刘向昕1, 谭国俊1, 胡子豪1, 张玉成2, 封安波2, 马亮2, 王凯2
(1.中国矿业大学 信息与电气工程学院, 江苏 徐州 221008;2.江苏省电力传动与自动控制工程技术研究中心, 江苏 徐州 221008)
摘要:分析了大功率防爆变频器EMI产生的机理,并提出了一种大功率防爆变频器EMI滤波器设计方法。该EMI滤波器采用单级LC滤波器+“P”型匹配网络结构,可在防爆变频器阻抗不匹配的情况下实现阻抗匹配,进而改善EMI滤波效果。以1 MW/1 140 V防爆变频器为实验对象,验证了该EMI滤波器的有效性。
关键词:防爆变频器; EMI滤波器; “P”型匹配网络; 阻抗匹配
大功率防爆变频器以其优越的调速性能在煤矿井下得到了广泛应用,其功率开关器件大多采用IGBT(Insulated Gate Bipolar Transistor,绝缘栅双极型晶体管)。IGBT的应用使变频器具有低谐波、高功率因数,大大提高了电能质量及电能利用率[1-2],但也对自身系统和周围电网产生了较为严重的高频电磁干扰(Electromagnetic Interference,EMI)[3]。现有EMI滤波器大多用于开关电源[4-5],或功率等级较小的两电平整流逆变装置[6-8],有的则侧重于对逆变侧电动机进行保护[9-10],而对于大功率防爆变频器EMI抑制的研究较少。本文在IGBT暂态变化的基础上[11],研究了防爆变频器EMI产生的机理,考虑到阻抗不匹配对滤波器插入损耗的影响[12-14],提出了一种适用于大功率防爆变频器的EMI滤波器设计方法。该滤波器基于单级LC滤波器,在系统阻抗不匹配时,通过“P”型网络匹配阻抗来抑制EMI信号,且具有较高的低通特性。
IGBT在开关暂态产生的高du/dt(u为IGBT电压,t为时间)和di/dt(i为IGBT电流)是电力电子设备的主要高频噪声源,其与IGBT中的寄生电容及母排、引线的寄生电感作用,形成阻尼振荡而出现振荡波。此外,还存在IGBT高开关频率产生的谐波和电网干扰等。EMI信号按照传播路径可分为差模和共模信号。双三电平防爆变频器EMI信号传播路径如图1所示。

图1 防爆变频器EMI信号传播路径
(1) IGBT开关暂态过程中的di/dt与变频器中的母排和滤波电容的寄生电感形成差模噪声,如图1中路径1所示。
(2) IGBT开关暂态过程中的du/dt与IGBT自身的米勒电容及散热器中寄生电容共同作用,形成共模噪声,如图1中路径2所示。
(3) 电网其他用电设备工作时产生的噪声通过变压器耦合到变频器,或电网遭雷电干扰等,均导致电网内部产生共模和差模噪声,如图1中曲线3所示。
防爆变频器产生的EMI信号一般比GB 12668.3—2012《调速电气传动系统 第3部分:电磁兼容性要求及其特定的试验方法》规定值高30~40 dB,在0.15~30 MHz频段,差模、共模信号共存。由于大功率防爆变频器电压、电流较大时,一般采用高压探头的方法测量EMI,很难分离差模和共模信号,加上阻抗不匹配等不良因素的影响,使得滤波器的设计具有一定难度。本文设计了一种大功率防爆变频器EMI滤波器,其基于单级LC滤波器,且在变频器阻抗不匹配时采用“P”型匹配网络来抑制EMI信号。
2.1 基于单级LC滤波器的EMI滤波器
设计EMI滤波器时,将电网侧作为负载,变频器作为干扰源。设Ug为干扰源电压,U1为未经EMI滤波器衰减的噪声电压,U2为返回电网的噪声电压,Zg为源阻抗, ZL为负载阻抗。若Zg=ZL,得到基于单级LC滤波器的EMI滤波器结构,如图2所示。

图2 基于单级LC滤波器的EMI滤波器结构
首先确定单级LC滤波器在滤波频段需提供的插入损耗。根据文献[6]中的工程参考图,确定单级LC滤波器的转折频率fC,由
为串联等效电感,Cm为并联等效电容)计算LmCm值。不考虑阻抗变化对滤波器的影响,可近似计算出单级LC滤波器随频率f变化可提供的插入损耗K(f)=2πfLmCm。为了保证足够的裕量,单级LC滤波器提供的插入损耗需高于理论值。
然后对滤波元件进行选型。在不同的频率下,EMI信号中共模和差模信号共存,采用高压探头测量EMI信号时,很难分离出共模和差模信号。可采用接入单个滤波元件的方法估算共模和差模信号所处的主要频段。选取共模电感LCM和共模电容CY时,由于CY受接地漏电流限制,所以其值不能太大,应优先考虑CY;选取差模电感LDM和差模电容CX时,应优先考虑LDM,使其满足滤波器两端电压要求,然后选择CX。
为了消除滤波元件高频特性的影响,可通过并联不同等级的电容来增强滤波频段,利用电容的引线来改变电容的自谐振点。可采用高磁导率的超微晶磁环制作电感器,采用铜排就近接地,以减少滤波器接地电阻对滤波特性的影响。
2.2 阻抗匹配EMI滤波器
受阻抗不匹配影响,基于单级LC滤波器的EMI滤波器可能达不到理想的插入损耗,因此,采用“P”型网络进行阻抗匹配。
设置ZL参考值为50 Ω,此时可将Zg看成无穷小。为了减少阻抗不匹配带来的干扰,在源阻抗侧匹配一个由电阻RP和电容CP串联的“P”型匹配网络,使源阻抗和负载阻抗几乎相等,如图3所示。
“P”型匹配网络中的衰减因数为
(1)
式中k0为单级LC滤波器的衰减量。

图3 阻抗匹配EMI滤波器
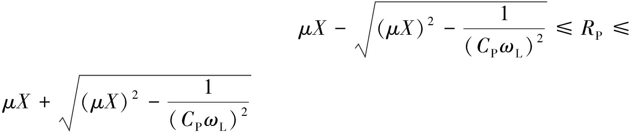
由于匹配电阻RP会引起工频损耗,为了减少工频损耗,要求匹配电容CP的工频阻抗远大于RP值,且在滤波频率下限fL(一般为150 kHz),CP阻抗远小于RP值。设μ为“P”型匹配网络的匹配效果,μ=Ug/U1,μ恒大于1,且μ越小,匹配效果越好,则匹配电阻取值范围为
(2)
式中Z1O(ωL)为从滤波器输入端看进去的滤波频率下限的开路阻抗,ωL=2πfL。
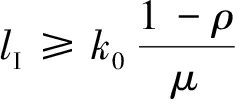
同时,“P”型匹配网络必须将从干扰源看进去的输入阻抗降至最小,这样才能消除阻抗不匹配的影响。设ρ为“P”型匹配网络对输入阻抗的匹配效果,其为有无匹配网络时输入阻抗的比值,ρ恒小于1,且ρ越小,匹配效果越好。引入ρ后,阻抗限制条件为
(3)
式中:ZP为“P”型匹配网络的阻抗;Z1imin为输入阻抗的最小值。
设定较低的ρ,单级LC滤波器可在近乎理想阻抗匹配的情况下工作。此时Zg取值的变化基本上不会对阻抗匹配EMI滤波器的输入阻抗产生影响,因此即使ρ<0.1,阻抗匹配EMI滤波器的电压衰减也会大于或等于单级LC滤波器的插入损耗。
为了进一步简化设计,当ρ取较小值时,可认为在滤波频率下限,阻抗匹配EMI滤波器的输入阻抗的最小值等于开路时的输入阻抗,即
Z1imin=Z1O(ωL)=X
(4)
设定μ,ρ后,即可根据式(4)计算元件参数,如式(5)—式(7)所示。
(5)

(6)
(7)
阻抗匹配EMI滤波器的插入损耗为
(8)
确定μ,ρ后,即可确定“P”型匹配网络中的RP,CP值。需要注意的是,RP,CP值是根据不等式得到的,可以根据实际情况进行调整,但应使由其引起的工频损耗最小。
以1 MW/1 140 V双三电平背靠背式防爆变频器为实验对象来验证阻抗匹配EMI滤波器的性能。采用高压探头测试EMI信号。为了保证测试的有效性,在电网侧加装电源滤波器,以隔离来自电网的EMI信号,保证耦合到接收机的噪声电压全部来自变频器[15]。
图4为防爆变频器产生的EMI信号。可看出实测EMI信号超出GB 12668.3—2012规定的标准限值约40 dB。

图4 防爆变频器产生的EMI信号
采用如图5(a)所示的单级LC滤波器对防爆变频器产生的EMI信号进行抑制。经计算得CX=1.25 μF,CY1=0.47 μF,CY2=0.15 μF,LDM=1.5 μH。经测试可知单匝超微晶磁环在150 kHz的电感量约为35 μH,而所需的共模电感LCM≈0.5 mH,可由15个磁环串联组成。接入该单级LC滤波器时测得的EMI信号如图5(b)所示。

(a) 单级LC滤波器

(b) 单级LC滤波器的EMI滤波效果
图5 单级LC滤波器及其EMI滤波效果
从图5可看出,变频器EMI信号得到较好抑制,但在0.4,1 MHz频率点附近,EMI信号仍超过GB 12668.3—2012限值,没有达到理想的滤波效果。
当加入CP=0.1 μF,RP=20 Ω的“P”型匹配网络时,EMI滤波器结构和测得的EMI信号如图6所示。可看出此时EMI信号得到很好的抑制,低于GB 12668.3—2012限值,且有10 dB裕量。

(a) 阻抗匹配EMI滤波器

(b) 阻抗匹配EMI滤波器滤波效果
图6 阻抗匹配EMI滤波器及其滤波效果
为了进一步说明阻抗匹配的重要性,改变“P”型匹配网络元件参数,测得的EMI信号如图7所示。可看出当匹配电阻RP=10,30 Ω时,测得的EMI信号与未加入“P”型匹配网络时变化不大,均未满足要求。

(a) RP=10 Ω

(b) RP=30 Ω
图7 匹配电阻不同时阻抗匹配EMI滤波器滤波效果
通过分析大功率防爆变频器EMI产生的机理,提出了一种基于“P”型匹配网络的EMI滤波器,并验证了该滤波器可以很好地抑制防爆变频器产生的EMI信号。
参考文献:
[1] 曹海洋,沈建辉,王宏震,等.基于EMI滤波器的防爆变频调速系统EMI抑制[J].电气传动,2015,45(5):51-55.
[2] 曹海洋,姜子健,沈建辉,等.大功率双三电平变频调速系统共模电磁干扰研究[J].电工技术学报,2016,31(5):17-25.
[3] 杨继深.现代工业中电能质量与电磁干扰控制[M].北京:电子工业出版社,2011.
[4] 鲍敬源,崔杨,王硕威,等.开关电源传导干扰建模与仿真分析[J].舰船电子工程,2014,34(2):82-85.
[5] 王博,张秀青.电磁兼容技术及其在开关电源中的应用[J].电源技术应用,2008(6):31-34.
[6] 马伟明,张磊,孟进.独立电力系统及其电力电子装置的电磁兼容[M].北京:科学出版社,2007.
[7] 裴雪军,康勇,熊健,等.PWM逆变器共模传导电磁干扰的预测[J].中国电机工程学报,2004,24(8):83-88.
[8] HARTMANN M,ERTL H,KOLAR J W.EMI filter design for a 1 MHz,10 kW three-phase/level PWM rectifier[J]. IEEE Transactions on Power Electronics,2011,26(4):1192-1204.
[9] 裴雪军,张凯,康勇,等.基于EMI滤波器的逆变器传导电磁干扰的抑制[J].电气传动,2007,37(12):35-38.
[10] 贾贵玺,周晓畅,李华.高压变频器输出差模滤波器设计和共模电压抑制[J].电工技术学报,2011,26(增刊1):161-165.
[11] 孟进,马伟明,张磊,等.基于IGBT开关暂态过程建模的功率变流器电磁干扰频谱估计[J].中国电机工程学报,2005,25(20):16-20.
[12] 姜保军,孙力,赵克.EMI滤波器阻抗失配与EMI信号的有效抑制[J].电机与控制学报,2006,10(3):252-255.
[13] 王培康,郑峰,杨小瑜,等.一种调整共模噪声源阻抗并优化EMI滤波器性能的方法[J].中国电机工程学报,2014,34(6):993-1000.
[14] 宋峥,王世山.EMI滤波器网络最佳工作状态设计及其平面化实现[J].电工技术学报,2016,31(7):179-187.
[15] 吕明珠,刘世勋.大功率变频调速系统的EMI等效测试装置的设计研究[J].自动化与仪器仪表,2015(7):177-180.
Design of EMI filter for high-power explosion-proof inverter
LIU Xiangxin1, TAN Guojun1, HU Zihao1, ZHANG Yucheng2,
FENG Anbo2, MA Liang2, WANG Kai2
(1.School of Information and Electrical Engineering, China University of Mining and Technology, Xuzhou 221008, China; 2.Jiangsu Electrical Drive and Control Engineering Technology Research Center, Xuzhou 221008, China)
Abstract:Generation mechanism of EMI in high-power explosion-proof inverter was analyzed, and design method of an EMI filter for high-power explosion-proof inverter was proposed. The EMI filter uses "P" matching network structure based on a single LC filter, and realizes impedance matching of the explosion-proof inverter in the case of impedance mismatching, so as to improve EMI filtering effect. A 1 MW/1 140 V explosion-proof inverter was tested to verify validity of the EMI filter.
Key words:explosion-proof inverter; EMI filter; "P" matching network; impedance matching
文章编号:1671-251X(2017)04-0064-04
DOI:10.13272/j.issn.1671-251x.2017.04.015
收稿日期:2016-09-28;
修回日期:2017-02-20;责任编辑:李明。
基金项目:江苏省科技成果转化项目(BA2016017)。
作者简介:刘向昕(1955-),男,河北唐山人,博士研究生,研究方向为大功率交流调速、电力电子与电力传动,E-mail:zyc_cumt@163.com。
中图分类号:TD61
文献标志码:A
网络出版:时间:2017-03-28 17:32
网络出版地址:http://kns.cnki.net/kcms/detail/32.1627.TP.20170328.1732.015.html
刘向昕,谭国俊,胡子豪,等.大功率防爆变频器EMI滤波器设计[J].工矿自动化,2017,43(4):64-67.