及啮合线的运动方程,提供了齿式联轴器不对中故障识别的理论依据。
鉴于煤矿环境恶劣、各种噪声大且繁杂信号特征难以提取的特点,本文系统阐述电动机联接性故障的数学模型及频谱特性,并将经验模式分解方法应用于电动机故障特征提取中。
经验模式分解方法假设任何一个信号都可以被分解为若干个基本模式分量与一个余项之和。基本模式分量必须满足以下2个条件:
(1) 在信号中,极值点(包括极大值点和极小值点)的数量Ne与过零点的数量Nz必须相等,或最多相差1,即
Nz-1≤Ne≤Nz+1
(1)
(2) 在任一时间点t,信号局部极大值确定的上包络线fmax(t)和局部极小值确定的下包络线fmin(t)的均值为0,即
[fmax(t)+fmin(t)]/2=0
(2)
对信号进行经验模式分解的过程:
(1) 确定原始时间序列x(t)的所有局部极值点,然后将所有极大值点和所有极小值点分别用1条曲线连接起来,得到x(t)的上、下包络线,记上、下包络线的均值为m(t)。
(2) 用原始时间序列x(t)减去包络线的均值m(t),得到h1(t)=x(t)-m(t),检测h1(t)是否满足基本模式分量的2个条件。如果不满足,将h1(t)作为待处理数据,重复步骤(1),直至h1(t)是一个基本模式分量,记f1(t)=h1(t)。
(3) 用原始时间序列x(t)分解出第1个基本模式分量f1(t)后,用x(t)减去f1(t),得到剩余值序列x1(t)=x(t)-f1(t),将x1(t)当作一个新的“原始序列”,重复上述步骤,依次提取出第2、第3、…、第N(N为基本模式分量个数)个基本模式分量f2(t),f3(t),…,fN(t)。最后剩下原始信号的余项rn(t)。
在经验模式分解过程中,最先分解出的是高频信号,然后依次分解出变化较慢的低频信号。从滤波的角度来看,经验模式分解就是一个自适应的滤波过程[5-7],输出的滤波信号为
(3)
式中l,h∈[1,N]。
根据l,h取值不同,可分别实现带通滤波、高通滤波和低通滤波。
2.1 不对中故障
由于电动机安装误差、承载后变形、基础不均匀沉降及联轴器磨损等原因造成的机组各转子轴线之间产生平行位移、角度位移和综合位移,统称为不对中故障。
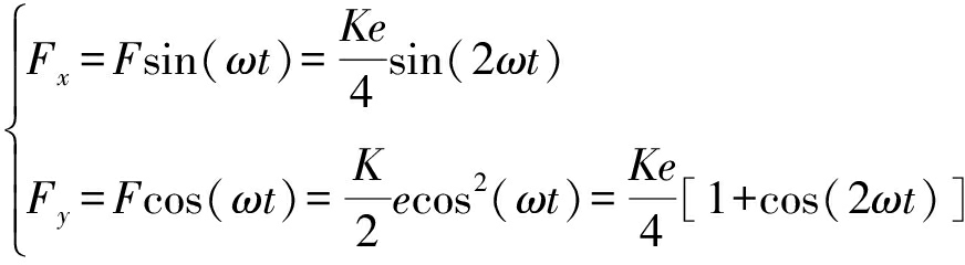
电动机出现平行不对中时,电动机轴伸端受力[8]如图1所示。

(a) 平行不对中示意

(b) 受力简化模型
图1 平行不对中时轴伸端受力
根据图1可得

(4)
式中:Fx,Fy分别为电动机轴伸端在水平、垂直方向的受力;F为电动机轴伸端的受力;ω为电动机角速度;K为联轴器刚度系数;e为不对中轴之间的偏心距。
从式(4)可看出,电动机的轴伸端受力随时间变化而变化,即电动机每转1周,径向力交替变化2次。因此,电动机平行不对中故障频谱特征是以电动机转频的2倍频为主。
对于其他情况的不对中故障,文献[9-10]研究表明,其频谱特征均是以电动机转频的2倍频为主。
2.2 联接螺栓松动故障
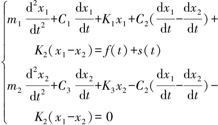
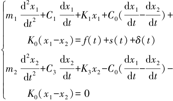
联接螺栓松动故障是指由于螺栓预紧力不足而引起设备剧烈振动。联接螺栓松动故障可以用分段线性模型来描述,其简化模型[11]如图2所示。其中,m1,m2分别为2个联接件的集中质量;C1,C3和K1,K3分别为螺栓与2个联接件之间的阻尼系数和刚度系数;C2,K2分别为松动前2个联接件之间的阻尼系数和刚度系数;C0,K0分别为松动后2个联接件之间的阻尼系数和刚度系数;x1,x2分别为2个联接件的位移。
联接螺栓松动前的数学模型:

图2 联接螺栓松动简化模型

(5)
式中:f(t)为螺栓预紧力;s(t)为外界激励。
联接螺栓松动后的数学模型:

(6)
式中δ(t)为由螺栓松动而产生的冲击载荷。
采用龙格库塔法求解式(5)、式(6),方程的数值解特征表明,联接螺栓松动故障频谱特征是以电动机转频为主[13-14],并伴有分频和倍频成分。
2.3 基础刚度不足故障
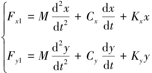
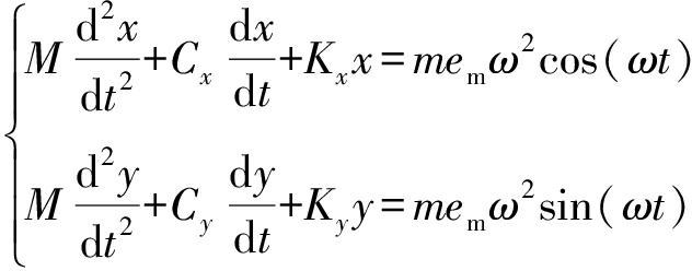
电动机在制造过程中不可避免地会出现质量不平衡,导致在电动机运行时产生离心力,而离心力是电动机运行产生振动的根本原因[15]。电动机在实际使用过程中,由于各种原因导致基础刚度不能满足电动机的使用要求,即基础刚度差,不能完全吸收电动机在运行过程中产生的振动能量,导致电动机振动剧烈,影响电动机的正常使用。将电动机和基础构成的系统简化为一个质量-弹簧-阻尼系统,如图3所示。
根据离心力计算公式可得
(7)
式中:Fx1,Fy1分别为电动机水平、垂直方向受到的离心力;m为电动机不平衡质量;em为电动机质量偏心距。

图3 电动机和基础构成的系统简化模型
根据图3可得

(8)
式中:M为电动机质量;x,y分别为电动机在水平和垂直方向的位移;Cx,Kx分别为水平方向的阻尼系数和刚度系数;Cy,Ky分别为垂直方向的阻尼系数和刚度系数。
将式(7)代入式(8),得

(9)
对上述方程的解求微分可得水平方向振动速度
和垂直方向振动速度![]()

(10)
式(10)表明,电动机振动幅值与基础刚度有关,基础刚度越大,则振动幅值越小。基础刚度不足故障频谱特征是以电动机转频为主[13-15]。
以电动机联轴器不对中故障和基础刚度不足故障为例,说明经验模式分解方法在煤矿电动机联接性故障诊断中的应用。
3.1 不对中故障检测
某矿主运带式输送机在线监测与故障诊断系统显示3号电动机的振动幅值较其他2台电动机偏大,但系统并未发出报警。为确定该电动机是否发生故障及故障类型,对系统采集的相关数据进行分析。电动机轴伸端振动信号时域波形如图4所示。
采用经验模式分解对信号进行处理,滤除信号中的高频噪声,保留与电动机故障特征相关的低频段,低通滤波处理后得到的信号频谱如图5所示。

图4 电动机轴伸端振动信号时域波形

图5 轴伸端振动信号经验模式分解滤波后频谱
从图5可看出,频谱中含有转频25 Hz及其2倍频50 Hz的频率成分,与电动机的转频及其倍频一致,符合不对中故障的频谱特征。因此,该电动机轴伸端处存在不对中故障。
现场对该电动机进行检查,发现联轴器出现磨损,导致电动机振动增大,呈现不对中现象。更换联轴器后,该电动机的振动恢复正常。
3.2 基础刚度不足故障检测
某矿主运带式输送机由3台电动机驱动,电动机安装在钢结构支架上。该带式输送机在投入运行后,发现2号电动机振动剧烈,电动机运行时表面温度达到120 ℃,严重影响了带式输送机的正常运行。对该电动机的运行状态进行测试,发现在基础上得到的测试数据存在异常,因此,对基础上的测试数据进行深入分析。基础振动信号时域波形如图6所示。

图6 基础振动信号时域波形
利用经验模式分解方法对基础振动信号进行滤波,得到信号频谱如图7所示。
从图7可看出,基础振动信号中存在24.75 Hz频率成分,该频率为电动机的转频,与基础刚度不足故障的频谱特征吻合。

图7 基础振动信号经验模式分解滤波后频谱
在停产检修时,对该电动机的基础进行处理,增加基础刚度后,电动机振动幅值显著下降,达到正常使用要求。
根据电动机联接性故障的数学模型分析了各故障特征:不对中故障特征频率是以转频的2倍频为主;基础刚度不足故障和联接螺栓松动故障的特征频率则是以转频为主,而联接螺栓松动故障通常伴有分频和倍频。将经验模式分解方法应用于煤矿电动机故障诊断中,实例结果表明,该方法能有效提取电动机联接性故障特征。
参考文献:
[1] 李允公,孔祥娜,高玉勇.基于两被联件振动信号概率密度和 PCA 的螺栓松动识别方法研究[J].振动与冲击,2015,34(1):63-67.
[2] 孙卫祥,陈进,伍星,等.基于信息融合的支撑座早期松动故障诊断[J].上海交通大学学报,2006,40(2):239-242.
[3] 毛居全,李朝峰,王得刚,等.转子支座松动故障的数值仿真与实验研究[J].机械与电子,2008(3):3-6.
[4] 韩捷,石来德.转子系统齿式联接不对中故障的运动学机理研究[J].振动工程学报,2004,17(4):416-420.
[5] 谭善文,秦树人,汤宝平.Hilbert-Huang变换的滤波特性及其应用[J].重庆大学学报(自然科学版),2004,27(2):9-12.
[6] 丛晓妍,王增才,王保平,等.基于EMD与峭度滤波的煤岩界面识别[J].振动、测试与诊断,2015,35(5):950-954.
[7] 李烨,杨家玮,安金坤,等.经验模式分解域自适应滤波方法[J].西安电子科技大学学报,2012,39(6):154-161.
[8] 张艳芝,谷群.转子系统不对中振动机理及特征分析[J].压缩机技术,2010(5):12-15.
[9] 宋光雄,宋君辉,梁会钊,等.大型旋转机械不对中故障研究及分析[J].汽轮机技术,2013,55(1):1-5.
[10] 屈双军,苟盛平,张银.烟气轮机-主风机组转子不对中故障分析及诊断方法[J].石油和化工设备,2016,19(7):65-68.
[11] 沈金理.机械装备连接松动故障特征提取方法的研究[D].上海:东华大学,2013.
[12] 侯世远.螺纹联接松动机理研究[D].北京:北京理工大学,2015.
[13] 周文强,肖黎,屈文忠.基于经验模式分解的框架结构螺栓松动检测实验研究[J].振动与冲击,2016,35(8):201-206.
[14] 郜立焕,万畅,杨玮,等.风机基础刚度差的振动机理和诊断方法[J].风机技术,2007(4):69-71.
[15] 王树林,赵超.电机基础刚度不足故障诊断实例[J].设备管理与维修,2015(8):16-17.
Connectivity fault diagnosis method of motor and its application
MA Hailong1, WANG Jun2
(1.Beijing Tiandi Longyue Science and Technology Co., Ltd., Beijng 100013, China; 2.Gansu Scientific Research Institute of Security Production, Lanzhou 730000, China)
Abstract:In view of problem that connectivity fault feature of motor was identified difficultly, on the basis of mathematic models and spectrum characteristic of motor connectivity faults represented by misalignment, looseness and base stiffness, empirical mode decomposition method was proposed to process vibration signal of motor. Diagnosis result is gotten according to fault feature frequency. The field application results verify effectiveness of the method.
Key words:motor fault; connectivity fault; misalignment; looseness; base stiffness; empirical mode decomposition
文章编号:1671-251X(2017)04-0077-05
DOI:10.13272/j.issn.1671-251x.2017.04.018
收稿日期:2017-02-08;
修回日期:2017-03-16;责任编辑:盛男。
基金项目:天地科技股份有限公司故障诊断专项基金项目(2014-TDGZZD-01)。
作者简介:马海龙(1981-),男,辽宁鞍山人,工程师,硕士,主要从事旋转机械设备故障诊断方面的工作,E-mail:mhl-dragon@163.com。
中图分类号:TD67
文献标志码:A
网络出版:时间:2017-03-28 17:35
网络出版地址:http://kns.cnki.net/kcms/detail/32.1627.TP.20170328.1735.018.html
马海龙,王军.电动机联接性故障诊断方法及其应用[J].工矿自动化,2017,43(4):77-81.