张潇, 王彦文, 赵永梅, 侯丽楠, 白树君
(中国矿业大学(北京) 机电与信息工程学院, 北京 100083)
摘要:为了实时监测矿用高压电缆的绝缘状态,提出了一种基于广域测量系统(WAMS)的矿用高压电缆绝缘在线监测方法。该方法利用WAMS实时同步获取电缆线路首末两端的电压和电流,通过建立电缆线路对地等效电路模型推导出电缆的绝缘电阻、等值电容,从而动态监测电缆的绝缘状态。仿真结果表明,该方法测量精度满足矿用高压电缆绝缘在线监测要求,且随着电缆绝缘劣化程度增加,该方法测量误差逐渐减小。
关键词:高压电缆; 电缆绝缘; 绝缘劣化; 在线监测; 广域测量系统
矿用高压电缆长期位于阴暗潮湿、腐蚀性强的井下,工作环境恶劣,易发生电缆护层被腐蚀的情况,加速电缆绝缘老化,且煤炭开采过程中的拖曳、挤压及冒落、片帮事故都会使电缆受损[1-3]。当电缆破损点与大地构成通路时形成单相接地故障,可能产生电弧引爆粉尘和瓦斯,或者引起矿井火灾[4-6]。因此,对矿用高压电缆的绝缘状态进行实时监测,实现绝缘劣化预警,可以从很大程度上保障煤矿安全生产运行[7]。现有的电缆绝缘在线监测方法存在诸多问题:局部放电法现场测量困难,而且不适用于煤尘和有害气体弥漫的煤矿环境[8];直流叠加法需要附加电源,且只能测量电缆对地绝缘电阻,不能测量电缆对地分布电容[9];接地线电流法与介质损耗法采用经验数值评估电缆绝缘状态[10-11],不够直观、准确。鉴此,本文提出了一种基于广域测量系统(Wide Area Measurement System,WAMS)的矿用高压电缆绝缘在线监测方法。该方法利用WAMS同步采集矿井电缆线路首末两端的电压和电流,并通过建立电缆线路对地等效电路模型,计算表征电缆劣化状态的绝缘电阻和等值电容,从而准确诊断电缆绝缘劣化情况。
目前,中国煤矿供电系统各高压配电设备的数据采集方式主要为就地采集、相互独立、互不通信[7],不能同步获取全网系统的运行数据,无法监测整个电力网络的运行状态[12-13]。WAMS可在同一个时间框架中,实时同步采集煤矿供电系统各支路的数据信息[14],并在线分析数据,实现全网运行状态测量功能[15]。本文基于WAMS实时同步采集位于不同电缆线路高压隔爆开关内的电压、电流数据,通过构建高压电缆对地等效电路模型处理数据[9],计算可以反映电缆绝缘状态的绝缘电阻、等值电容的实时值,在线监测煤矿供电系统各电缆的绝缘状态。
基于WAMS的矿用高压电缆绝缘在线监测系统架构如图1所示,主要由4个单元组成:① GPS单元。由卫星提供全网系统的同步时钟信号,是建立同步时间系统的基础。② 相量测量单元(Phasor Measurement Unit,PMU)。PMU同步采集实时电压、电流数据并上传至子站数据集中器,再通过主站数据集中器记录数据并传输至控制中心。③ 通信网络。通过光纤建立数据传输通道,实现全网数据互联。④ 控制中心。汇总各处PMU传输的数据并在线分析,及时形成保护和控制策略,是系统的核心。

图1 基于WAMS的矿用高压电缆绝缘在线监测系统架构
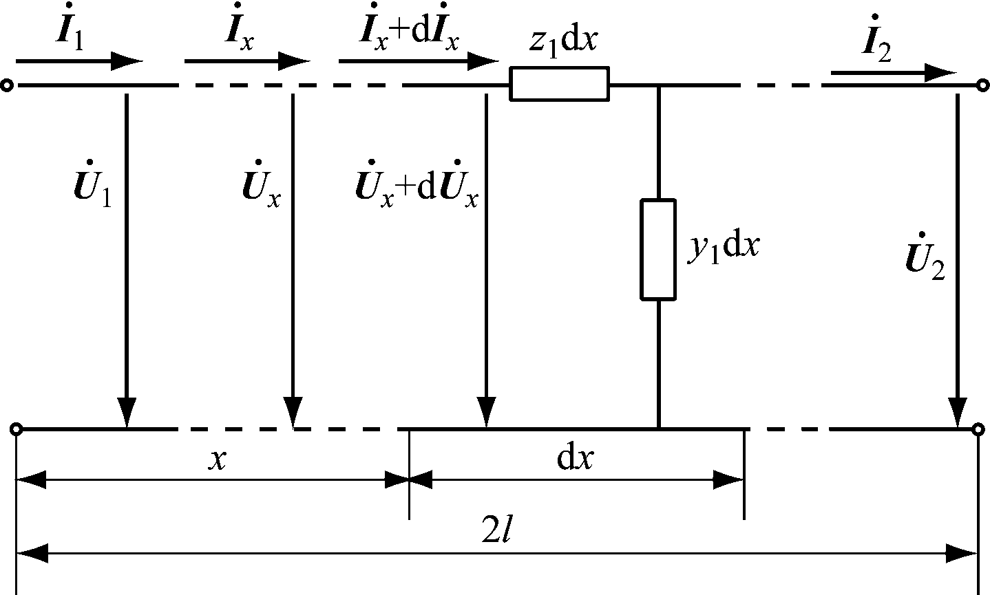
假设电缆单位长度的阻抗和导纳分别为z1=r0+jωl0和y1=g0+jωc0,其中r0为电缆线芯单位长度等效电阻,l0为电缆线芯单位长度等效电感,g0为电缆单位长度绝缘电导,c0为电缆单位长度等值电容,ω为角频率。电缆线路首端电压为
电流为
;距电缆线路首端长度为x处电压为
电流为
;电缆线路末端电压为
电流为
;电缆线路长度为2l。取dx为长度微元,距电缆线路首端长度为x+dx处的电压为
电流为
单相电缆线路对地等效电路模型如图2所示。

图2 单相电缆线路对地等效电路模型
当输入电压为正弦,单相电缆线路达到稳态时,略去高阶微小量,可得dx微段上流过阻抗z1dx的电压
和导纳y1dx的电流
为

(1)
式(1)对x求导可得

(2)
设定电缆线路的特性阻抗为
电缆线路的传播常数为
用γ和Zc表示式(2),并对其求解可得

(3)
将x=2l代入式(3),可得电缆线路末端电压
2和电流
2为

(4)
由式(4)可得电缆线路的泄漏电流
和电压降
为

(5)
同理,可得电缆线路首端电压
和电流
为

(6)
由式(6)可得电缆线路的泄漏电流
和电压降
为

(7)
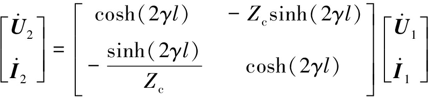
将式(7)与式(5)相减可得

(8)
整理式(8)可得

(9)
由式(9)计算可得电缆绝缘导纳为
(10)
使用WAMS同步获得电缆线路首末两端电压和电流,依据式(10)计算电缆绝缘导纳,从而推导出电缆的绝缘电阻R和等值电容C为
R=1/Re(Y1)
(11)
C=Im(Y1)/(2πf)
(12)
式中f为频率。
以型号为YJV-8.7/10 kV的交联聚乙烯绝缘聚氯乙烯护套的电缆绝缘劣化过程为研究对象,采用Matlab/Simulink建立矿用高压电缆绝缘在线监测仿真模型,如图3所示。电缆线路总长1.8 km,取每300 m电缆线路为一段,每段采用T参数模型。图3中,模块Z1—Z18为每段电缆绝缘电阻和等值电容的并联结构,模块RL1—RL36为每段电缆线芯等效电阻和等效电感的串联结构,模块Three-Phase Source为煤矿供电系统的三相电压源,模块Three-Phase Series RLC Load为电阻负载,电缆绝缘劣化的分析、计算过程封装在Insulation Parameter模块中。仿真模型参数由电缆结构参数计算得出:电缆线芯单位长度等效电阻r0=3.28×10-5 Ω/m,电缆线芯单位长度等效电感l0=2.138×10-7 H/m,电缆单位长度绝缘电导g0=1.397×10-11 S/m,电缆单位长度等值电容c0=1.971×10-10 F/m。经计算得出每段电缆线芯等效电阻为9.84 MΩ,每段电缆线芯等效电感为64.14 μH,每段电缆绝缘电阻为238.61 MΩ,每段电缆等值电容为59.13 nF。

图3 矿用高压电缆绝缘在线监测仿真模型
利用仿真模型模拟矿用高压电缆整体受潮和局部受损时不同程度的劣化状态,仿真结果见表1。
表1 电缆线路不同绝缘状态仿真结果

从表1可看出,无论电缆线路属于整体受潮还是局部受损,提出的基于WAMS的矿用高压电缆绝缘在线监测方法均能以较高的精度推导出电缆线路的绝缘电阻和等值电容,且绝缘受损越严重,测量误差越小,完全满足矿用高压电缆绝缘在线监测的精度要求。
提出了一种基于WAMS的矿用高压电缆绝缘在线监测方法。该方法通过WAMS实时同步获取电缆线路首末两端的电压和电流,通过电缆线路对地等效电路模型推算出直接反映电缆绝缘劣化状态的绝缘电阻和等值电容。该方法能够完整监控、记录煤矿供电系统各电缆的电气参数,并在线分析、评估矿用高压电缆的绝缘状态。
参考文献:
[1] 雷志鹏,宋建成,孙晓斐,等.矿用高压电缆局部放电测量传感器的研究及应用[J].煤炭学报,2013,38(12):2265-2271.
[2] 董爱华,刘增印,耿新林,等.煤矿井下动力电缆绝缘在线监测的研究[J].控制工程,2013,20(5):873-876.
[3] 苏文.矿用高压电缆绝缘状态在线监测系统的研究[D].太原:太原理工大学,2014.
[4] 景书贤,韩长文,朱晓坤.矿用电缆产生故障的原因、预防、判断及处理[J].煤,2011,20(6):72-73.
[5] 王永升,李晓娜,赵国栋,等.煤矿高压电缆绝缘在线监测研究[J].工矿自动化,2016,42(6):65-69.
[6] 姜芸,周韫捷.分布式局部放电在线监测技术在上海500 kV交联聚乙烯电力电缆线路中的应用[J].高电压技术,2015,41(4):1249-1256.
[7] 魏新劳,朱博,庞兵,等.长距离三相电力电缆绝缘在线监测方法[J].中国电机工程学报,2015,35(8):2079-2086.
[8] 周新军.高压电缆绝缘状态在线监测通讯系统的设计与研发[D].长沙:湖南大学,2012.
[9] 祁双庆.66千伏及以上电力电缆绝缘在线监测系统研发与应用[D].北京:华北电力大学,2011.
[10] 周凯.一种电力电缆绝缘在线监测的新方法[D].武汉:华中科技大学,2011.
[11] 张勇.井下10 kV动力电缆绝缘在线监测系统研究[J].煤炭与化工,2016,39(9):103-105.
[12] 王瑞琳.基于交流叠加法的电缆绝缘在线监测系统设计[D].大连:大连理工大学,2016.
[13] 蔡坤强,兰生,章婧.基于环流法的电缆外护套绝缘在线监测系统设计[J].电力学报,2014,29(1):56-61.
[14] 王彦文,赵永梅,李俊峰,等.基于WAMS的矿用高压电缆绝缘在线监测方法[J].煤炭科学技术,2016,44(增刊2):146-149.
[15] 程云峰,张欣然,陆超.广域测量技术在电力系统中的应用研究进展[J].电力系统保护与控制,2014,42(4):145-153.
Online monitoring method of mine-used high voltage cable insulation
ZHANG Xiao, WANG Yanwen, ZHAO Yongmei, HOU Linan, BAI Shujun
(School of Mechanical Electronic and Information Engineering, China University of Mining and Technology(Beijing), Beijing 100083, China)
Abstract:In order to monitor insulation condition of mine-used high voltage cable in real time, an online monitoring method of mine-used high voltage cable insulation based on wide area measurement system(WAMS) was proposed. In the method, real-time voltage and current of cable ends are obtained synchronously by use of WAMS, and insulation resistance and equivalent capacitance of cable are derived through establishment of equivalent circuit model of cable to ground, so as to realize dynamic monitoring of cable insulation condition. The simulation results show that measurement error of the method decreases with increase of cable insulation deterioration, which meets precision requirement of online monitoring of mine-used high voltage cable insulation.
Key words:high voltage cable; cable insulation; insulation ageing; online monitoring; wide area measurement system
文章编号:1671-251X(2017)04-0060-04
DOI:10.13272/j.issn.1671-251x.2017.04.014
收稿日期:2016-12-13;
修回日期:2017-03-13;责任编辑:盛男。
基金项目:中国矿业大学(北京)横向科研项目(2015207010226)。
作者简介:张潇(1992-),男,河南平顶山人,硕士研究生,主要研究方向为电力系统及其自动化、高电压技术与绝缘,E-mail:897270709@qq.com。
中图分类号:TD611
文献标志码:A
网络出版:时间:2017-03-28 17:30
网络出版地址:http://kns.cnki.net/kcms/detail/32.1627.TP.20170328.1730.014.html
张潇,王彦文,赵永梅,等.矿用高压电缆绝缘在线监测方法[J].工矿自动化,2017,43(4):60-63.