姚善化
(安徽理工大学 电气与信息工程学院, 安徽 淮南 232001)
摘要:针对矿井隧道复杂的电磁波传播环境,利用镜像法建立了矿井隧道电磁波多径信道模型,给出了三维空间的锯齿螺旋射线总传播路径长度和入射角、反射角的计算方法,以及总的接收功率和传输损耗的表达式。仿真结果表明,靠近发射天线的电磁波场强衰减较大,呈现快衰落现象,所建模型能准确预测隧道中电磁波场强分布。
关键词:矿井隧道; 电磁波; 多径信道模型; 镜像法; 场强分布
在矿井隧道中宜采用超高频(Ultra High Frequency,UHF)以上频段的电磁波实现低损耗的无线通信[1-6]。目前矿井隧道的截面形状大多类似于矩形,通信设备采用全方向辐射的收发天线。矿井隧道四壁粗糙面及隧道中大量机电设备的存在会产生大量多路径信号,且各路径信号与收发天线并不都是在同一个平面上,随机性很强,导致信号场强变化快且深度大的多径衰落,严重影响通信系统信号质量。建立矿井隧道电磁波多径信道模型有助于采取相应的抗多径衰落技术,为井下人员定位技术的应用提供理论依据[7]。文献[4]利用射线跟踪技术建立了电磁波在矩形隧道中传播的预测模型;文献[8]提出了建立隧道无线数字通信信道的帐篷定律;文献[9]研究了井下巷道UHF频段的电磁波传播特性。基于上述研究,本文采用镜像法[10]建立了矿井隧道电磁波多径信道模型,并仿真测试了多径信道模型在接收端的场强分布特点。
矩形隧道中经四壁反射的锯齿螺旋射线传播路径如图1所示,其中x轴和y轴分别表示矿井隧道的宽和高,z轴表示矿井隧道的走向(即电磁波传播方向)。射线从发射天线位置S点发出,在经过4个不同水平面及3个不同垂直面内反射(共7次反射)后,到达接收天线位置D点,可看出各反射段的传播路径并不在同一个平面,收发两端的总路径是一个三维路径。根据费马原理,一条射线从发射源经若干次反射到达接收端的路径一定是最短路径[11]。因此,将射线反射经过的各个不同面展开成二维平面时,得到该条射线在收发两端之间的最短连线。锯齿螺旋射线分别在水平展开面和垂直展开面的反射路径如图2所示,其中水平展开面和垂直展开面分别平行于矩形隧道的顶底板和两侧壁。

图1 矩形隧道中经四壁反射的锯齿螺旋射线传播路径

图2 锯齿螺旋射线在水平展开面和垂直展开面的反射路径
1.1 锯齿螺旋射线总传播路径长度
根据图2(b),由于锯齿螺旋射线经隧道顶底板来回反射,且传播路径所在平面平行于隧道侧壁,所以隧道可看作由顶底板构成的水平平板波导。假设矩形隧道的高度为b,发射天线和接收天线高度均为hT,发射天线和接收天线到隧道顶板的距离为u。利用镜像法建立锯齿螺旋射线在垂直展开面的镜像路径二维坐标系,如图3所示,其中Sv点为发射天线位置S点的镜像点
点为隧道中线与y轴的交点,Dv点为接收天线位置D点在隧道中线的垂直镜像点。根据镜像法可知,S点发出的锯齿螺旋射线经隧道顶底板3次反射后到达D点的传播路径长度,即垂直展开面上S点的镜像点Sv到D点的镜像点Dv的镜像路径长度
在上述假设已知的条件下,只需知道接收天线位置D点的z坐标值,即可求解出锯齿螺旋射线在垂直展开面的传播路径长度。

图3 锯齿螺旋射线在垂直展开面的镜像路径二维坐标系
同理可求得锯齿螺旋射线在隧道水平展开面的传播路径长度。由此,锯齿螺旋射线的总传播路径长度计算可分别转换在水平平板波导和垂直平板波导中进行,不必要求收发天线与反射轨迹位于同一个水平面或垂直面上,天线位置可以任意。
1.2 锯齿螺旋射线入射角、反射角
通过对三维空间的锯齿螺旋射线在二维平面内的投影分析可知,射线经隧道四壁反射时,其入射角和反射角在二维平面内保持不变。因此,锯齿螺旋射线在三维空间的入射角和反射角的关系同样可体现在水平平板波导和垂直平板波导中。
如图3所示,由顶底板构成的水平平板波导中,可通过计算入射角的余角θ得到三维锯齿螺旋射线在垂直展开面中的入射角。在
中
由此可得入射角为
根据光学原理[11],入射角和反射角相等,从而可求得反射角。
1.3 总接收功率和总传输损耗
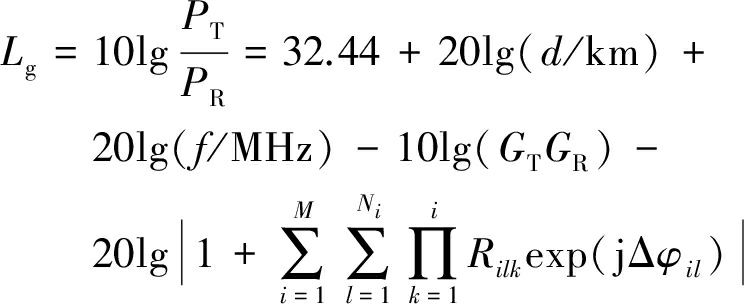
将入射角、反射角的计算结果代入水平极化波反射系数和垂直极化波反射系数表达式[1,4],即可得到锯齿螺旋射线经隧道顶底板和两侧壁的反射系数。根据锯齿螺旋射线总传播路径长度和反射系数可得接收天线的总接收功率[4]为

(1)
由式(1)可得电磁波在多径信道中的总传输损耗为

(2)
式中:PT为发射天线的发射功率;λ为电磁波波长;d为射线最短传播路径长度;GT和GR分别为发射天线增益和接收天线增益;M为传播路径的所有射线总反射次数;Ni为产生第i次反射的总路径数;Rilk为第i次反射的第l条路径经过k次反射的反射系数;Δφil为第i次反射的第l条路径与收发天线之间最短路径的相位差;f为电磁波频率。
为验证所建立的多径信道模型的准确性,进行仿真测试。假设矩形隧道的宽×高为4 m×3 m,隧道顶底板和左右侧壁的相对介电常数为10,发射天线为各向辐射。根据式(2)中最后一项即多径信号合成项,对工作频率分别为900,1 800 MHz的电磁波场强分布进行仿真,结果分别如图4、图5所示。可看出UHF频段的电磁波在隧道中传播时会产生严重的多径衰落现象,尤其在靠近发射天线区域,呈现快衰落现象,并且随着工作频率的提高,快衰落现象严重,这与矿井隧道中电磁波传播特性相符。

图4 工作频率为900 MHz时电磁波场强分布仿真曲线
工作频率为900 MHz时的水平极化波和垂直极化波脉冲响应预测仿真曲线如图6所示。可以看出,仿真得到的时延为200 ns左右,在时延的典型值50~250 ns范围内[12],表明所建模型可以预测巷道的多径时延扩展。

图5 工作频率为1 800 MHz时电磁波场强分布仿真曲线

图6 工作频率为900 MHz时水平极化波和垂直极化波脉冲响应预测仿真曲线
利用镜像法建立了矿井隧道电磁波多径信道模型,并对多径信道模型进行了仿真分析。结果表明,由于发射源发出的射线具有各向性,无论是从多径信号的衰落变化深度还是衰落变化速度,模型能较准确地反映隧道中实际的电磁波场强分布。然而,实际的隧道还包括截面形状为圆形、拱形的情况,有的隧道还有弯曲,因此本文建立的多径信道模型只是从宏观上反映了矩形隧道的电磁波场强分布特性,对于其他截面形状的隧道还需要进行细致的理论分析和大量试验。
参考文献:
[1] 孙继平,高美凤.矩形巷道中对称振子天线辐射特性的研究[J].煤炭学报,2010,35(12):2121-2124.
[2] 孙继平,成凌飞,张长森.截面尺寸对矩形巷道中电磁波传播的影响[J].中国矿业大学学报,2005,34(5):596-599.
[3] 孙继平,王帅.改进型能量传递测距模型在矿井定位中的应用[J].中国矿业大学学报,2014,43(1):94-98.
[4] 张会清,于洪珍,王普,等.矩形隧道中电波多径传播模型的建立及仿真[J].电波科学学报,2008,23(1):195-200.
[5] 成凌飞,高鹏飞,王利超.巷道无线信道相干带宽及其影响因素的研究[J].计算机仿真,2015,32(12):137-141.
[6] 姚善化,杜斌.矿井圆形隧道中电磁波传播特性分析[J].煤炭科学技术,2015,43(4):88-91.
[7] 李宗伟,李起伟,温良,等.井下电磁波超声联合定位方法[J].工矿自动化,2016,42(7):30-33.
[8] 张申.帐篷定律与隧道无线数字通信信道建模[J].通信学报,2002,23(11):41-50.
[9] 李晶.井下巷道超高频无线电波传播及定位算法的研究[D].天津:天津大学,2006.
[10] 李淑凤,李成仁,宋昌烈.光波导理论基础教程[M].北京:电子工业出版社,2013.
[11] 姚启钧.光学教程[M].5版.北京:高等教育出版社,2014.
[12] 朱山.室内无线传播及覆盖性能研究[D].武汉:华中科技大学,2012.
Electromagnetic wave multipath channel model based on image method in mine tunnel
YAO Shanhua
(School of Electrical and Information Engineering, Anhui University of Science and Technology, Huainan 232001, China)
Abstract:In view of complicated electromagnetic wave propagation environment in mine tunnel, a multipath channel model of electromagnetic wave propagation in mine tunnel was established by use of image method. In the paper, calculation methods of total propagation distance, incidence angle and reflecting angle of three-dimensional helix ray, and expressions of total receiving power and transmission loss were presented. The simulation results show that attenuation of electromagnetic wave field intensity is larger near transmitting antenna with fast fading phenomena, which verify the model can predict electromagnetic wave field intensity distribution in tunnel accurately.
Key words:mine tunnel; electromagnetic wave; multipath channel model; image method; field intensity distribution
文章编号:1671-251X(2017)04-0046-04
DOI:10.13272/j.issn.1671-251x.2017.04.011
收稿日期:2016-12-08;
修回日期:2017-03-13;责任编辑:盛男。
基金项目:安徽省高等学校省级自然科学研究重点项目(KJ2014A066)。
作者简介:姚善化(1966-),男,安徽淮南人,副教授,研究方向为非自由空间电磁波传播理论、无线通信空时编码理论和技术,E-mail:shhyao@aust.edu.cn。
中图分类号:TD655
文献标志码:A
网络出版:时间:2017-03-28 17:23
网络出版地址:http://kns.cnki.net/kcms/detail/32.1627.TP.20170328.1723.011.html
姚善化.基于镜像法的矿井隧道电磁波多径信道模型[J].工矿自动化,2017,43(4):46-49.